Pore Structure and Fractal Characteristics of Niutitang Shale from China
Abstract
:1. Introduction
2. Samples and Methods
2.1. Samples
2.2. Experimental Methods
2.3. Fractal Theory
3. Results
3.1. Organic Geochemistry
3.2. Mineral Composition
3.3. Helium Porosity, Permeability and Methane Adsorption Results
3.4. Pore Structure Characterization through Mercury Intrusion
3.5. Pore Structure Characterization through Nitrogen Physisorption
3.6. Fractal Dimensions from N2 Physisorption
4. Discussion
4.1. Effect of TOC Content on Pore Structure
4.2. Effect of Mineral Composition on Pore Structure
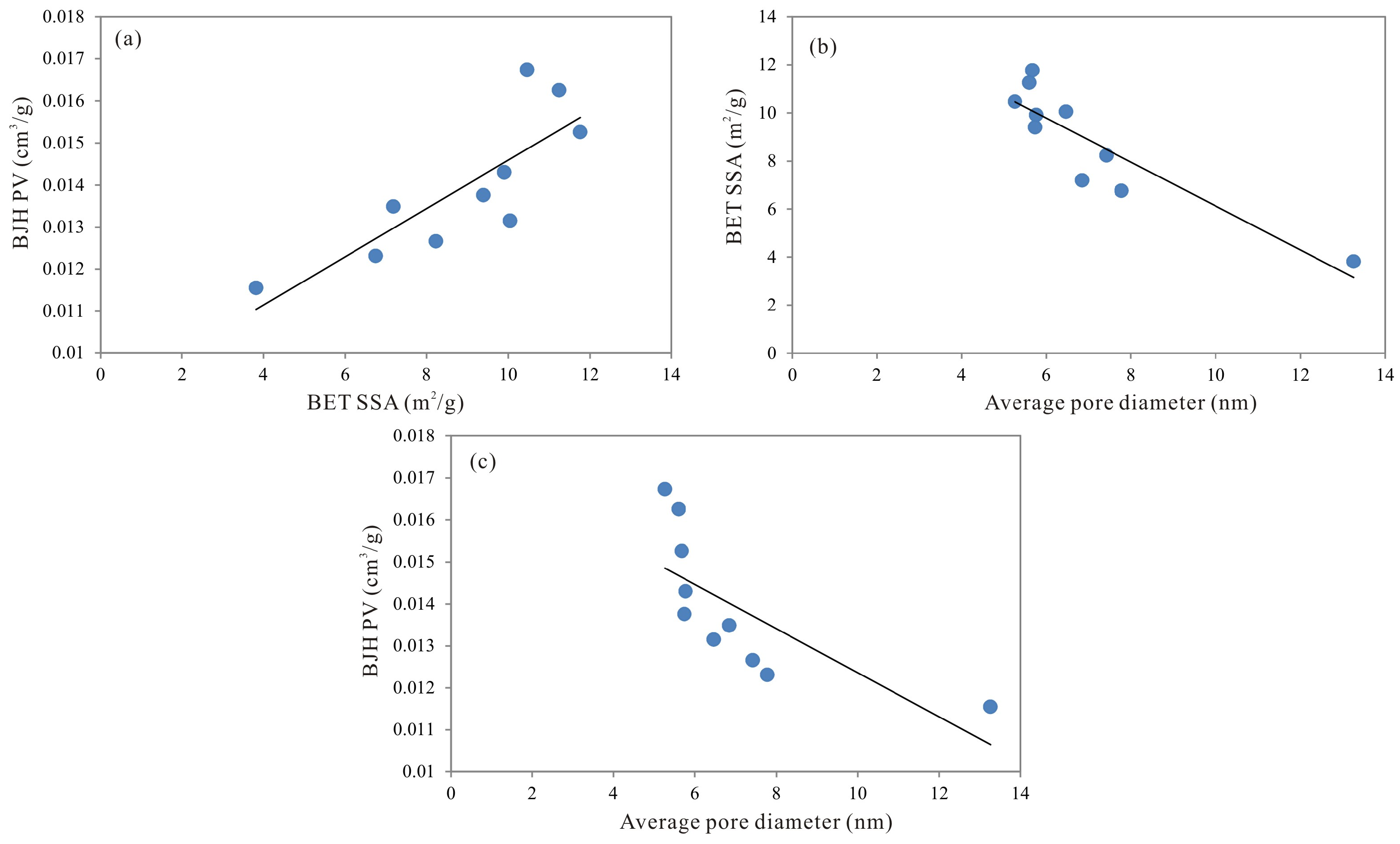
4.3. Pore Structure Parameter Characteristics and Their Relationships with Fractal Dimension
4.4. Fractal Dimension Contributions to Shale Gas Reservoir Evaluation
4.4.1. Effect of Fractal Dimension on Permeability
4.4.2. Effects of Fractal Dimension on the Adsorption Capacity of Shale
5. Conclusions
Acknowledgments
Author Contributions
Conflicts of Interest
References
- Curtis, J.B. Fractured shale-gas systems. AAPG Bull. 2002, 86, 1921–1938. [Google Scholar]
- Gasparik, M.; Bertier, P.; Gensterblum, Y.; Ghanizadeh, A.; Krooss, B.M.; Littke, R. Geological controls on the methane storage capacity in organic-rich shales. Int. J. Coal Geol. 2014, 123, 34–51. [Google Scholar] [CrossRef]
- Fu, H.J.; Wang, X.Z.; Zhang, L.X.; Gao, R.M.; Li, Z.T.; Xu, T.; Zhu, X.L.; Xu, W.; Li, Q. Investigation of the factors that control the development of pore structure in lacustrine shale: A case study of block X in the Ordos Basin, China. J. Nat. Gas Sci. Eng. 2015, 26, 1422–1432. [Google Scholar] [CrossRef]
- Bustin, R.M.; Bustin, A.M.M.; Cui, X.; Ross, D.J.K.; Murthy, P.V.S. Impact of shale properties on pore structure and storage characteristics. Presented at the Shale Gas Production Conference, Fort Worth, TX, USA, 16–18 November 2008. [Google Scholar]
- Loucks, R.G.; Reed, R.M.; Ruppel, S.C.; Jarvie, D.M. Morphology, genesis and distribution of nanometer–scale pores in siliceous mudstones of the Mississippian Barnett shale. J. Sediment. Res. 2009, 79, 848–861. [Google Scholar] [CrossRef]
- Loucks, R.G.; Reed, R.M.; Ruppel, S.C.; Hammes, U. Spectrum of pore types and networks in mudrocks and a descriptive classification for matrix-related mudrock pores. AAPG Bull. 2012, 96, 1071–1098. [Google Scholar] [CrossRef]
- Mastalerz, M.; Schimmelmann, A.; Drobniak, A.; Chen, Y.Y. Porosity of Devonian and Mississippian New Albany Shale across a maturation gradient: Insights from organic petrology, gas adsorption and mercury intrusion. AAPG Bull. 2013, 97, 1621–1643. [Google Scholar] [CrossRef]
- Clarkson, C.R.; Solano, N.; Bustin, R.; Bustin, A.; Chalmers, G.; He, L.; Melnichenko, Y.B.; Radlinski, A.; Blach, T.P. Pore structure characterization of North American shale gas reservoirs using USANS/SANS, gas adsorption and mercury intrusion. Fuel 2013, 103, 606–616. [Google Scholar] [CrossRef]
- Tian, H.; Pan, L.; Xiao, X.M.; Wilkins, R.W.T.; Meng, Z.P.; Huang, B.J. A preliminary study on the pore characterization of Lower Silurian black shales in the Chuandong Thrust Fold Belt, southwestern China using low pressure N2 adsorption and FE-SEM methods. Mar. Pet. Geol. 2013, 48, 8–19. [Google Scholar] [CrossRef]
- Wang, G.C.; Ju, Y.W. Organic shale micropore and mesopore structure characterization by ultra-low pressure N2 physisorption: Experimental procedure and interpretation model. J. Nat. Gas Sci. Eng. 2015, 27, 452–465. [Google Scholar] [CrossRef]
- Yao, Y.B.; Liu, D.; Tang, D.Z.; Tang, S.H.; Huang, W.H. Fractal characterization of adsorption-pores of coals from North China: An investigation on CH4 adsorption capacity of coals. Int. J. Coal Geol. 2008, 73, 27–42. [Google Scholar] [CrossRef]
- Yao, Y.B.; Liu, D.M.; Tang, D.Z.; Tang, S.H.; Huang, W.H.; Liu, Z.; Che, Y. Fractal characterization of seepage-pores of coals from China: An investigation on permeability of coals. Comput. Geosci. 2009, 35, 1159–1166. [Google Scholar] [CrossRef]
- Yang, F.; Ning, Z.F.; Liu, H. Fractal characteristics of shales from a shale gas reservoir in the Sichuan Basin, China. Fuel 2014, 115, 378–384. [Google Scholar] [CrossRef]
- Ji, W.M.; Song, Y.; Jiang, Z.X.; Meng, M.M; Liu, Q.X; Chen, L.; Wang, P.F; Gao, F.L; Huang, H.X. Fractal characteristics of nano-pores in the Lower Silurian Longmaxi shales from the Upper Yangtze Platform, south China. Mar. Petrol. Geol. 2016, 78, 88–98. [Google Scholar] [CrossRef]
- Guo, T.L.; Zhang, H.R. Formation and enrichment mode of Jiaoshiba shale gas field, Sichuan Basin. Petroleum Exploration and Development. Petrol. Exp. Dev. 2014, 41, 28–36. [Google Scholar]
- Zou, C.N.; Dong, D.Z.; Wang, Y.M.; Li, X.J.; Huang, J.L.; Wang, S.F.; Guan, Q.Z.; Zhang, C.C.; Wang, H.Y.; Liu, H.L.; et al. Shale gas in China: Characteristics, challenges and prospects(II). Petrol. Exp. Dev. 2015, 42, 753–767. [Google Scholar] [CrossRef]
- Zhao, W.Z.; Li, J.Z.; Yang, T.; Wang, S.F.; Huang, J.L. Geological difference and its significance of marine shale gases in South China. Petrol. Exp. Dev. 2016, 43, 547–559. [Google Scholar] [CrossRef]
- Wang, Y.; Zhu, Y.M.; Chen, S.B.; Li, W. Characteristics of the nanoscale pore structure in Northwestern Hunan Shale gas reservoirs using field emission scanning electron microscopy, high-pressure mercury intrusion and gas adsorption. Energy Fuel 2014, 28, 945–955. [Google Scholar] [CrossRef]
- Hu, J.G.; Tang, S.H.; Zhang, S.H. Investigation of pore structure and fractal characteristics of the Lower Silurian Longmaxi shales in western Hunan and Hubei Provinces in China. J. Nat. Gas Sci. Eng. 2016, 28, 522–535. [Google Scholar] [CrossRef]
- Wan, Y.; Tang, S.H.; Pan, Z.J. Evaluation of the shale gas potential of the lower Silurian Longmaxi Formation in northwest Hunan Province, China. Mar. Petrol. Geol. 2017, 79, 159–175. [Google Scholar] [CrossRef]
- Wang, R.Y.; Gu, Y.; Ding, W.L.; Gong, D.J.; Yin, S.; Wang, X.H.; Zhou, X.H.; Li, A.; Xiao, Z.K.; Cui, Z.X. Characteristics and dominant controlling factors of organic-rich marine shales with high thermal maturity: A case study of the Lower Cambrian Niutitang Formation in the Cen’gong block, southern China. J. Nat. Gas Sci. Eng. 2016, 33, 81–96. [Google Scholar] [CrossRef]
- Tang, S.H.; Fan, E.P.; Zhang, S.H.; Jiang, W. Reservior characteristics and gas-bearing capacity of the Lower Palaeozoic marine shales in Northwestern Hunan. Geo. Sci. Front. 2016, 23, 135–146. [Google Scholar]
- Lin, T.; Zhang, J.C.; Li, B.; Yang, S.; He, W.; Tang, X.; Ma, L.; Pei, S. Shale gas accumulation conditions and gas-bearing properties of the Lower Cambrian Niutitang Formation in Well Changye 1, northwestern Hunan. Acta Pet. Sin. 2014, 35, 839–846. [Google Scholar]
- Tan, J.Q.; Horsfield, B.; Fink, R.; Krooss, B.; Schulz, H.; Rybacki, E.; Zhang, J.C.; Boreham, C.J.; van Graas, G.; Tocher, B. Shale Gas Potential of the Major Marine Shale Formations in the Upper Yangtze Platform, South China, Part III: Mineralogical, Lithofacial, Petrophysical and Rock Mechanical Properties. Energy Fuels 2014, 28, 2322–2342. [Google Scholar] [CrossRef]
- Yang, X.Q.; Fan, T.L.; Wu, Y. Lithofacies and cyclicity of the Lower Cambrian Niutitang shale in the Mayang Basin of western Hunan, South China. J. Nat. Gas Sci. Eng. 2016, 28, 74–86. [Google Scholar] [CrossRef]
- Schoenherr, J.; Littke, R.; Urai, J.L.; Kukla, P.A.; Rawahi, Z. Polyphase thermal evolution in the Infra-Cambrian Ara group (South Oman Salt Basin) as deduced by maturity of solid reservoir bitumen. Org. Geochem. 2007, 38, 1293–1318. [Google Scholar] [CrossRef]
- Dang, W.; Zhang, J.C.; Tang, X.; Chen, Q.; Han, S.B.; Li, Z.M.; Du, X.R.; Wei, X.L.; Zhang, M.Q.; Liu, J.; et al. Shale gas potential of Lower Permian marine-continental transitional black shales in the Southern North China Basin, central China: Characterization of organic geochemistry. J. Nat. Gas Sci. Eng. 2016, 28, 639–650. [Google Scholar] [CrossRef]
- Chalmers, G.R.; Bustin, R.M.; Power, I.M. Characterization of gas shale pore systems by porosimetry, pycnometry, surface area and field emission scanning electron microscopy/transmission electron microscopy image analyses: Examples from the Barnett, Woodford, Haynesville, Marcellus and Doig units. AAPG Bull. 2012, 96, 1099–1119. [Google Scholar] [CrossRef]
- Barrett, E.P.; Joyner, L.G.; Halenda, P.P. The determination of pore volume and area distribution in porous substances. I. Computations from nitrogen isotherms. J. Am. Chem. Soc. 1951, 73, 373–380. [Google Scholar] [CrossRef]
- Brunauer, S.; Emmett, P.H.; Teller, E. Adsorption of gases in multimolecular layers. J. Am. Chem. Soc. 1938, 60, 309–319. [Google Scholar] [CrossRef]
- De Boer, J.H.; Lippens, B.C.; Linsen, B.G.; Broekhoff, J.C.P.; van den Heuvel, A.; Osinga, T.J. The t-curve of multimolecular N2-adsorption. J. Colloid Interf. Sci. 1963, 21, 405–414. [Google Scholar] [CrossRef]
- Wei, M.M.; Zhang, L.; Xiong, Y.Q.; Li, J.H.; Peng, P.A. Nanopore structure characterization for organic-rich shale using the non-local-density functional theory by a combination of N2 and CO2 adsorption. Microporous Mesoporous Mater. 2016, 227, 88–94. [Google Scholar] [CrossRef]
- Zhang, T.W.; Ellis, G.S.; Rupple, S.C.; Milliken, K.; Yang, R. Effect of organic matter type and thermal maturity on methane adsorption in shale-gas systems. Org. Geochem. 2012, 47, 120–131. [Google Scholar] [CrossRef]
- Tian, H.; Li, T.F.; Zhang, T.W.; Xiao, X.M. Characterization of methane adsorption on overmature Lower Silurian–Upper Ordovician shales in Sichuan Basin, southwest China: Experimental results and geological implications. Int. J. Coal Geol. 2016, 156, 36–49. [Google Scholar] [CrossRef]
- Mandelbrot, B.B. Les Objects Fractals: Forme, Hasard et Dimension; Flammarion: Paris, France, 1984. [Google Scholar]
- Pape, H.; Clauser, C.; Iffland, J. Permeability prediction based on fractal porespace geometry. Geophysics 1999, 64, 1447–1460. [Google Scholar] [CrossRef]
- Cai, Y.D.; Liu, D.M.; Pan, Z.J.; Yao, Y.B.; Li, J.; Qiu, Y. Pore structure and its impact on CH4 adsorption capacity and flow capability of bituminous and subbituminous coals from Northeast China. Fuel 2013, 103, 258–268. [Google Scholar] [CrossRef]
- Tang, X.L; Jiang, Z.X.; Li, Z.; Gao, Z.Y.; Bai, Y.Q.; Zhao, S.; Feng, J. The effect of the variation in material composition on the heterogeneous pore structure of high-maturity shale of the Silurian Longmaxi formation in the southeastern Sichuan Basin, China. J. Nat. Gas Sci. Eng. 2015, 23, 464–473. [Google Scholar] [CrossRef]
- Li, A.; Ding, W.L.; He, J.H.; Dai, P.; Yin, S.; Xie, F. Investigation of pore structure and fractal characteristics of organicrich shale reservoirs: A case study of Lower Cambrian Qiongzhusi formation in Malong block of eastern Yunnan Province, South China. Mar. Pet. Geol. 2016, 70, 46–57. [Google Scholar] [CrossRef]
- Pfeifer, P.; Avnir, D. Chemistry in noninteger dimensions between 2 and 3, I: Fractal theory of heterogeneous surface. J. Chem. Phys. 1983, 79, 3558–3565. [Google Scholar] [CrossRef]
- Avnir, D.; Jaroniec, M. An isotherm equation for adsorption on fractal surfaces of heterogeneous porous materials. Langmuir 1989, 5, 1431–1433. [Google Scholar] [CrossRef]
- Jaroniec, M. Evaluation of the fractal dimension from a single adsorption isotherm. Langmuir 1995, 11, 2316–2317. [Google Scholar] [CrossRef]
- Wang, M.; Xue, H.T.; Tian, S.; Wilkins, R.; Wang, Z. Fractal characteristics of Upper Cretaceous lacustrine shale from the Songliao Basin, NE China. Mar. Petrol. Geol. 2015, 67, 144–153. [Google Scholar] [CrossRef]
- Bu, H.J.; Ju, Y.W.; Tan, J.Q.; Wang, G.C.; Li, X.S. Fractal characteristics of pores in non-marine shales from the Huainan coalfield, eastern China. J. Nat. Gas Sci. Eng. 2015, 24, 166–177. [Google Scholar] [CrossRef]
- Jiang, F.J.; Chen, D.; Chen, J.; Li, Q.W.; Liu, Y.; Shao, X.H.; Hu, T.; Dai, J.X. Fractal Analysis of Shale Pore Structure of Continental Gas Shale Reservoir in the Ordos Basin, NW China. Energy Fuels 2016, 30, 4676–4689. [Google Scholar] [CrossRef]
- Sun, M.D.; Yu, B.S.; Hu, Q.H.; Chen, S.; Xia, W.; Ye, R.C. Nanoscale pore characteristics of the Lower Cambrian Niutitang Formation Shale: A case study from Well Yuke#1 in the Southeast of Chongqing, China. Int. J. Coal Geol. 2016, 154–155, 16–29. [Google Scholar]
- Qi, H.; Ma, J.; Wong, P. Adsorption isotherms of fractal surfaces. Colloids Surf. 2002, A206, 401–407. [Google Scholar] [CrossRef]
- Yang, R.; Hao, F.; He, S.; He, C.C.; Guo, X.S.; Yi, J.Z.; Hu, H.Y.; Zhang, S.W.; Hu, Q.H. Experimental investigations on the geometry and connectivity of pore space in organic-rich Wufeng and Longmaxi shales. Mar. Pet. Geol. 2017, 84, 225–242. [Google Scholar] [CrossRef]
- Bustin, R.M.; Bustin, A.; Ross, D. Shale gas opportunities and challenges. Search Discov. Articles 2009, 40382, 20–23. [Google Scholar]
- Nie, H.S.; Tang, X.; Bian, R. Controlling factors for shale gas accumulation and prediction of potential development area in shale gas reservoir of South China. Acta Pet. Sin. 2009, 30, 484–490. [Google Scholar]
- Washburn, E.W. Note on a method of determining the distribution of pore sizes in a porous material. Proc. Natl. Acad. Sci. USA 1921, 7, 115–116. [Google Scholar] [CrossRef] [PubMed]
- Jiao, K.; Yao, S.P.; Liu, C.; Gao, Y.Q.; Wu, H.; Li, M.C.; Tang, Z.Y. The characterization and quantitative analysis of nanopores in unconventional gas reservoirs utilizing FESEM-FIB and image processing: An example from the lower Silurian Longmaxi Shale, upper Yangtze region, China. Int. J. Coal Geol. 2014, 128, 1–11. [Google Scholar] [CrossRef]
- Cao, T.T.; Song, Z.G.; Wang, X.B.; Xia, J. Characterization of pore structure and fractal dimension of Paleozoic shales from the northeastern Sichuan Basin, China. J. Nat. Gas Sci. Eng. 2016, 35, 882–895. [Google Scholar] [CrossRef]
- Xi, Z.D.; Tang, S.H.; Zhang, S.H.; Sun, K. Pore structure characteristics of marine–continental transitional shale: A case study in the Qinshui Basin, China. Energy Fuels. 2017, 31, 7854–7866. [Google Scholar] [CrossRef]
- Xi, Z.D.; Tang, S.H.; Zhang, S.H.; Li, J. Nano-Scale Pore Structure of Marine-Continental Transitional Shale from Liulin Area, the Eastern Margin of Ordos Basin, China. J. Nanosci. Nanotechnol. 2017, 17, 6109–6123. [Google Scholar] [CrossRef]
- Yang, C.; Zhang, J.C.; Wang, X.Z.; Tang, X.; Chen, Y.C.; Jiang, L.L.; Gong, X. Nanoscale pore structure and fractal characteristics of a marine-continental transitional shale: A case study from the lower Permian Shanxi Shale in the southeastern Ordos Basin, China. Mar. Pet. Geol. 2017, 88, 54–68. [Google Scholar] [CrossRef]
- Xiong, J.; Liu, X.J.; Liang, L.X. An Investigation of Fractal Characteristics of Marine Shales in the Southern China from Nitrogen Adsorption Data. J. Chem. 2015, 2015, 1–12. [Google Scholar] [CrossRef]
- Liu, X.J.; Xiong, J.; Liang, L.X. Investigation of pore structure and fractal characteristics of organic-rich Yanchang formation shale in central China by nitrogen adsorption/desorption analysis. J. Nat. Gas Sci. Eng. 2015, 22, 62–72. [Google Scholar] [CrossRef]
- Milliken, K.L.; Rudnicki, M.; Awwiller, D.N.; Zhang, T.W. Organic matter-hosted pore system, marcellus formation (Devonian), Pennsylvania. AAPG Bull. 2013, 97, 177–200. [Google Scholar] [CrossRef]
- Fishman, N.S.; Hackley, P.C.; Lowers, H.A.; Hill, R.J.; Egenhoff, S.O.; Eberl, D.D.; Blum, A.E. The nature of porosity in organic-rich mudstones of the Upper Jurassic Kimmeridge Clay Formation, North Sea, offshore United Kingdom. Int. J. Coal Geol. 2012, 103, 32–50. [Google Scholar] [CrossRef]
- Chen, J.; Xiao, X. Evolution of nanoporosity in organic-rich shales during thermal maturation. Fuel 2014, 129, 173–181. [Google Scholar] [CrossRef]
- Chen, J.; Jiang, F.J.; Hu, T.; Wang, Z.F.; Xu, Z.Y.; Peng, J.W.; Chen, D.; Li, L.L. Experimental investigation of the characteristics of organic matter pores in Chang 7 member lacustrine shale from the Ordos Basin due to organic matter evolution induced by hydrous pyrolysis. J. Nat. Gas Sci. Eng. 2016, 35, 412–424. [Google Scholar] [CrossRef]
- Gregg, S.J.; Sing, K.S.W. Adsorption, Surface Area and Porosity; Academic Press: New York, NY, USA, 1982. [Google Scholar]















| Unit | Sample ID | Depth (m) | TOC (%) | Ro (%) | S1 (mg/g) | S2 (mg/g) | Sapropelinite (%) | Inertinite (%) | TI | OM Type | HI (mg HC/gTOC) |
|---|---|---|---|---|---|---|---|---|---|---|---|
| Niutitang Formation | SY-1 | 1009.6 | 0.58 | 2.87 | 0.01 | 0.30 | 88 | 12 | 76 | II1 | 5.1 |
| SY-2 | 1017.6 | 1.23 | 2.79 | 0.00 | 0.06 | 82 | 18 | 64 | II1 | 4.8 | |
| SY-3 | 1026.2 | 1.51 | 2.24 | 0.00 | 0.06 | 87 | 13 | 74 | II1 | 3.9 | |
| SY-4 | 1027.7 | 0.94 | 3.14 | 0.00 | 0.08 | 84 | 16 | 68 | II1 | 8.5 | |
| SY-5 | 1031 | 2.28 | 2.88 | 0.03 | 0.073 | 89 | 11 | 78 | II1 | 3.2 | |
| SY-6 | 1046.4 | 1.54 | 3.01 | 0.00 | 0.07 | 85 | 15 | 70 | II1 | 4.5 | |
| SY-7 | 1062.3 | 0.97 | 3.22 | 0.00 | 0.02 | 87 | 13 | 74 | II1 | 2.1 | |
| SY-8 | 1069.7 | 5.42 | 3.15 | 0.01 | 0.33 | 88 | 12 | 76 | II1 | 6.2 | |
| SY-9 | 1077.3 | 3.54 | 3.42 | 0.00 | 0.07 | 84 | 16 | 68 | II1 | 1.9 | |
| SY-10 | 1081.2 | 7.06 | 3.34 | 0.10 | 0.38 | 84 | 16 | 68 | II1 | 5.3 |
| Sample ID | Mineral Composition | Clay | |||||
|---|---|---|---|---|---|---|---|
| Quartz | Feldspar | Calcite | Clay | Illite | Illite/Smectite | Chlorite | |
| SY-1 | 53 | 14 | / | 32 | 40 | 39 | 21 |
| SY-2 | 52 | 24 | / | 21 | 44 | 32 | 24 |
| SY-3 | 40 | 23 | 11 | 22 | 31 | 48 | 21 |
| SY-4 | 54 | 19 | 4 | 21 | 31 | 36 | 33 |
| SY-5 | 44 | 16 | 3 | 22 | 52 | 33 | 15 |
| SY-6 | 50 | 19 | / | 25 | 34 | 44 | 22 |
| SY-7 | 54 | 17 | / | 25 | 33 | 37 | 30 |
| SY-8 | 57 | 14 | 5 | 20 | 36 | 40 | 24 |
| SY-9 | 48 | 8 | 9 | 18 | 62 | 33 | 5 |
| SY-10 | 49 | 8 | 9 | 18 | 75 | 21 | 4 |
| Sample ID | Porosity (%) | Permeability (μD) | Langmuir Volume (m3/t) | Langmuir Pressure (MPa) |
|---|---|---|---|---|
| SY-1 | 4.06 | 0.98 | 0.30 | 1.49 |
| SY-2 | 3.60 | 0.90 | 1.32 | 4.02 |
| SY-3 | 2.98 | 0.56 | 2.13 | 3.83 |
| SY-4 | 3.48 | 0.84 | 0.13 | 0.39 |
| SY-5 | 2.65 | 0.33 | 1.44 | 0.60 |
| SY-6 | 3.71 | 0.79 | 1.92 | 9.52 |
| SY-7 | 1.69 | 0.77 | 1.34 | 0.82 |
| SY-8 | 1.53 | 0.38 | 1.12 | 3.17 |
| SY-9 | 3.22 | 0.59 | 1.23 | 3.55 |
| SY-10 | 2.28 | 0.55 | 2.59 | 5.19 |
| Sample ID | Fitting Equation | Fractal Dimension D | Fitting Coefficient |
|---|---|---|---|
| SY-1 | y = −0.2861x + 1.3956 | 2.7139 | 0.9886 |
| SY-2 | y = −0.2599x + 1.6649 | 2.7401 | 0.9866 |
| SY-3 | y = −0.2317x + 1.3863 | 2.7683 | 0.989 |
| SY-4 | y = −0.2689x + 1.9827 | 2.7311 | 0.9842 |
| SY-5 | y = −0.2284x + 1.7546 | 2.7716 | 0.9886 |
| SY-6 | y = −0.2414x + 1.7136 | 2.7586 | 0.9881 |
| SY-7 | y = −0.2433x + 1.1076 | 2.7567 | 0.9915 |
| SY-8 | y = −0.2266x + 1.2799 | 2.7734 | 0.9953 |
| SY-9 | y = −0.2264x + 1.5696 | 2.7736 | 0.9837 |
| SY-10 | y = −0.2199x + 1.7932 | 2.7139 | 0.9835 |
© 2018 by the authors. Licensee MDPI, Basel, Switzerland. This article is an open access article distributed under the terms and conditions of the Creative Commons Attribution (CC BY) license (http://creativecommons.org/licenses/by/4.0/).
Share and Cite
Xi, Z.; Tang, S.; Wang, J.; Yi, J.; Guo, Y.; Wang, K. Pore Structure and Fractal Characteristics of Niutitang Shale from China. Minerals 2018, 8, 163. https://doi.org/10.3390/min8040163
Xi Z, Tang S, Wang J, Yi J, Guo Y, Wang K. Pore Structure and Fractal Characteristics of Niutitang Shale from China. Minerals. 2018; 8(4):163. https://doi.org/10.3390/min8040163
Chicago/Turabian StyleXi, Zhaodong, Shuheng Tang, Jing Wang, Junjie Yi, Yingying Guo, and Kaifeng Wang. 2018. "Pore Structure and Fractal Characteristics of Niutitang Shale from China" Minerals 8, no. 4: 163. https://doi.org/10.3390/min8040163
APA StyleXi, Z., Tang, S., Wang, J., Yi, J., Guo, Y., & Wang, K. (2018). Pore Structure and Fractal Characteristics of Niutitang Shale from China. Minerals, 8(4), 163. https://doi.org/10.3390/min8040163
