Influence of Formulation on the Cuticular Penetration and on Spray Deposit Properties of Manganese and Zinc Foliar Fertilizers
Abstract
:1. Introduction
2. Experimental Section
2.1. Plant Material and Isolation of Cuticular Membranes
2.2. Treatment Solutions
2.3. Surface Tension and Contact Angle
2.4. Cuticular Penetration of Manganese and Zinc
2.5. Electron Microscopy
2.6. Statistics
3. Results and Discussion
3.1. Surface Tension and Contact Angle
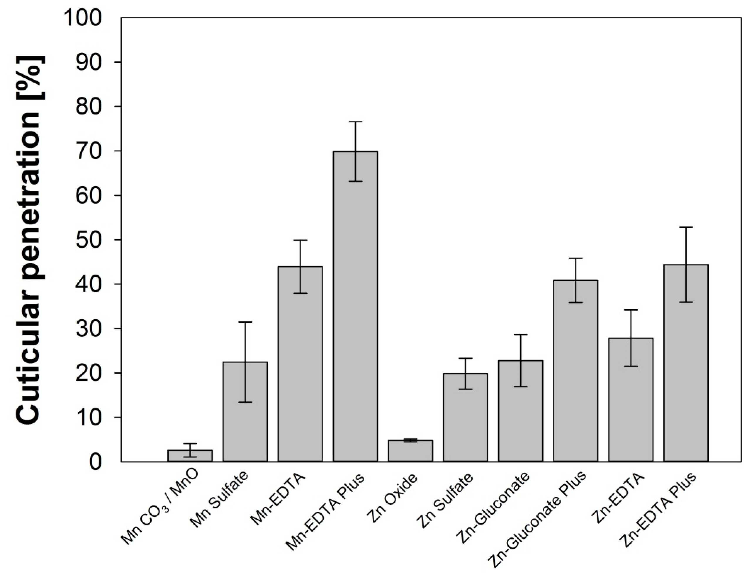
3.2. Cuticular Penetration
3.3. Deposit Properties: Scanning Electron Microscopy after Application of Formulated Products
3.4. Deposit Analysis with Scanning Electron Microscopy after Application of Mn and Zn Salts
4. Conclusions
Acknowledgments
Author Contributions
Conflicts of Interest
References
- Alexander, A. Foliar Fertilization; Martinus Nijhoff Publishers: Dordrecht, The Netherlands, 1986. [Google Scholar]
 - Alexander, A. Optimum Timing of Foliar Nutrient Sprays. In Foliar Fertilization; Martinus Nijhoff Publishers: Dordrecht, The Netherlands, 1986; pp. 44–60. [Google Scholar]
 - Fernandez, V.; Sotiropoulos, T.; Brown, P. Foliar Fertilization. Scientific Principles and Field Practices; International Fertilizer Industry Association (IFA): Paris, France, 2013. [Google Scholar]
 - Alexander, A. Modern trends in foliar fertilization. J. Plant Nutr. 1987, 10, 1391–1399. [Google Scholar] [CrossRef]
 - Schönherr, J. Calcium chloride penetrates plant cuticles via aqueous pores. Planta 2009, 212, 112–118. [Google Scholar] [CrossRef] [PubMed]
 - Schönherr, J. Characterization of aqueous pores in plant cuticles and permeation of ionic solutes. J. Exp. Bot. 2006, 57, 2471–2491. [Google Scholar] [CrossRef] [PubMed]
 - Yamada, Y.; Wittwer, S.H.; Bucovac, M.J. Penetration of ions through isolated cuticles. Plant Physiol. 1964, 39, 28–32. [Google Scholar] [CrossRef] [PubMed]
 - Ferrandon, M.; Chamel, A. Cuticular retention, foliar absorption and translocation of Fe, Mn and Zn supplied in organic and inorganic form. J. Plant Nutr. 1988, 11, 247–263. [Google Scholar] [CrossRef]
 - Fernandez, V.; Brown, P. From plant surface to plant metabolism: The uncertain fate of foliar-applied nutrients. Front. Plant Sci. 2013, 4, 1–5. [Google Scholar] [CrossRef] [PubMed]
 - Fernandez, V.; Eichert, T. Uptake of hydrophilic solutes through plant leaves: Current state of knowledge and perspectives of foliar fertilization. CRC Crit. Rev. Plant Sci. 2009, 28, 1–33. [Google Scholar] [CrossRef]
 - Eichert, T.; Goldbach, H.E.; Burghardt, J. Evidence for the uptake of large anions through stomatal pores. Bot. Acta 1998, 111, 461–466. [Google Scholar] [CrossRef]
 - Eichert, T.; Kurtz, A.; Steiner, U.; Goldbach, H.E. Size exclusion limits and lateral heterogeneity of the stomatal foliar uptake pathway for aqueous solutes and water-suspended nanoparticles. Physiol. Plant. 2008, 134, 151–160. [Google Scholar] [CrossRef] [PubMed]
 - Burghardt, J.; Basi, S.; Pariyar, S.; Hunsche, M. Stomatal penetration by aqueous solutions—An update involving leaf surface particles. New Phytol. 2012, 196, 774–787. [Google Scholar] [CrossRef] [PubMed]
 - Stacey, S.P.; Oosterhuis, D.M.; McLaughlin, M.J. The effect of chelating agents on the foliar sorption of zinc fertilizers. Am. J. Plant Sci. Biotechnol. 2008, 2, 69–73. [Google Scholar]
 - Schönherr, J.; Fernandez, V.; Schreiber, L. Rates of cuticular penetration of chelated Fe-III: Role of humidity, concentration, adjuvants, temperature, and type of chelate. J. Agric. Food Chem. 2005, 53, 4484–4492. [Google Scholar] [CrossRef] [PubMed]
 - Baur, P. Surfactant effect on cuticular penetration of neutral polar compounds: Dependence on humidity and temperature. J. Agric. Food Chem. 1999, 47, 753–761. [Google Scholar] [CrossRef] [PubMed]
 - Kraemer, T.; Hunsche, M.; Noga, G. Selected Calcium Salt Formulations: Interactions between Spray Deposit Characteristics and Ca Penetration with Consequences for Rain-Induced Wash-Off. J. Plant Nutr. 2009, 32, 1718–1730. [Google Scholar] [CrossRef]
 







| Formulation | Physical Form | Contents % w/w Zn or Mn | Water Solubility and Chelation | 
|---|---|---|---|
| H2O | Deionized water | - | - | 
| Mn-EDTA | Suspension | 6.0% Mn | Soluble; Mn chelated by EDTA | 
| Mn-EDTA Plus | Suspension | 6.0% Mn + penetration enhancer | Soluble; Mn chelated by EDTA | 
| Zn-Gluconate | Suspension | 6.0% Zn | Soluble; Zn chelated by Gluconic acid | 
| Zn-Gluconate Plus | Suspension | 6.0% Zn + penetration enhancer | Soluble; Zn chelated by Gluconic acid | 
| Zn-EDTA | Suspension | 8.0% Zn | Soluble; Zn chelated by EDTA | 
| Zn-EDTA Plus | Suspension | 8.0% Zn + penetration enhancer | Soluble; Zn chelated by EDTA | 
| Zn Oxide | Suspension | 40% Zn as zinc oxide | Water insoluble Zn | 
| Mn Carbonate & Oxide | Suspension | 27.4% Mn as manganese carbonate & oxide | Water insoluble Mn | 
| Mn sulfate | Unformulated salt | 32% Mn as sulfate | Soluble Mn | 
| Zn sulfate | Unformulated salt | 35% Zn as sulfate | Soluble Zn | 
© 2016 by the authors; licensee MDPI, Basel, Switzerland. This article is an open access article distributed under the terms and conditions of the Creative Commons Attribution (CC-BY) license (http://creativecommons.org/licenses/by/4.0/).
Share and Cite
Alexander, A.; Hunsche, M. Influence of Formulation on the Cuticular Penetration and on Spray Deposit Properties of Manganese and Zinc Foliar Fertilizers. Agronomy 2016, 6, 39. https://doi.org/10.3390/agronomy6030039
Alexander A, Hunsche M. Influence of Formulation on the Cuticular Penetration and on Spray Deposit Properties of Manganese and Zinc Foliar Fertilizers. Agronomy. 2016; 6(3):39. https://doi.org/10.3390/agronomy6030039
Chicago/Turabian StyleAlexander, Alvin, and Mauricio Hunsche. 2016. "Influence of Formulation on the Cuticular Penetration and on Spray Deposit Properties of Manganese and Zinc Foliar Fertilizers" Agronomy 6, no. 3: 39. https://doi.org/10.3390/agronomy6030039
APA StyleAlexander, A., & Hunsche, M. (2016). Influence of Formulation on the Cuticular Penetration and on Spray Deposit Properties of Manganese and Zinc Foliar Fertilizers. Agronomy, 6(3), 39. https://doi.org/10.3390/agronomy6030039
        
                                                