Materials 2015, 8(7), 3883-3895; doi:10.3390/ma8073883
Corrosion Inhibition of Cast Iron in Arabian Gulf Seawater by Two Different Ionic Liquids
1
Deanship of Scientific Research (DSR), Center of Excellence for Research in Engineering Materials (CEREM), Advanced Manufacturing Institute (AMI), King Saud University, P.O. Box 800, Al-Riyadh 11421, Saudi Arabia
2
Electrochemistry and Corrosion Laboratory, Physical Chemistry Department, National Research Centre, El Bohouth St. 33, Dokki, Giza 12622, Egypt
3
Mechanical Design and Materials Department, Faculty of Energy Engineering, Aswan University, Aswan 81521, Egypt
4
Institute of Electrochemistry, Clausthal University of Technology, Arnold-Sommerfeld-Str. 6, Clausthal-Zellerfeld D-38678, Germany
*
Authors to whom correspondence should be addressed.
Academic Editor: Peter J. Uggowitzer
Received: 13 May 2015 / Revised: 8 June 2015 / Accepted: 12 June 2015 / Published: 26 June 2015
Abstract
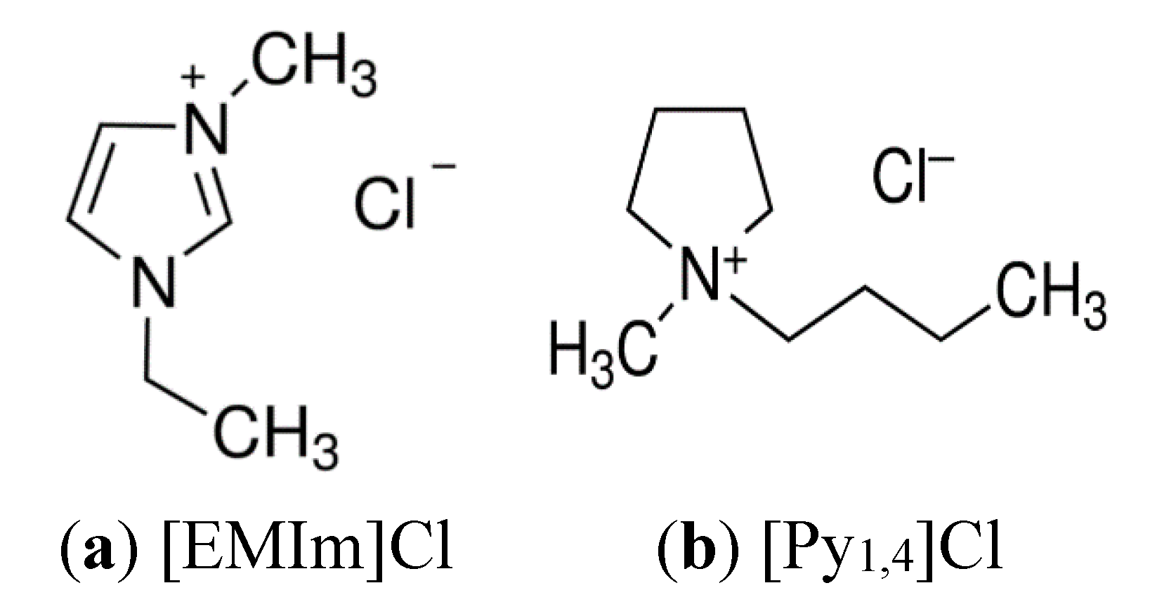
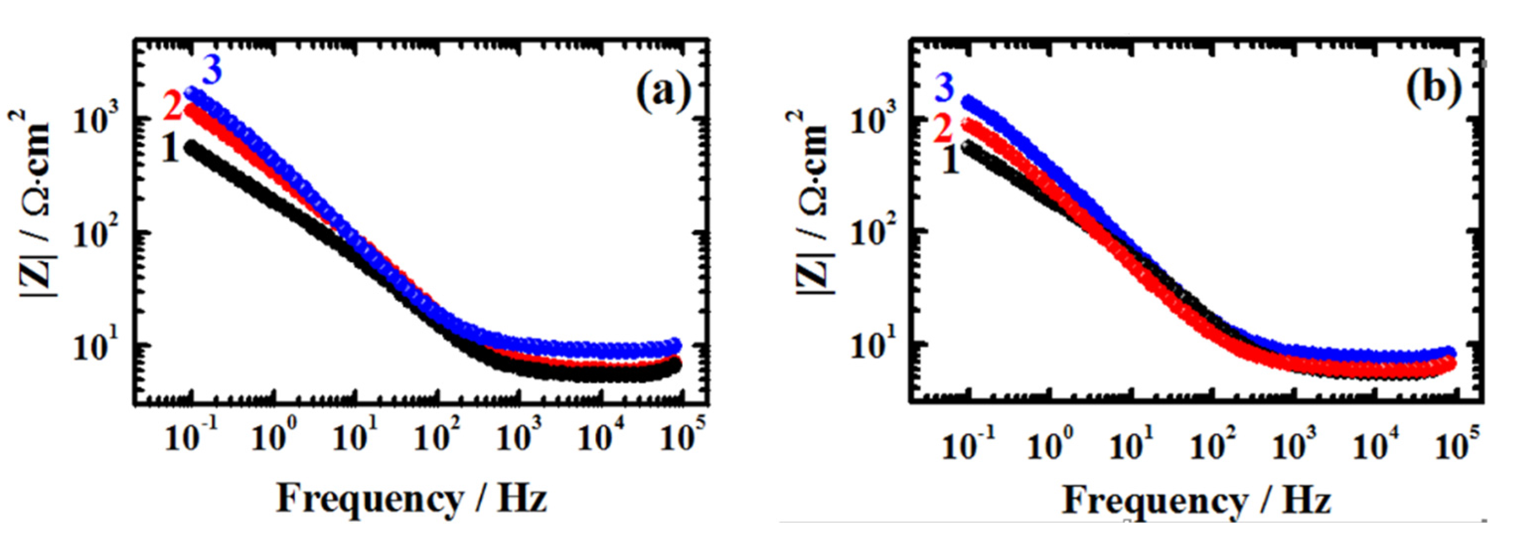
In this paper we report on the corrosion inhibition of cast iron in Arabian Gulf seawater by two different ionic liquids namely, 1-ethyl-3-methylimidazolium chloride ([EMIm]Cl) and 1-butyl-1-methylpyrrolidinium chloride ([Py1,4]Cl). The inhibiting influence of the employed ionic liquids was investigated by weight loss, open circuit potential electrochemical impedance spectroscopy, and cyclic potentiodynamic polarization. The results show the corrosion inhibition impact of the employed ionic liquids (ILs). Compared with [Py1,4]Cl, [EMIm]Cl shows a higher inhibition efficiency at a short immersion time, for the examined ILs concentrations. However, [Py1,4]Cl exhibits a higher efficiency upon increasing the immersion time indicating the persistence of the inhibiting influence. The corrosion inhibition of the employed ionic liquids is attributed to the adsorption of the cations of the ionic liquids onto the surface of cast iron forming a corrosion barrier. View Full-TextKeywords:
corrosion; inhibitors; ionic liquids; cast iron; seawater; weight-loss
▼
Figures
This is an open access article distributed under the Creative Commons Attribution License which permits unrestricted use, distribution, and reproduction in any medium, provided the original work is properly cited. (CC BY 4.0).
Scifeed alert for new publications
Never miss any articles matching your research from any publisher- Get alerts for new papers matching your research
- Find out the new papers from selected authors
- Updated daily for 49'000+ journals and 6000+ publishers
- Define your Scifeed now
Related Articles
Article Metrics
Comments
[Return to top]
Materials
EISSN 1996-1944
Published by MDPI AG, Basel, Switzerland
RSS
E-Mail Table of Contents Alert

