Predicting Impact of Climate Change on Water Temperature and Dissolved Oxygen in Tropical Rivers
Abstract
1. Introduction
2. Materials and Methods
2.1. Study Site
2.2. HSPF Model Description
2.2.1. Input Data
2.2.2. Model Setup
2.3. Sensitivity Analysis
2.4. Climate Change Scenarios
2.5. Land-Use Scenarios
2.6. Evaluation of Scenarios
3. Results
3.1. Basin-Wide Simulation Result of HSPF Model
3.1.1. Hydrological Simulation
3.1.2. Water Temperature and Dissolved Oxygen Simulation
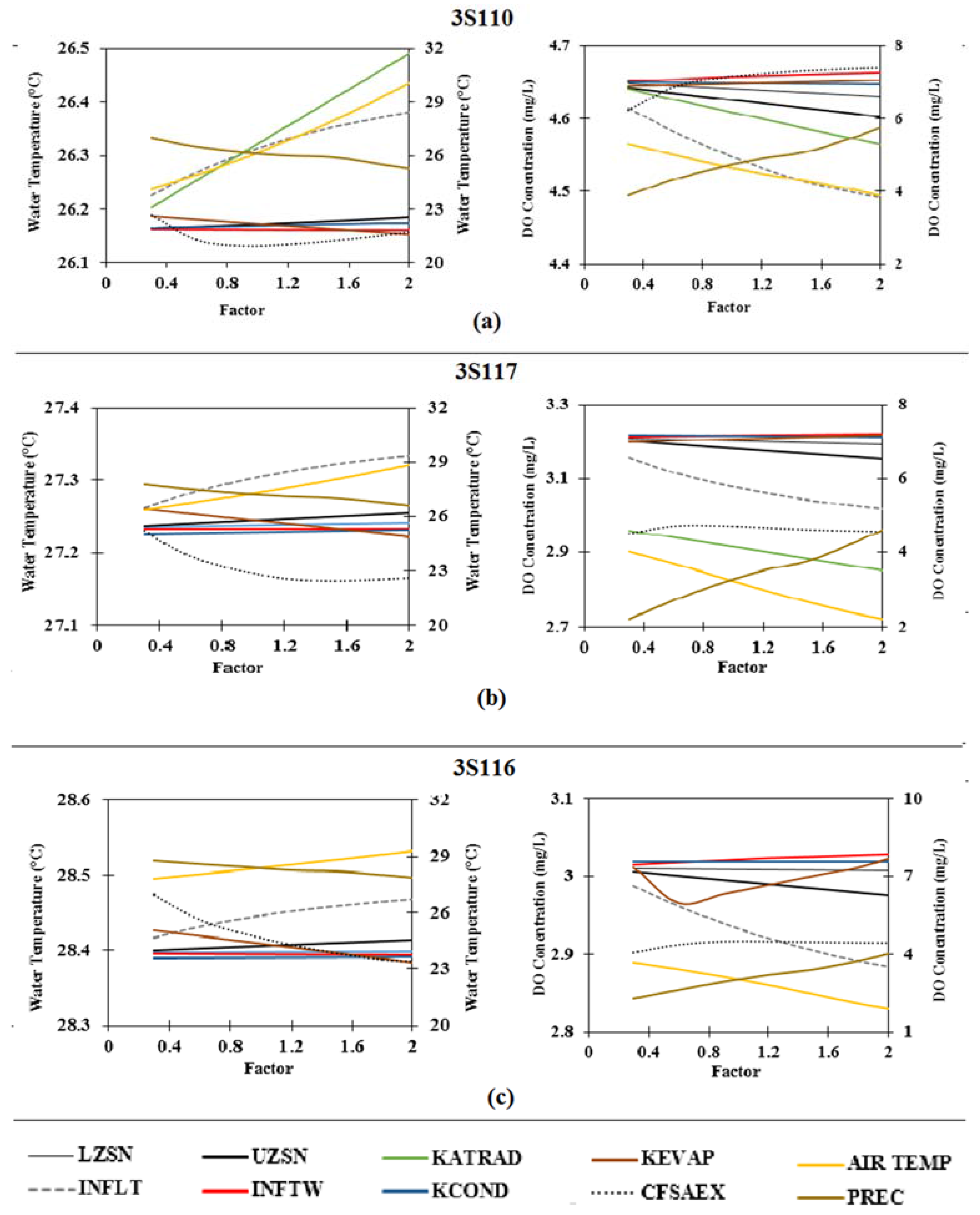
3.2. Sensitivity Analysis
3.3. Climate Change Assessment
3.3.1. Analysis of the Water Temperature Variability under Climate Change Scenarios
3.3.2. Analysis of the DO Concentration under Climate Change Scenarios
3.3.3. Interaction between DO Concentration and Water Temperature under Climate Change Scenarios
3.3.4. Interaction between Streamflow, Water Temperature, and DO Concentration under Climate Change Conditions
3.4. Influence of Land-Use on Water Temperature and DO Concentration under Climate Change Scenarios
4. Discussion
5. Conclusions
Acknowledgment
Author Contributions
Conflicts of Interest
References
- Meyer, J.L.; Sale, M.J.; Mulholland, P.J.; Poff, N.L. Impacts of climate change on aquatic ecosystem functioning and health. JAWRA J. Am. Water Resour. Assoc. 1999, 35, 1373–1386. [Google Scholar] [CrossRef]
- Zeiger, S.; Hubbart, J.A.; Anderson, S.H.; Stambaugh, M.C. Quantifying and modelling urban stream temperature: A central US watershed study. Hydrol. Process. 2016, 30, 503–514. [Google Scholar] [CrossRef]
- Webb, B.W.; Clack, P.D.; Walling, D.E. Water-air temperature relationships in a Devon River system and the role of flow. Hydrol. Process. 2003, 17, 3069–3084. [Google Scholar] [CrossRef]
- Mohseni, O.; Stefan, H.G. Stream temperature/air temperature relationship: A physical interpretation. J. Hydrol. 1999, 218, 128–141. [Google Scholar] [CrossRef]
- Sinokrot, B.A.; Gulliver, J.S. In-stream flow impact on river water temperatures. J. Hydrol. Res. 2000, 38, 339–349. [Google Scholar] [CrossRef]
- Intergovernmental Panel on Climate Change. Climate Change 2014—Impacts, Adaptation and Vulnerability: Regional Aspects; Cambridge University Press: Cambridge, UK, 2014. [Google Scholar]
- Begum, R.A.; Siwar, C.; Abidin, R.D.Z.R.Z.; Pereira, J.J. Vulnerability of climate change and hardcore poverty in Malaysia. J. Environ. Sci. Technol. 2011, 4, 112–117. [Google Scholar] [CrossRef]
- Kavvas, M.L.; Chen, Z.Q.; Ohara, N.; Ahmad, J.; Amin, M. Study of the Impact of Climate Change on the Hydrologic Regime and Water Resources of Peninsular Malaysia; California Hydrologic Research Laboratory: San Diego, CA, USA, 2006. [Google Scholar]
- Colins, W.; Colman, R.; Haywood, J.; Manning, M.R.; Mote, P. The physical science behind climate change. Sci. Am. 2007, 297, 62–73. [Google Scholar] [CrossRef]
- Null, S.E.; Viers, J.H.; Deas, M.L.; Tanaka, S.K.; Mount, J.F. Stream temperature sensitivity to climate warming in California’s Sierra Nevada: Impacts to coldwater habitat. Clim. Chang. 2013, 116, 149–170. [Google Scholar] [CrossRef]
- Lee, K.H.; Cho, H.Y. Projection of climate-induced future water temperature for the aquatic environment. J. Environ. Eng. 2015, 141, 06015004. [Google Scholar] [CrossRef]
- Bayram, A.; Uzlu, E.; Kankal, M.; Dede, T. Modeling stream dissolved oxygen concentration using teaching-learning based optimization algorithm. Environ. Earth Sci. 2015, 73, 6565–6576. [Google Scholar] [CrossRef]
- El-Jabi, N.; Caissie, D.; Turkkan, N. Water quality index assessment under climate change. J. Water Resour. Prot. 2014, 6, 533. [Google Scholar] [CrossRef]
- Svendsen, M.B.S.; Bushnell, P.G.; Christensen, E.A.F.; Steffensen, J.F. Sources of variation in oxygen consumption of aquatic animals demonstrated by simulated constant oxygen consumption and respirometers of different sizes. J. Fish Biol. 2016, 88, 51–64. [Google Scholar] [CrossRef] [PubMed]
- Khani, S.; Rajaee, T. Modeling of Dissolved Oxygen Concentration and Its Hysteresis Behavior in Rivers Using Wavelet Transform-Based Hybrid Models. CLEAN Soil Air Water 2017. [Google Scholar] [CrossRef]
- Orr, H.G.; Simpson, G.L.; Clers, S.; Watts, G.; Hughes, M.; Hannaford, J.; Evans, R. Detecting changing river temperatures in England and Wales. Hydrol. Process. 2015, 29, 752–766. [Google Scholar] [CrossRef]
- Sun, N.; Yearsley, J.; Voisin, N.; Lettenmaier, D.P. A spatially distributed model for the assessment of land use impacts on stream temperature in small urban watersheds. Hydrol. Process. 2015, 29, 2331–2345. [Google Scholar] [CrossRef]
- Nelson, K.C.; Palmer, M.A. Stream temperature surges under urbanization and climate change: Data, models, and responses. JAWRA J. Am. Water Resour. Assoc. 2007, 43, 440–452. [Google Scholar] [CrossRef]
- Dudgeon, D. (Ed.) Tropical Stream Ecology; Academic Press: London, UK, 2011. [Google Scholar]
- Smith, P.; Gregory, P.J.; Van Vuuren, D.; Obersteiner, M.; Havlík, P.; Rounsevell, M.; Bellarby, J. Competition for land. Philos. Trans. R. Soc. Lond. B Biol. Sci. 2010, 365, 2941–2957. [Google Scholar] [CrossRef] [PubMed]
- Taniwaki, R.H.; Piggott, J.J.; Ferraz, S.F.; Matthaei, C.D. Climate change and multiple stressors in small tropical streams. Hydrobiologia 2017, 793, 41–53. [Google Scholar] [CrossRef]
- Pachauri, R.K.; Allen, M.R.; Barros, V.R.; Broome, J.; Cramer, W.; Christ, R.; Dubash, N.K. Climate Change 2014: Synthesis Report. Contribution of Working Groups I, II and III to the Fifth Assessment Report of the Intergovernmental Panel on Climate Change; IPCC: Geneva, Switzerland, 2014. [Google Scholar]
- Hamdan, O.; Aziz, H.K.; Hasmadi, I.M. L-band ALOS PALSAR for biomass estimation of Matang Mangroves, Malaysia. Remote Sens. Environ. 2014, 155, 69–78. [Google Scholar] [CrossRef]
- Pour, A.B.; Hashim, M. Identification of High Potential Bays for HABs occurrence in Peninsular Malysia using Palsar Remote Sensing Data. Int. Arch. Photogramm. Remote Sens. Spat. Inf. Sci. 2016, 42, 97–101. [Google Scholar] [CrossRef]
- Chen, D.; Hu, M.; Guo, Y.; Dahlgren, R.A. Changes in river water temperature between 1980 and 2012 in Yongan watershed, eastern China: Magnitude, drivers and models. J. Hydrol. 2016, 533, 191–199. [Google Scholar] [CrossRef]
- Mora, C.; Frazier, A.G.; Longman, R.J.; Dacks, R.S.; Walton, M.M.; Tong, E.J.; Ambrosino, C.M. The projected timing of climate departure from recent variability. Nature 2013, 502, 183–187. [Google Scholar] [CrossRef] [PubMed]
- Shahid, S.; Pour, S.H.; Pour, S.H.; Wang, X.; Wang, X.; Ismail, T.B. Impacts and adaptation to climate change in Malaysian real estate. Int. J. Clim. Chang. Strateg. Manag. 2017, 9, 87–103. [Google Scholar] [CrossRef]
- Wong, C.L.; Venneker, R.; Uhlenbrook, S.; Jamil, A.B.M.; Zhou, Y. Variability of rainfall in Peninsular Malaysia. Hydrol. Earth Syst. Sci. Discuss. 2009, 6, 5471–5503. [Google Scholar] [CrossRef]
- Paramananthan, S. Soils of Malaysia: Their Characteristics and Identification; Academy of Sciences Malaysia: Kuala Lumpur, Malaysia, 2000.
- Malone, R.W.; Yagow, G.; Baffaut, C.; Gitau, M.W.; Qi, Z.; Amatya, D.M.; Green, T.R. Parameterization guidelines and considerations for hydrologic models. Trans. ASABE 2015, 58, 1681–1703. [Google Scholar]
- Daniel, E.B.; Camp, J.V.; LeBoeuf, E.J.; Penrod, J.R.; Abkowitz, M.D.; Dobbins, J.P. Watershed modeling using GIS technology: A critical review. J. Spat. Hydrol. 2011, 10, 2. [Google Scholar]
- Bicknell, B.R.; Imhoff, J.C.; Kittle, J.L., Jr.; Jobes, T.H.; Donigian, A.S., Jr.; Johanson, R. Hydrological Simulation Program—Fortran: HSPF, Version 12 User’s Manual; EPA National Exposure Research Laboratory: Athens, GA, USA, 2001.
- Donigian, A.S.; Crawford, N.H. Modeling Nonpoint Pollution from the Land Surface; US Environmental Protection Agency: Athens, GA, USA, 1976.
- Juneng, L.; Tangang, F.; Chung, J.X.; Ngai, S.T.; Tay, T.W.; Narisma, G.; Singhruck, P. Sensitivity of Southeast Asia rainfall simulations to cumulus and air-sea flux parameterizations in regCM4. Clim. Res. 2016, 69, 59–77. [Google Scholar] [CrossRef]
- AQUA TERRA Consultants. Available online: http://www.aquaterra.com/resources/downloads/HSPEXPplus.php (accessed on 15 November 2016).
- Moriasi, D.N.; Arnold, J.G.; Van Liew, M.W.; Bingner, R.L.; Harmel, R.D.; Veith, T.L. Model evaluation guidelines for systematic quantification of accuracy in watershed simulations. Trans. ASABE 2007, 50, 885–900. [Google Scholar] [CrossRef]
- Diaz-Ramirez, J.N.; McAnally, W.H.; Martin, J.L. Sensitivity of simulating hydrologic processes to gauge and radar rainfall data in subtropical coastal catchments. Water Resour. Manag. 2012, 26, 3515–3538. [Google Scholar] [CrossRef]
- Gardner, R.H.; O’neill, R.V.; Mankin, J.B.; Carney, J.H. A comparison of sensitivity analysis and error analysis based on a stream ecosystem model. Ecol. Model. 1981, 12, 173–190. [Google Scholar] [CrossRef]
- Gelaro, R.; Buizza, R.; Palmer, T.N.; Klinker, E. Sensitivity analysis of forecast errors and the construction of optimal perturbations using singular vectors. J. Atmos. Sci. 1998, 55, 1012–1037. [Google Scholar] [CrossRef]
- Cheng, S.T.; Wiley, M.J. A Reduced Parameter Stream Temperature Model (RPSTM) for basin-wide simulations. Environ. Model. Softw. 2016, 82, 295–307. [Google Scholar] [CrossRef]
- Hunt, R.J.; Westenbroek, S.M.; Walker, J.F.; Selbig, W.R.; Regan, R.S.; Leaf, A.T.; Saad, D.A. Simulation of Climate Change Effects on Streamflow, Groundwater, and Stream Temperature Using GSFLOW and SNTEMP in the Black Earth Creek Watershed, Wisconsin; US Geological Survey: Reston, VA, USA, 2016.
- Imhoff, J.C.; Kittle, J.L.; Gray, M.R.; Johnson, T.E. Using the climate assessment tool (CAT) in US EPA BASINS integrated modeling system to assess watershed vulnerability to climate change. Water Sci. Technol. 2007, 56, 49–56. [Google Scholar] [CrossRef] [PubMed]
- Su, Q.; Cai, G.; Degée, H. Application of Variance Analyses Comparison in Seismic Damage Assessment of Masonry Buildings Using Three Simplified Indexes. Math. Probl. Eng. 2017, 2017, 3741941. [Google Scholar] [CrossRef]
- Anderson, M.J. A new method for non-parametric multivariate analysis of variance. Austral Ecol. 2001, 26, 32–46. [Google Scholar]
- Johnson, H.E.; Kular, B.; Mur, L.; Smith, A.R.; Wang, T.L.; Causton, D.R. The application of multivariate analysis of variance (MANOVA) to evaluate plant metabolomic data from factorially designed experiments. Metabolomics 2016, 12, 191. [Google Scholar] [CrossRef]
- Harvey, R.; Lye, L.; Khan, A.; Paterson, R. The Influence of air temperature on water temperature and the concentration of dissolved oxygen in Newfoundland Rivers. Can. Water Resour. J. 2011, 36, 171–192. [Google Scholar] [CrossRef]
- Woltemade, C.J.; Hawkins, T.W. Stream temperature impacts because of changes in air temperature, Land cover and stream discharge: Navarro River watershed, California, USA. River Res. Appl. 2016, 32, 2020–2031. [Google Scholar] [CrossRef]
- Leach, J.A.; Olson, D.H.; Anderson, P.D.; Eskelson, B.N.I. Spatial and seasonal variability of forested headwater stream temperatures in western Oregon, USA. Aquat. Sci. 2017, 79, 291–307. [Google Scholar] [CrossRef]
- Woltemade, C.J. Stream temperature spatial variability reflects geomorphology, hydrology, and microclimate: Navarro River watershed, California. Prof. Geogr. 2017, 69, 177–190. [Google Scholar] [CrossRef]
- Baroni, G.; Tarantola, S. A General Probabilistic Framework for uncertainty and global sensitivity analysis of deterministic models: A hydrological case study. Environ. Model. Softw. 2014, 51, 26–34. [Google Scholar] [CrossRef]
- Gibson, C.A.; Meyer, J.L.; Poff, N.L.; Hay, L.E.; Georgakakos, A. Flow regime alterations under changing climate in two river basins: Implications for freshwater ecosystems. River Res. Appl. 2005, 21, 849–864. [Google Scholar] [CrossRef]
- Mishra, A.; Kar, S.; Singh, V.P. Determination of runoff and sediment yield from a small watershed in sub-humid subtropics using the HSPF model. Hydrol. Process. 2007, 21, 3035–3045. [Google Scholar] [CrossRef]
- Sala, O.E.; Lauenroth, W.K.; Parton, W.J.; Trlica, M.J. Water status of soil and vegetation in a shortgrass steppe. Oecologia 1981, 48, 327–331. [Google Scholar] [CrossRef] [PubMed]
- Fang, X.; Stefan, H.G. Simulation of climate effects on water temperature, dissolved oxygen, and ice and snow covers in lakes of the contiguous US under past and future climate scenarios. Limnol. Oceanogr. 2009, 54, 2359–2370. [Google Scholar] [CrossRef]
- Lenderink, G.; Van Meijgaard, E. Increase in hourly precipitation extremes beyond expectations from temperature changes. Nat. Geosci. 2008, 1, 511–514. [Google Scholar] [CrossRef]
- Tang, C.; Li, Y.; Jiang, P.; Yu, Z.; Acharya, K. A coupled modeling approach to predict water quality in Lake Taihu, China: Linkage to climate change projections. J. Freshw. Ecol. 2015, 30, 59–73. [Google Scholar] [CrossRef]
- Isaak, D.J.; Wollrab, S.; Horan, D.; Chandler, G. Climate change effects on stream and river temperatures across the northwest US from 1980–2009 and implications for salmonid fishes. Clim. Chang. 2012, 113, 499–524. [Google Scholar] [CrossRef]
- Flint, L.E.; Flint, A.L. A basin-scale approach to estimating stream temperatures of tributaries to the Lower Klamath River, California. J. Environ. Qual. 2008, 37, 57–68. [Google Scholar] [CrossRef] [PubMed]
- Caissie, D. The thermal regime of rivers: A review. Freshw. Biol. 2006, 51, 1389–1406. [Google Scholar] [CrossRef]
- Meier, W.; Bonjour, C.; Wüest, A.; Reichert, P. Modeling the effect of water diversion on the temperature of mountain streams. J. Environ. Eng. 2003, 129, 755–764. [Google Scholar] [CrossRef]
- Gaffield, S.J.; Potter, K.W.; Wang, L. Predicting the summer temperature of small streams in southwestern Wisconsin. JAWRA J. Am. Water Resour. Assoc. 2005, 41, 25–36. [Google Scholar] [CrossRef]
- Taner, M.Ü.; Carleton, J.N.; Wellman, M. Integrated model projections of climate change impacts on a North American lake. Ecol. Model. 2011, 222, 3380–3393. [Google Scholar] [CrossRef]
- Piggott, J.J.; Townsend, C.R.; Matthaei, C.D. Climate warming and agricultural stressors interact to determine stream macroinvertebrate community dynamics. Glob. Chang. Biol. 2015, 21, 1887–1906. [Google Scholar] [CrossRef] [PubMed]
- Leuven, R.S.E.W.; Hendriks, A.J.; Huijbregts, M.A.J.; Lenders, H.J.R.; Matthews, J.; Van der Velde, G. Differences in sensitivity of native and exotic fish species to changes in river temperature. Curr. Zool. 2011, 57, 852–862. [Google Scholar] [CrossRef]
- Kaushal, S.S.; Likens, G.E.; Jaworski, N.A.; Pace, M.L.; Sides, A.M.; Seekell, D.; Wingate, R.L. Rising stream and river temperatures in the United States. Front. Ecol. Environ. 2010, 8, 461–466. [Google Scholar] [CrossRef]
- Hansen, G.J.; Read, J.S.; Hansen, J.F.; Winslow, L.A. Projected shifts in fish species dominance in Wisconsin lakes under climate change. Glob. Chang. Biol. 2017, 23, 1463–1476. [Google Scholar] [CrossRef] [PubMed]
- Heller, N.E.; Zavaleta, E.S. Biodiversity management in the face of climate change: A review of 22 years of recommendations. Biol. Conserv. 2009, 142, 14–32. [Google Scholar] [CrossRef]










| Names of Rivers | Soil Texture | Drainage Area (km2) | Length of the Rivers (km) | Average Slope (%) | Land-Use Composition of the River Catchment (%) | ||||
|---|---|---|---|---|---|---|---|---|---|
| Built-up | Agriculture | Forest | Wetland | Barren Land | |||||
| Sengkang | Sandy loam | 11.7 | 4.0 | 10.7 | 2.9 | 9.5 | 85.5 | 0.0 | 2.1 | 
| Senai | Sand Silty Clay | 30.4 | 11.8 | 11.4 | 8.2 | 20.5 | 69.5 | 0.1 | 1.7 | 
| Melana | Sand Silty Clay | 44.3 | 18.7 | 9.6 | 55.3 | 23.8 | 19.4 | 1.5 | 0.0 | 
| Danga | Sand Silty Clay | 18.1 | 12.2 | 20.3 | 57.7 | 28.1 | 11.1 | 3.1 | 0.0 | 
| Skudai | Sandy Clay | 182.9 | 42.8 | 11.7 | 44.5 | 31.9 | 21.1 | 1.9 | 0.6 | 
| Notation | Definition | Typical Range of Calibration Values | Max. No. of Calibration Values | 
|---|---|---|---|
| LZSN | Lower zone nominal soil moisture storage | 2.0–15.0 | 100 | 
| INFILT | Index to infiltration capacity | 0.001–0.5 | 100 | 
| UZSN | Upper zone nominal soil moisture storage | 0.05–2.0 | 10 | 
| INFTW | Interflow inflow parameter | 1.0–10.0 | - | 
| AIR TEMP | Air temperature | - | - | 
| PREC | Precipitation | - | - | 
| KEVAP | Evaporation coefficient | 0.001–10 | 10 | 
| KCOND | Conduction-convection heat transport coefficient | 0.001–20 | 20 | 
| KATRAD | Long wave radiation coefficient | 0.001–20 | 20 | 
| CFSAEX | Correction factor for solar radiation | 0.001–2.0 | 2 | 
| Scenarios | Description | Base Year | Monthly Prec. (mm) | Monthly Temp. (°C) | Prec. & Temp Anomaly | |||
|---|---|---|---|---|---|---|---|---|
| Min. | Max. | Min. | Max. | Prec. (%) | Temp. (°C) | |||
| S1 | Baseline | 2000 | 56.5 | 260.6 | 24.6 | 26.3 | 0 | 0 | 
| S2 | Early century (RCP 4.5) | 2030 | 65.8 | 183.3 | 24.9 | 26.6 | −15.4 | 0.6 | 
| S3 | Mid Century (RCP 4.5) | 2050 | 89.7 | 246.5 | 25.3 | 27.2 | 11.6 | 1.0 | 
| S4 | Near End Century (RCP 4.5) | 2070 | 26.9 | 281.9 | 25.8 | 27.5 | −4.6 | 1.2 | 
| S5 | End Century (RCP 4.5) | 2090 | 65.4 | 702.5 | 26.3 | 27.9 | 36.9 | 1.9 | 
| S6 | Early century (RCP 8.5) | 2030 | 71.2 | 320.8 | 25.1 | 26.4 | 11.2 | 0.5 | 
| S7 | Mid Century (RCP 8.5) | 2050 | 26.7 | 271.7 | 25.8 | 27.5 | −34.4 | 1.4 | 
| S8 | Near End Century (RCP 8.5) | 2070 | 23.4 | 355.2 | 26.2 | 28.1 | 9.0 | 2.0 | 
| S9 | End Century (RCP 8.5) | 2090 | 39.9 | 256.9 | 26.6 | 28.2 | −24.2 | 2.5 | 
| Names of Rivers | Scenarios | Changes in Land-Use Composition within the River Catchment (%) | ||||
|---|---|---|---|---|---|---|
| Built-Up | Agriculture | Forest | Wetland | Barren Land | ||
| Sengkang | SL1 | 5.0 | 25.0 | 65.0 | 0.0 | 5.0 | 
| SL2 | 5.0 | 50.0 | 40.0 | 0.0 | 5.0 | |
| SL3 | 5.0 | 75.0 | 15.0 | 0.0 | 5.0 | |
| Senai | NL1 | 25.0 | 20.0 | 53.2 | 0.1 | 1.7 | 
| NL2 | 50.0 | 20.0 | 28.2 | 0.1 | 1.7 | |
| NL3 | 75.0 | 20.0 | 3.2 | 0.1 | 1.7 | |
| Melana | ML1 | 75.0 | 15.0 | 8.5 | 1.5 | 0.0 | 
| ML2 | 85.0 | 10.0 | 3.5 | 1.5 | 0.0 | |
| ML3 | 95.0 | 3.0 | 0.5 | 1.5 | 0.0 | |
| Statistical Model | Calibration | Validation | 
|---|---|---|
| Coefficient of determination (R2) | 0.89 | 0.83 | 
| Nash–Sutcliffe Efficiency (NSE) | 0.88 | 0.82 | 
| Percent bias (PBIAS) | −6.28 | −3.91 | 
| Statistical Parameters | 3S110 | 3S117 | 3S116 | |||
|---|---|---|---|---|---|---|
| Tw | DO | Tw | DO | Tw | DO | |
| Average Monthly Values | ||||||
| Observed (in °C or mg/L) | 26.20 | 5.13 | 26.68 | 2.80 | 27.66 | 3.19 | 
| Simulated (in °C or mg/L) | 26.18 | 4.99 | 26.66 | 2.87 | 27.62 | 2.84 | 
| Standard Deviation | ||||||
| Observed | 0.59 | 1.38 | 0.71 | 1.45 | 0.95 | 1.62 | 
| Simulated | 0.62 | 1.18 | 0.68 | 1.32 | 0.90 | 1.48 | 
| Performance Statistics | ||||||
| T-test | 0.94 | 1.88 | 1.60 | −0.89 | 1.84 | 3.44 | 
| p-Value | 0.34 | 0.06 | 0.11 | 0.38 | 0.07 | 0.04 | 
| Correlation coefficient | 0.86 | 0.75 | 0.98 | 0.79 | 0.86 | 0.81 | 
| Coefficient of determination R2 | 0.74 | 0.55 | 0.70 | 0.62 | 0.64 | 0.65 | 
| Nash–Sutcliffe efficiency (NSE) | 0.70 | 0.53 | 0.64 | 0.60 | 0.60 | 0.59 | 
| Percent Bias (PBIAS) | 0.09 | 2.72 | 0.55 | −2.31 | 0.84 | 10.80 | 
| Skudai Rivers Section | Sources | d.f | Sum of Square | Mean Square | F-Statistics | p-Value | 
|---|---|---|---|---|---|---|
| Upstream | Scenarios | 1377.0 | 8.0 | 172.1 | 151.6 | 0.0 | 
| Residual | 57,791.0 | 50,914.0 | 1.1 | |||
| Total | 59,168.0 | 50,922.0 | ||||
| Mid-section | Scenarios | 745.8 | 8.0 | 93.2 | 44.2 | 0.0 | 
| Residual | 107,509.3 | 50,914.0 | 2.1 | |||
| Total | 108,255.1 | 50,922.0 | ||||
| Downstream | Scenarios | 421.5 | 8.0 | 52.7 | 48.4 | 0.0 | 
| Residual | 55,376.7 | 50,914.0 | 1.1 | |||
| Total | 55,798.1 | 50,922.0 | 
| Skudai Rivers Section | Sources | d.f | Sum of Square | Mean Square | F-Statistics | p-Value | 
|---|---|---|---|---|---|---|
| Upstream | Scenarios | 1672.5 | 8.0 | 209.1 | 121.9 | 0.0 | 
| Residual | 87,282.1 | 50,913.0 | 1.7 | |||
| Total | 88,954.6 | 50,921.0 | ||||
| Mid-section | Scenarios | 3254.4 | 8.0 | 406.8 | 135.3 | 0.0 | 
| Residual | 153,042.1 | 50,913.0 | 3.0 | |||
| Total | 156,296.5 | 50,921.0 | ||||
| Downstream | Scenarios | 1854.6 | 8.0 | 231.8 | 90.0 | 0.0 | 
| Residual | 131,153.9 | 50,913.0 | 2.6 | |||
| Total | 133,008.5 | 50,921.0 | 
© 2017 by the authors. Licensee MDPI, Basel, Switzerland. This article is an open access article distributed under the terms and conditions of the Creative Commons Attribution (CC BY) license (http://creativecommons.org/licenses/by/4.0/).
Share and Cite
Danladi Bello, A.-A.; Hashim, N.B.; Mohd Haniffah, M.R. Predicting Impact of Climate Change on Water Temperature and Dissolved Oxygen in Tropical Rivers. Climate 2017, 5, 58. https://doi.org/10.3390/cli5030058
Danladi Bello A-A, Hashim NB, Mohd Haniffah MR. Predicting Impact of Climate Change on Water Temperature and Dissolved Oxygen in Tropical Rivers. Climate. 2017; 5(3):58. https://doi.org/10.3390/cli5030058
Chicago/Turabian StyleDanladi Bello, Al-Amin, Noor Baharim Hashim, and Mohd Ridza Mohd Haniffah. 2017. "Predicting Impact of Climate Change on Water Temperature and Dissolved Oxygen in Tropical Rivers" Climate 5, no. 3: 58. https://doi.org/10.3390/cli5030058
APA StyleDanladi Bello, A.-A., Hashim, N. B., & Mohd Haniffah, M. R. (2017). Predicting Impact of Climate Change on Water Temperature and Dissolved Oxygen in Tropical Rivers. Climate, 5(3), 58. https://doi.org/10.3390/cli5030058
 
        

 
       