Building Energy Storage Panel Based on Paraffin/Expanded Perlite: Preparation and Thermal Performance Study
Abstract
:1. Introduction
2. Experimental
2.1. Phase Change Material

2.2. Preparation of PCMP
2.2.1. Support Material
| Material | EP |
|---|---|
| Weight (kg/m3) | 400 |
| Thermal conductivity (W/(m·K)) | 0.05 |
| Regenerative coefficient (W/m2·K) | 2.35 |
| Heat transfer coefficient (W/m2·K) | 2.45 |
| Specific heat (W·h/(kg·K)) | 1.17 |
| BET surface area (m2/g) | 2.68 |
2.2.2. Preparation Process of PCMP
- Expanded perlite has been dried in a drying cabinet for 5 h, at first. Then, a certain quality of paraffin, expanded perlite and magnetic particles were put into a suction bottle, and then the vacuum pump was started, in order to keep the internal pressure of the suction bottle to be 0.5 MPa.
- 30 min later, the heating magnetic stirrer was opened with the heating temperature of 80 °C. Then, the inside pressure of suction flask was further evacuated to 0.01 MPa. 2 h later, the vacuum absorption process was finished.
- The vacuum pump was closed and, meanwhile, the piston of the flask was removed. The paraffin can be further absorbed into the micropores of expand perlite, especially the residual paraffin in the surface of expanded perlite, under the driving force which was generated from the pressure change (from 0.01 MPa to atmospheric pressure).
- 1 h later, the heating magnetic stirrer was closed, and then paraffin/expanded perlite in the suction flask were naturally cooled. Finally, the preparation of composite phase change material was accomplished, and the real composite phase change material can be seen in Figure 3a.


2.3. Preparation of BESP
- PCMP and styrene acrylic emulsion were mixed and stirred in the mass ratio of 8:1.
- When they were mixed well, they were put into the mold that has the retaining flanges.
- The mixture of PCMP and styrene acrylic emulsion were distributed evenly and pressed with the pressure of 4 MPa to maintain the compactness.
- After a time period of 12 h, the shape of BESP was stabilized.
- Finally, BESP was successfully prepared, and was fetched out from the disassembled mold.


2.4. Leakage Test
2.5. Thermal Property Test
2.6. Microstructure Observation and Mechanical Property Tests
2.7. Durability Test
2.8. Dynamic Thermal Performance Test
| Instruments | Model | Quantity | Accuracy | Operation Range |
|---|---|---|---|---|
| Thermocouple | T-type | 3 | ≤±0.4 °C | −35–100 °C |
| Thermal flux sensor | WYP | 2 | ≤5% | −20–100 °C |
| Data logger | Agilent 34972A | 1 | ≤0.0041% | - |
| Thermostatic waterbath | Julabo F-12 | 2 | ≤±0.03 °C | −20–100 °C |
| Hot/cold plate | Manufactured by aluminum sheet; 20 × 20 × 10 mm3 | 2 | - | - |
| PC terminal | Lenovo ThinkStation P300 | 1 | - | - |


3. Results and Discussion
3.1. Leakage Analysis
| Samples | Proportion (wt %) | Diameter of Leakage Circle (mm) | Diameter of Standard Circle (mm) | η |
|---|---|---|---|---|
| Paraffin:EP | ||||
| 1 | 35:65 | 31.50 | 30.00 | 105.00 |
| 2 | 40:60 | 33.01 | 110.03 | |
| 3 | 45:65 | 33.90 | 113.00 | |
| 4 | 50:50 | 33.99 | 113.30 | |
| 5 | 52.5:47.5 | 34.08 | 113.60 | |
| 6 | 55:45 | 34.77 | 115.90 | |
| 7 | 60:40 | 35.88 | 119.60 | |
| 8 | 52.5:47.5 (coating film) | 30.00 | 100.00 |

3.2. Thermal Property Analysis
| Composite PCM | Phase Change Point (°C) | Latent Heat (J/g) | References |
|---|---|---|---|
| Capric–lauric acid/gypsum | 19.1 | 35.2 | [11] |
| Capric–palmitic acid/gypsum | 22.9 | 42.5 | [25] |
| Capric–stearic acid/gypsum | 23.8 | 49 | [26] |
| Capric–palmitic acid/Vermiculite | 23.5 | 72.1 | [27] |
| Methyl palmitate–stearate/wallboard | 22.5 | 41.1 | [43] |
| 25# Paraffin/EP | 21.6 | 56.3 | This research |

3.3. Microstructure and Mechanical Property Analyses


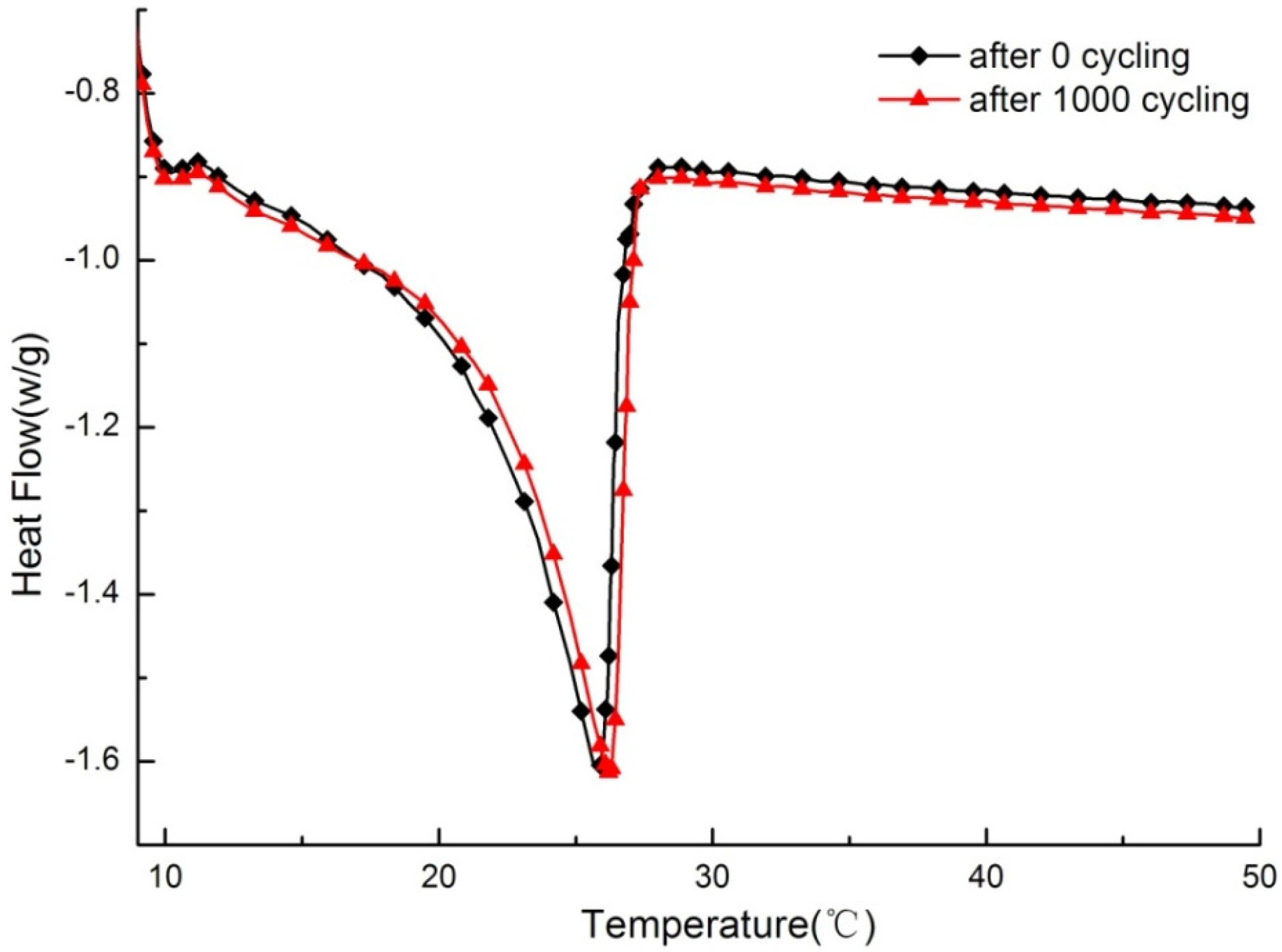
3.4. Durability Analysis

| Cycle Number | Onset Point of Phase Change (°C) | Peak Point of Phase Change (°C) | End Point of Phase Change (°C) | Latent Heat (J/g) |
|---|---|---|---|---|
| 0 | 21.6 | 26.0 | 27.8 | 56.3 |
| 1000 | 22.1 | 26.2 | 27.5 | 55.8 |

3.5. Dynamic Thermal Performance Analysis

4. Conclusions
- The best proportions of paraffin and EP in PCMP were ascertained to be 52.5 wt % and 47.5 wt %, respectively, and no liquid paraffin oozed from PCMP in leakage tests, after applying a coating film on PCMP.
- The phase change temperature and latent heat of PCMP were measured to be 21.6 °C and 56.3 J/g, respectively, through DSC.
- There was no significant degradation of thermal properties for PCMP sample after repeating melting and freezing cycles 1000 times.
- A high-quality thermal performance, including small temperature fluctuation, large temperature lagging, and high thermal storage capacity for BESP, was confirmed in a dynamic temperature input test.
Acknowledgments
Author Contributions
Conflicts of Interest
References
- He, J.; Hoyano, A.; Asawa, T. A numerical simulation tool for predicting the impact of outdoor thermal environment on building energy performance. Appl. Energy 2009, 86, 1596–1605. [Google Scholar] [CrossRef]
- Isaac, M.; van-Vuuren, D.P. Modeling global residential sector energy demand for heating and air conditioning in the context of climate change. Energy Policy 2009, 37, 507–521. [Google Scholar] [CrossRef]
- Ding, Y.; Fu, Q.; Tian, Z.; Li, M.; Zhu, N. Influence of indoor design air parameters on energy consumption of heating and air conditioning. Energy Build. 2013, 56, 78–84. [Google Scholar] [CrossRef]
- Pérez-Lombard, L.; Ortiz, J.; Pout, C. A review on buildings energy consumption information. Energy Build. 2008, 40, 394–398. [Google Scholar] [CrossRef]
- Estiri, H. Building and household X-factors and energy consumption at the residential sector. Energy Economics 2014, 43, 178–184. [Google Scholar] [CrossRef]
- Sharma, A.; Tyagi, V.V.; Chen, C.R.; Buddhi, D. Review on thermal energy storage with phase change materials and applications. Renew. Sustain. Energy Rev. 2009, 13, 318–345. [Google Scholar] [CrossRef]
- Li, B.; Zhuang, C.; Deng, A.; Li, S. Improvement of Indoor Thermal Environment in Light Weight Building Combining Phase Change Material Wall and Night Ventilation. J. Civil Archit. Environ. Eng. 2009, 31, 109–113. [Google Scholar]
- Zhou, D.; Zhao, C.Y.; Tian, Y. Review on thermal energy storage with phase change materials (PCMs) in building applications. Appl. Energy 2012, 92, 593–605. [Google Scholar] [CrossRef]
- Kuznik, F.; David, D.; Johannes, K.; Roux, J.J. A review on phase change materials integrated in building walls. Renew. Sustain. Energy Rev. 2011, 15, 379–391. [Google Scholar] [CrossRef]
- Lv, S.; Zhu, N.; Feng, G. Impact of phase change wall room on indoor thermal environment in winter. Energy Build. 2006, 38, 18–24. [Google Scholar]
- Lv, S.; Zhu, N.; Feng, G. Eutectic mixtures of capric acid and lauric acid applied in building wallboards for heat energy storage. Energy Build. 2006, 38, 708–711. [Google Scholar]
- Lv, S.; Feng, G.; Neng, Z.; Li, D. Experimental study and evaluation of latent heat storage in phase change materials wallboards. Energy Build. 2007, 39, 1088–1091. [Google Scholar]
- Feldman, D.; Banu, D.; Hawes, D.; Ghanbari, E. Obtaining an energy storing building material by direct incorporation of an organic phase change material in gypsum wallboard. Solar Energy Mater. 1991, 22, 231–242. [Google Scholar] [CrossRef]
- Ramakrishnan, S.; Sanjayan, J.; Wang, X.; Alam, M.; Wilson, J. A novel paraffin/expanded perlite composite phase change material for prevention of PCM leakage in cementitious composites. Appl. Energy 2015, 157, 85–94. [Google Scholar] [CrossRef]
- Konuklu, Y.; Ostry, M.; Paksoy, H.O.; Charvat, P. Review on Using Microencapsulated Phase Change Materials (PCM) in Building Applications. Energy Build. 2015, 106, 134–155. [Google Scholar] [CrossRef]
- Eddhahak-Ouni, A.; Drissi, S.; Colin, J.; Neji, J.; Care, S. Experimental and multi-scale analysis of the thermal properties of Portland cement concretes embedded with microencapsulated Phase Change Materials (PCMs). Appl. Therm. Eng. 2014, 64, 32–39. [Google Scholar]
- Franquet, E.; Gibout, S.; Tittelein, P.; Zalewski, L.; Dumas, J.-P. Experimental and theoretical analysis of a cement mortar containing microencapsulated PCM. Appl. Therm. Eng. 2014, 73, 32–40. [Google Scholar] [CrossRef]
- Toppi, T.; Mazzarella, L. Gypsum based composite materials with micro-encapsulated PCM: Experimental correlations for thermal properties estimation on the basis of the composition. Energy Build. 2013, 57, 227–236. [Google Scholar] [CrossRef]
- Cabeza, L.F.; Castellón, C.; Nogués, M.; Medrano, M.; Leppers, R.; Zubillaga, O. Use of microencapsulated PCM in concrete walls for energy savings. Energy Build. 2007, 39, 113–119. [Google Scholar] [CrossRef]
- Hunger, M.; Entrop, A.G.; Mandilaras, I.; Brouwers, H.J.H.; Founti, M. The behavior of self-compacting concrete containing micro-encapsulated Phase Change Materials. Cem. Concr. Compos. 2009, 31, 731–743. [Google Scholar] [CrossRef]
- Kenisarin, M.M.; Kenisarina, K.M. Form-stable phase change materials for thermal energy storage. Renew. Sustain. Energy Rev. 2012, 16, 1999–2040. [Google Scholar] [CrossRef]
- Yuan, Y.; Zhang, N.; Tao, W.; Cao, X.; He, Y. Fatty acids as phase change materials: A review. Renew. Sustain. Energy Rev. 2014, 29, 482–498. [Google Scholar] [CrossRef]
- Xu, B.; Li, Z. Paraffin/diatomite composite phase change material incorporated cement-based composite for thermal energy storage. Appl. Energy 2013, 105, 229–237. [Google Scholar] [CrossRef]
- Memon, S.A. Phase change materials integrated in building walls: A state of the art review. Renew. Sustain. Energy Rev. 2014, 31, 870–906. [Google Scholar] [CrossRef]
- Karaipekli, A.; Sari, A. Capric acid and palmitic acid eutectic mixture applied in building wallboard for latent heat thermal energy storage. J. Sci. Ind. Res. 2007, 66, 470–476. [Google Scholar]
- Sari, A.; Karaipekli, A.; Kaygusuz, K. Capric acid and stearic acid mixture impregnated with gypsum wallboard for low-temperature latent heat thermal energy storage. Int. J. Energy Res. 2008, 32, 154–160. [Google Scholar] [CrossRef]
- Karaipekli, A.; Sari, A. Preparation, thermal properties and thermal reliability of eutectic mixtures of fatty acids/expanded vermiculite as novel form-stable composites for energy storage. J. Ind. Eng. Chem. 2010, 16, 767–773. [Google Scholar] [CrossRef]
- Biçer, A.; Sari, A. New kinds of energy-storing building composite PCMs for thermal energy storage. Energy Convers. Manag. 2013, 69, 148–156. [Google Scholar] [CrossRef]
- Jeong, S.G.; Jeon, J.; Lee, J.H.; Kim, S. Optimal preparation of PCM/diatomite composites for enhancing thermal properties. Int. J. Heat Mass Transf. 2013, 62, 711–717. [Google Scholar] [CrossRef]
- Fan, L.; Khodadadi, J.M. Thermal conductivity enhancement of phase change materials for thermal energy storage: A review. Renew. Sustain. Energy Rev. 2011, 15, 24–46. [Google Scholar] [CrossRef]
- Shi, J.; Chen, Z.; Shao, S.; Zheng, J. Experimental and numerical study on effective thermal conductivity of novel form-stable basalt fiber composite concrete with PCMs for thermal storage. Appl. Therm. Eng. 2014, 66, 156–161. [Google Scholar] [CrossRef]
- Li, X.; Sanjayan, J.G.; Wilson, J.L. Fabrication and stability of form-stable diatomite/paraffin phase change material composites. Energy Build. 2014, 76, 284–294. [Google Scholar] [CrossRef]
- Li, H.; Chen, H.; Li, X.; Sanjayan, J.G. Development of thermal energy storage composites and prevention of PCM leakage. Appl. Energy 2014, 135, 225–233. [Google Scholar] [CrossRef]
- Sun, J.Z.; Wu, Z.Z. Study on evaluation method of exudation of phase transition working substance for building materials. New Build. Mater. 2004, 7, 43–46. [Google Scholar]
- Kheradmand, M.; Castro-Gomes, J.; Azenha, M.; Silva, P.D.; de-Aguiar, J.L.B.; Zoorob, S.E. Assessing the feasibility of impregnating phase change materials in lightweight aggregate for development of thermal energy storage systems. Constr. Build. Mater. 2015, 89, 48–59. [Google Scholar] [CrossRef]
- Humphreys, M.A.; Nicol, J.F.; Raja, I.A. Field Studies of Indoor Thermal Comfort and the Progress of the Adaptive Approach. Adv. Build. Energy Res. 2007, 1, 55–88. [Google Scholar] [CrossRef]
- Stritih, U.; Butala, V. Energy saving in building with PCM cold storage. Int. J. Energy Res. 2007, 31, 1532–1544. [Google Scholar] [CrossRef]
- Ding, X.; Zhang, L.; Lu, Z.; Shen, J. Preparation and Performance Study of the Expanded Perlite Insulation Materials. J. Shenyang Jianzhu Univ. 2014, 30, 120–125. [Google Scholar]
- Zhang, J.; Xue, Y. Hydrophobic Expanded Perlite Used in External Insulation of the Building Engineering. Appl. Mech. Mater. 2014, 584–586, 1835–1838. [Google Scholar] [CrossRef]
- Ma, B.; Adhikari, S.; Chang, Y.; Ren, J.; Liu, J.; You, Z. Preparation of composite shape-stabilized phase change materials for highway pavements. Constr. Build. Mater. 2013, 42, 114–121. [Google Scholar] [CrossRef]
- Darkwa, J.; Zhou, T. Enhanced laminated composite phase change material for energy storage. Energy Convers. Manag. 2011, 52, 810–815. [Google Scholar] [CrossRef]
- China Meteorological center. Available online: http://www.weather.com.cn/weather1d/101030100.shtml (accessed on 18 January 2016).
- Hawes, D.W.; Feldman, D.; Banu, D. Latent heat storage in building materials. Energy Build. 1993, 20, 77–86. [Google Scholar] [CrossRef]
- Wen, Z.; Chen, B. Performance analysis and application of adiabatic insulation product made from expanded perlite. J. Zhongyuan Inst. Technol. 2005, 16, 51–53. [Google Scholar]
© 2016 by the authors; licensee MDPI, Basel, Switzerland. This article is an open access article distributed under the terms and conditions of the Creative Commons by Attribution (CC-BY) license (http://creativecommons.org/licenses/by/4.0/).
Share and Cite
Kong, X.; Zhong, Y.; Rong, X.; Min, C.; Qi, C. Building Energy Storage Panel Based on Paraffin/Expanded Perlite: Preparation and Thermal Performance Study. Materials 2016, 9, 70. https://doi.org/10.3390/ma9020070
Kong X, Zhong Y, Rong X, Min C, Qi C. Building Energy Storage Panel Based on Paraffin/Expanded Perlite: Preparation and Thermal Performance Study. Materials. 2016; 9(2):70. https://doi.org/10.3390/ma9020070
Chicago/Turabian StyleKong, Xiangfei, Yuliang Zhong, Xian Rong, Chunhua Min, and Chengying Qi. 2016. "Building Energy Storage Panel Based on Paraffin/Expanded Perlite: Preparation and Thermal Performance Study" Materials 9, no. 2: 70. https://doi.org/10.3390/ma9020070
APA StyleKong, X., Zhong, Y., Rong, X., Min, C., & Qi, C. (2016). Building Energy Storage Panel Based on Paraffin/Expanded Perlite: Preparation and Thermal Performance Study. Materials, 9(2), 70. https://doi.org/10.3390/ma9020070

