Magnetic Anisotropy and Field‐induced Slow Relaxation of Magnetization in Tetracoordinate CoII Compound [Co(CH3‐im)2Cl2]
Abstract
:1. Introduction
2. Results
2.1. Crystal Structure
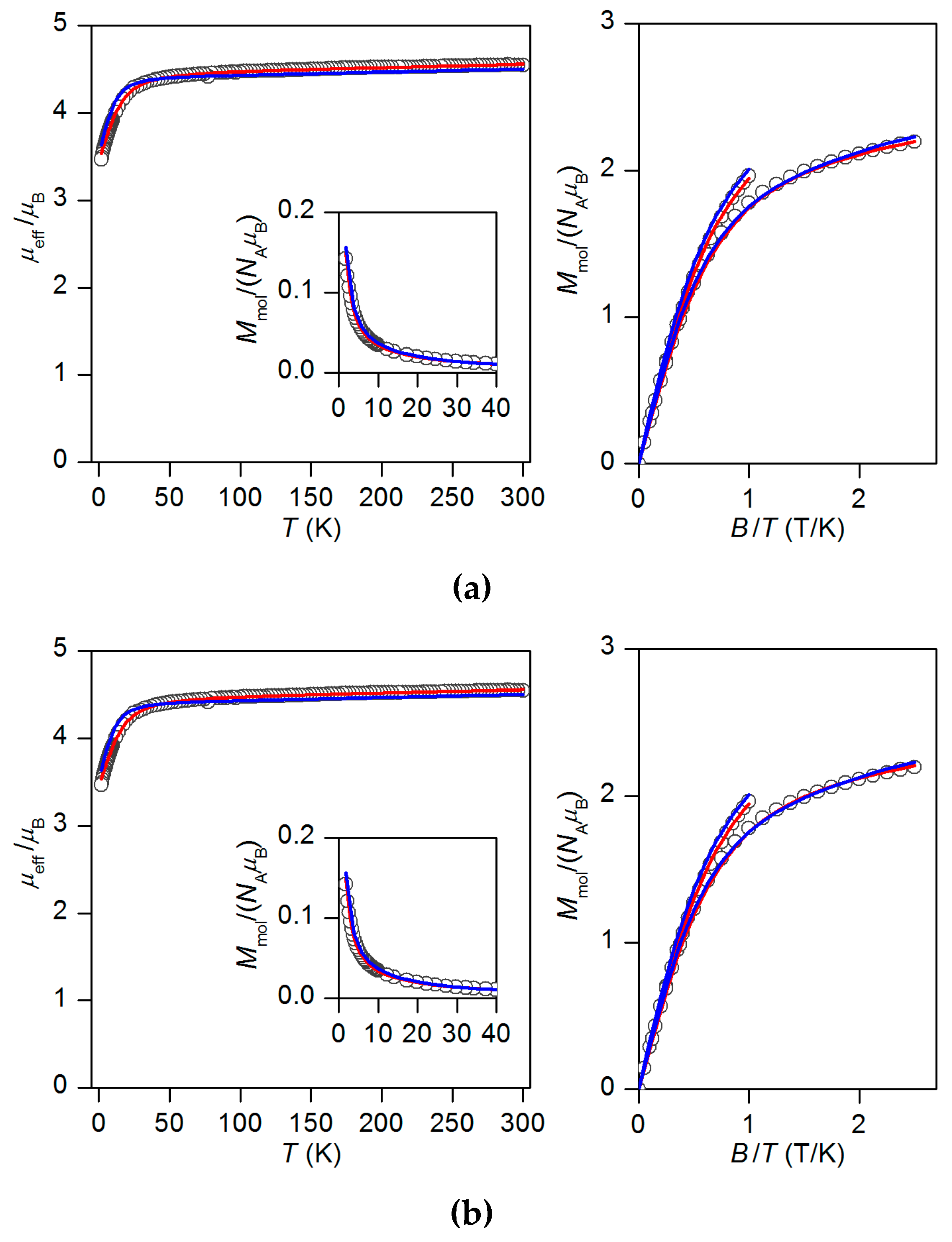
2.2. Static Magnetic Properties
2.3. HFEPR
2.4. CASSCF Calculations
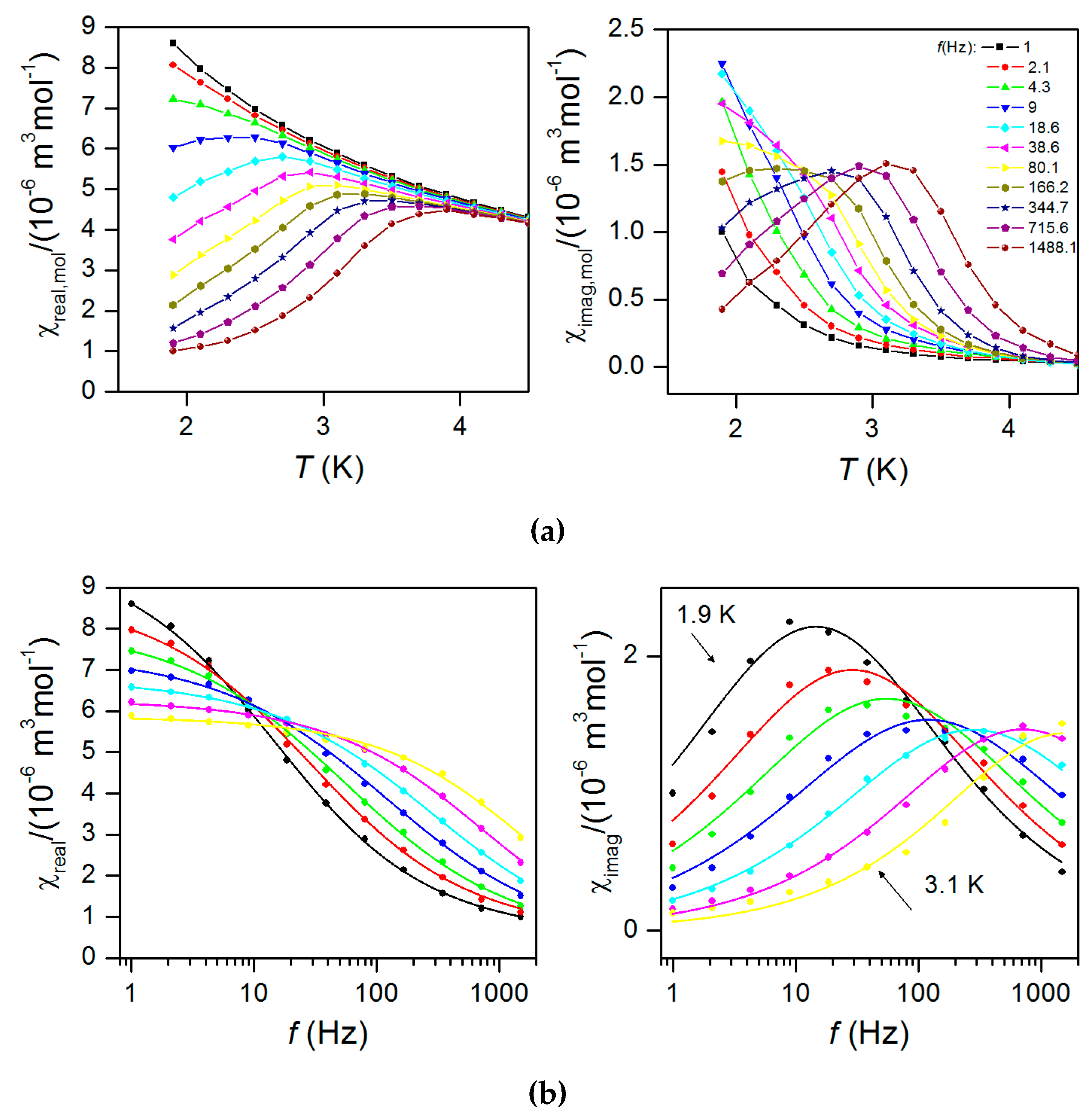
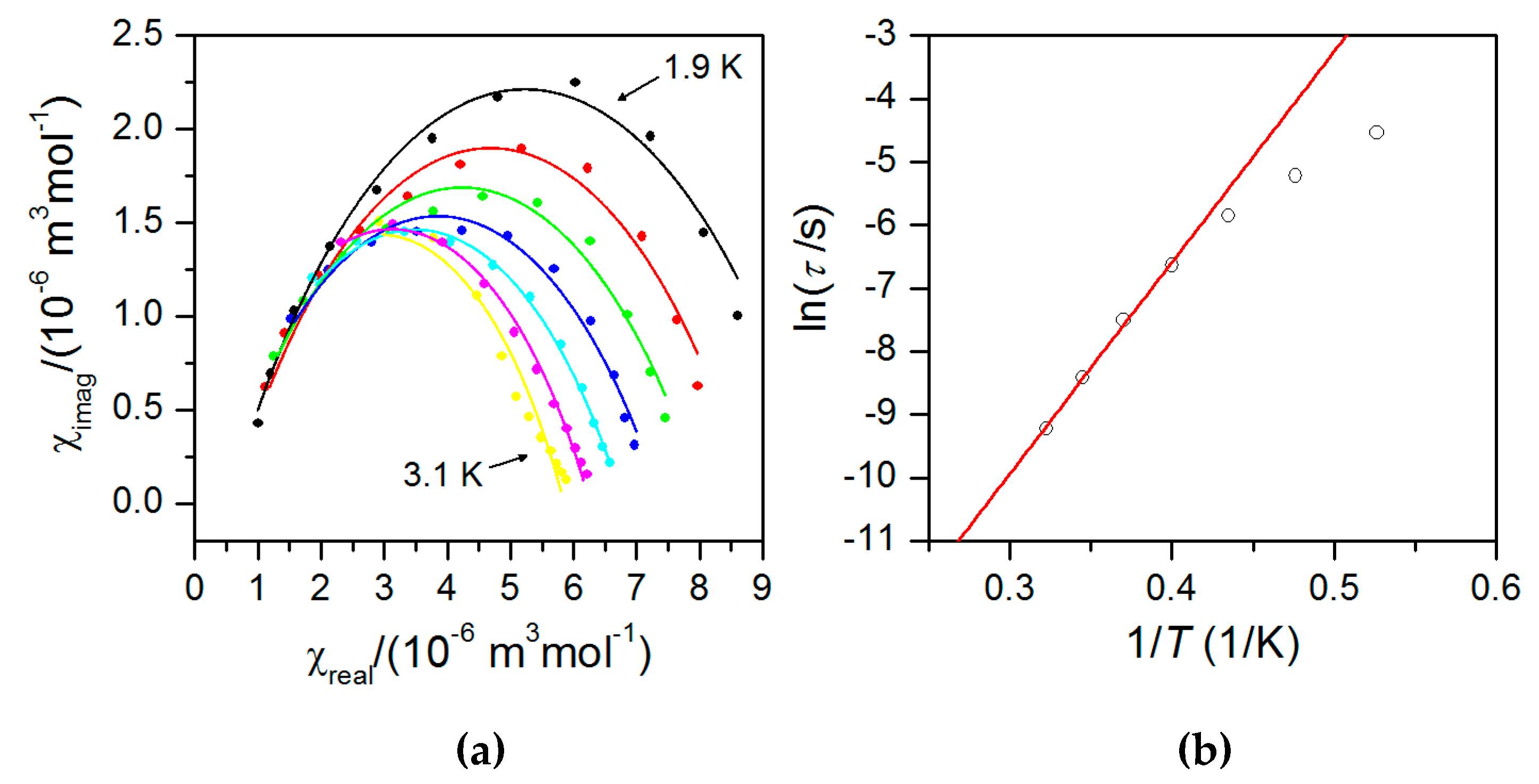
2.5. Dynamic Magnetic Properties
3. Discussion
4. Materials and Methods
4.1. Materials
Preparation of [Co(CH3-im)2Cl2]
4.2. Methods
4.2.1. General Methods
4.2.2. Theoretical Methods
Supplementary Materials
Acknowledgments
Author Contributions
Conflicts of Interest
References
- Ganzhorn, M.; Wernsdorfer, W. Molecular Magnets; Bartolome, J., Luis, F., Fernandez, J.F., Eds.; Springer: Berlin Heidelberg, Germany, 2014; pp. 319–364. [Google Scholar]
- Gómez-Coca, S.; Aravena, D.; Morales, R.; Ruiz, E. Large magnetic anisotropy in mononuclear metal complexes. Coord. Chem Rev. 2015, 289–290, 379–392. [Google Scholar] [CrossRef]
- Boča, R. Zero-field splitting in metal complexes. Coord. Chem Rev. 2004, 248, 757–815. [Google Scholar] [CrossRef]
- Atanasov, M.; Aravena, D.; Suturina, E.; Bill, E.; Maganas, D.; Neese, F. First principles approach to the electronic structure, magnetic anisotropy and spin relaxation in mononuclear 3d-transition metal single molecule magnets. Coord. Chem Rev. 2015, 289–290, 177–214. [Google Scholar] [CrossRef]
- Waldmann, O. A criterion for the anisotropy barrier in single-molecule magnets. Inorg. Chem. 2007, 46, 10035–10037. [Google Scholar] [CrossRef] [PubMed]
- Neese, F.; Pantazis, D.A. What is not required to make a single molecule magnet. Farad. Discuss. 2011, 148, 229–238; discussion 299–314. [Google Scholar] [CrossRef]
- Herchel, R.; Nemec, I.; Machata, M.; Trávníček, Z. Solvent-induced structural diversity in tetranuclear Ni(II) schiff-base complexes: The first Ni4 single-molecule magnet with a defective dicubane-like topology. Dalton Trans. 2016, 45, 18622–18634. [Google Scholar] [CrossRef] [PubMed]
- Jiang, S.-D.; Maganas, D.; Levesanos, N.; Ferentinos, E.; Haas, S.; Thirunavukkuarasu, K.; Krzystek, J.; Dressel, M.; Bogani, L.; Neese, F.; et al. Direct observation of very large zero-field splitting in a tetrahedral niiise4 coordination complex. J. Am. Chem. Soc. 2015, 137, 12923–12928. [Google Scholar] [CrossRef] [PubMed]
- Titiš, J.; Miklovič, J.; Boča, R. Magnetostructural study of tetracoordinate cobalt(II) complexes. Inorg. Chem. Comm. 2013, 35, 72–75. [Google Scholar] [CrossRef]
- Nemec, I.; Herchel, R.; Svoboda, I.; Boca, R.; Trávníček, Z. Large and negative magnetic anisotropy in pentacoordinate mononuclear Ni(II) Schiff base complexes. Dalton Trans. 2015, 44, 9551–9560. [Google Scholar] [CrossRef] [PubMed]
- Nemec, I.; Liu, H.; Herchel, R.; Zhang, X.; Trávníček, Z. Magnetic anisotropy in pentacoordinate 2,6-bis(arylazanylidene-1-chloromethyl)pyridine cobalt(II) complexes with chlorido co-ligands. Synth. Met. 2016, 215, 158–163. [Google Scholar] [CrossRef]
- Titiš, J.; Boča, R. Magnetostructural d correlation in nickel(II) complexes: Reinvestigation of the zero-field splitting. Inorg. Chem. 2010, 49, 3971–3973. [Google Scholar] [CrossRef] [PubMed]
- Titiš, J.; Boča, R. Magnetostructural d correlations in hexacoordinated cobalt(II) complexes. Inorg. Chem. 2011, 50, 11838–11845. [Google Scholar] [CrossRef] [PubMed]
- Werncke, C.G.; Bouammali, M.-A.; Baumard, J.; Suaud, N.; Martins, C.; Guihéry, N.; Vendier, L.; Zheng, J.; Sortais, J.-B.; Darcel, C.; et al. Ising-type magnetic anisotropy and slow relaxation of the magnetization in four-coordinate amido-pyridine Fe(II) complexes. Inorg. Chem. 2016, 55, 10968–10977. [Google Scholar] [CrossRef] [PubMed]
- Nemec, I.; Herchel, R.; Trávníček, Z. Pentacoordinate and hexacoordinate Mn(III) complexes of tetradentate schiff-base ligands containing tetracyanidoplatinate(II) bridges and revealing uniaxial magnetic anisotropy. Molecules 2016, 21, 1681. [Google Scholar] [CrossRef] [PubMed]
- Maurice, R.; de Graaf, C.; Guihéry, N. Magnetostructural relations from a combined ab initio and ligand field analysis for the nonintuitive zero-field splitting in Mn(III) complexes. J. Chem. Phys. 2010, 133, 084307. [Google Scholar] [CrossRef] [PubMed]
- Nemec, I.; Herchel, R.; Trávníček, Z. Suppressing of slow magnetic relaxation in tetracoordinate Co(II) field-induced single-molecule magnet in hybrid material with ferromagnetic barium ferrite. Sci. Rep. 2015, 5, 10761. [Google Scholar] [CrossRef] [PubMed]
- Zadrozny, J.M.; Telser, J.; Long, J.R. Slow magnetic relaxation in the tetrahedral cobalt(II) complexes [Co(EPh)4]2− (E=O, S, Se). Polyhedron 2013, 64, 209–217. [Google Scholar] [CrossRef]
- Rechkemmer, Y.; Breitgoff, F.D.; van der Meer, M.; Atanasov, M.; Hakl, M.; Orlita, M.; Neugebauer, P.; Neese, F.; Sarkar, B.; van Slageren, J. A four-coordinate cobalt(II) single-ion magnet with coercivity and a very high energy barrier. Nat. Commun. 2016, 7, 10467. [Google Scholar] [CrossRef] [PubMed]
- Fataftah, M.S.; Zadrozny, J.M.; Rogers, D.M.; Freedman, D.E. A mononuclear transition metal single-molecule magnet in a nuclear spin-free ligand environment. Inorg. Chem. 2014, 53, 10716–10721. [Google Scholar] [CrossRef] [PubMed]
- Sottini, S.; Poneti, G.; Ciattini, S.; Levesanos, N.; Ferentinos, E.; Krzystek, J.; Sorace, L.; Kyritsis, P. Magnetic anisotropy of tetrahedral coii single-ion magnets: Solid-state effects. Inorg. Chem. 2016, 55, 9537–9548. [Google Scholar] [CrossRef] [PubMed]
- Allen, F.H. The Cambridge Structural Database: A quarter of a million crystal structures and rising. Acta Cryst. 2002, B58, 380–388. [Google Scholar] [CrossRef]
- Smolko, L.; Černák, J.; Dušek, M.; Miklovič, J.; Titiš, J.; Boča, R. Three tetracoordinate co(ii) complexes [Co(biq)X2] (X = Cl, Br, I) with easy-plane magnetic anisotropy as field-induced single-molecule magnets. Dalton Trans. 2015, 44, 17565–17571. [Google Scholar] [CrossRef] [PubMed]
- Mondal, A.K.; Parmar, V.S.; Biswas, S.; Konar, S. Tetrahedral mii based binuclear double-stranded helicates: Single-ion-magnet and fluorescence behaviour. Dalton Trans. 2016, 45, 4548–4557. [Google Scholar] [CrossRef] [PubMed]
- Ziegenbalg, S.; Hornig, D.; Görls, H.; Plass, W. Cobalt(ii)-based single-ion magnets with distorted pseudotetrahedral [n2o2] coordination: Experimental and theoretical investigations. Inorg. Chem. 2016, 55, 4047–4058. [Google Scholar] [CrossRef] [PubMed]
- Mukerjee, S.; Skogerson, K.; DeGala, S.; Caradonna, J.P. Skirting the oxo-wall: Characterization and catalytic reactivity of binuclear Co2+/3+ 1,2-bis(2-hydroxybenzamido)benzene complexes with comparison to their isostructural Fe2+/3+ analogs. Implications of d-electron count on oxygen atom transfer catalysis. Inorg. Chim. Acta 2000, 297, 313–329. [Google Scholar] [CrossRef]
- Boča, R. Theoretical Foundations of Molecular Magnetism; Elsevier: Amsterdam, The Netherlands, 1999. [Google Scholar]
- Neese, F. The ORCA program system. Wiley Interdiscip. Rev.-Comput. Mol. Sci. 2012, 2, 73–78. [Google Scholar] [CrossRef]
- Antal, P.; Drahoš, B.; Herchel, R.; Trávníček, Z. Late first-row transition-metal complexes containing a 2-pyridylmethyl pendant-armed 15-membered macrocyclic ligand. Field-induced slow magnetic relaxation in a seven-coordinate cobalt(II) compound. Inorg. Chem. 2016, 55, 5957–5972. [Google Scholar] [CrossRef] [PubMed]
- Yang, F.; Zhou, Q.; Zhang, Y.; Zeng, G.; Li, G.; Shi, Z.; Wang, B.; Feng, S. Inspiration from old molecules: Field-induced slow magnetic relaxation in three air-stable tetrahedral cobalt(II) compounds. Chem. Commun. 2013, 49, 5289–5291. [Google Scholar] [CrossRef] [PubMed]
- Boča, R.; Miklovič, J.; Titiš, J. Simple mononuclear cobalt(II) complex: A single-molecule magnet showing two slow relaxation processes. Inorg. Chem. 2014, 53, 2367–2369. [Google Scholar] [CrossRef] [PubMed]
- Saber, M.R.; Dunbar, K.R. Ligands effects on the magnetic anisotropy of tetrahedral cobalt complexes. Chem. Commun. 2014, 50, 12266–12269. [Google Scholar] [CrossRef] [PubMed]
- Idešicová, M.; Titiš, J.; Krzystek, J.; Boča, R. Zero-field splitting in pseudotetrahedral Co(II) complexes: A magnetic, high-frequency and -field epr, and computational study. Inorg. Chem. 2013, 52, 9409–9417. [Google Scholar] [CrossRef] [PubMed]
- Rajnák, C.; Packová, A.; Titiš, J.; Miklovič, J.; Moncol’, J.; Boča, R. A tetracoordinate Co(II) single molecule magnet based on triphenylphosphine and isothiocyanato group. Polyhedron 2016, 110, 85–92. [Google Scholar] [CrossRef]
- Huang, W.; Liu, T.; Wu, D.; Cheng, J.; Ouyang, Z.W.; Duan, C. Field-induced slow relaxation of magnetization in a tetrahedral Co(II) complex with easy plane anisotropy. Dalton Trans. 2013, 42, 15326–15331. [Google Scholar] [CrossRef] [PubMed]
- Smolko, L.; Cernak, J.; Dusek, M.; Titiš, J.; Boča, R. Tetracoordinate Co(II) complexes containing bathocuproine and single molecule magnetism. New J. Chem. 2016, 40, 6593–6598. [Google Scholar] [CrossRef]
- Maganas, D.; Milikisyants, S.; Rijnbeek, J.M.A.; Sottini, S.; Levesanos, N.; Kyritsis, P.; Groenen, E.J.J. A multifrequency high-field electron paramagnetic resonance study of coiis4 coordination. Inorg. Chem. 2010, 49, 595–605. [Google Scholar] [CrossRef] [PubMed]
- Stoll, S.; Schweiger, A. EasySpin, a comprehensive software package for spectral simulations and analysis in EPR. J. Magn. Reson. 2006, 178, 42–55. [Google Scholar] [CrossRef] [PubMed]
- Pantazis, D.A.; Chen, X.-Y.; Landis, C.R.; Neese, F. All-Electron Scalar Relativistic Basis Sets for Third-Row Transition Metal Atoms. J. Chem. Theory Comput. 2008, 4, 908–919. [Google Scholar] [CrossRef] [PubMed]
- van Lenthe, E.; Baerends, E.J.; Snijders, J.G. Relativistic regular two-component Hamiltonians. J. Chem. Phys. 1993, 99, 4597–4610. [Google Scholar] [CrossRef]
- Van Wüllen, C. Molecular density functional calculations in the regular relativistic approximation: Method, application to coinage metal diatomics, hydrides, fluorides and chlorides, and comparison with first-order relativistic calculations. J. Chem. Phys. 1998, 109, 392–399. [Google Scholar] [CrossRef]
- Malmqvist, P.-Å.; Roos, B.O. The CASSCF state interaction method. Chem. Phys. Lett. 1989, 155, 189–194. [Google Scholar] [CrossRef]
- Angeli, C.; Cimiraglia, R.; Evangelisti, S.; Leininger, T.; Malrieu, J.P. Introduction of n-electron valence states for multireference perturbation theory. J. Chem. Phys. 2001, 114, 10252–10264. [Google Scholar] [CrossRef]
- Ganyushin, D.; Neese, F. First-principles calculations of zero-field splitting parameters. J. Chem. Phys. 2006, 125, 024103. [Google Scholar] [CrossRef] [PubMed]
- Neese, F. Efficient and accurate approximations to the molecular spin-orbit coupling operator and their use in molecular g-tensor calculations. J. Chem. Phys. 2005, 122, 034107. [Google Scholar] [CrossRef] [PubMed]
- Maurice, R.; Bastardis, R.; de Graaf, C.; Suaud, N.; Mallah, T.; Guihéry, N. Universal Theoretical Approach to Extract Anisotropic Spin Hamiltonians. J. Chem. Theory Comput. 2009, 5, 2977–2984. [Google Scholar] [CrossRef] [PubMed]
- Perdew, J.P.; Burke, K.; Ernzerhof, M. Generalized gradient approximation made simple. Phys. Rev. Lett. 1996, 77, 3865–3868. [Google Scholar] [CrossRef] [PubMed]
- Grimme, S.; Antony, J.; Ehrlich, S.; Krieg, H. A consistent and accurate ab initio parametrization of density functional dispersion correction (dft-d) for the 94 elements h-pu. J. Chem. Phys. 2010, 132, 154104. [Google Scholar] [CrossRef] [PubMed]









| Compound a | D | E/D | BDC/T b | Ueff/K | τ0 | α (°) | β (°) | δ (°) | Ref. |
|---|---|---|---|---|---|---|---|---|---|
| 1 | −13.5 | 0.33 | 0.2 | 33.5 | 2.1 × 10−9 | 110.6 | 117.9 | −9.5 | This work |
| {CoN2Cl2} | −14.5 c | 0.16 c | |||||||
| [Co(qu)2(NCS)2] {CoN’2N’’2} | +6.2 | 0 | - | - | - | 104.5 | 108.3 | +6.2 | [9] |
| [Co(qu)2Cl2] {CoN2Cl2} | −5.2 | 0 | - | - | - | 107.2 | 113.4 | −1.6 | [9] |
| [Co(qu)2I2] {CoN2I2} | +9.2 | 0 | - | - | - | 101.8 | 109.7 | +7.5 | [9] |
| [Co(pic)2Cl2] {CoN2Cl2} | −5.3 | 0 | - | - | - | 107.4 | 121.4 | −9.8 | [9] |
| [Co(PPh3)2Cl2] {CoP2Cl2} | −11.8 | 0 | 0.1 | 37.1 | 1.2 × 10−9 | 115.9 | 117.1 | −14.0 | [30] |
| −14.8 c | |||||||||
| [Co(PPh3)2Br2] {CoP2Br2} | −13.0 | 0 | 0.1 | 37.3 | 9.4 × 10−11 | 117.4 | 115.2 | −13.6 | [31] |
| [Co(PPh3)2I2] {CoP2I2} | −36.9 | 0 | 0.1 | 30.6 | 4.7 × 10−10 | 108.3 | 111.4 | −0.7 | [32] |
| [Co(menim)2Cl2] {CoN2Cl2} | +11.4 | 0.01 | - | - | - | 102.4 | 111.0 | +5.6 | [33] |
| +11.4 c | 0.21 c | ||||||||
| [Co(ampyr)2Cl2] {CoN2Cl2} | −10.0 | 0.24 | - | - | - | 114.5 | 110.4 | −5.9 | [33] |
| −8.0 c | 0.28 c | ||||||||
| [Co(bzi)2Cl2] {CoN2Cl2} | +2.2 | 0.22 | - | - | - | 106.2 | 112.0 | +0.8 | [33] |
| ±3.3 c | 0.28 c | ||||||||
| [Co(cyt)2Cl2] {CoN2Cl2} | −5.2 | 0.10 | - | - | - | 110.4 | 103.4 | +5.2 | [33] |
| −4.3 c | 0.05 c | ||||||||
| [Co(im)2Cl2] {CoN2Cl2} | +5.7 | 0.05 | - | - | - | 105.3 | 111.2 | +2.5 | [33] |
| +9.2 c | 0.10 c | ||||||||
| [Co(PPh3)2(NCS)2] {CoN2P2} | −9.4 | 0 | 0.2 | - | - | 113.4 | 114.3 | −8.7 | [34] |
| [Co(bzi)2(NCS)2] {CoN’2N’’2} | −10.1 | 0 | 0.2 | 21.4 | 1.2 × 10−8 | 115.7 | 109.6 | −6.3 | [17] |
| [Co(biq)Cl2] {CoN2Cl2} | +10.5 | 0 | 0.2 | 42.6 | 1.9 × 10−10 | 81.7 | 117.4 | +19.9 | [23] |
| [Co(biq)Br2] {CoN2Br2} | +12.5 | 0 | 0.2 | 39.6 | 1.2 × 10−10 | 81.9 | 117.9 | +19.2 | [23] |
| [Co(biq)I2] {CoN2I2} | +10.3 | 0 | 0.2 | 57.0 | 3.2 × 10−13 | 81.9 | 118.3 | +18.8 | [23] |
| [Co(dmph)Br2] | +11.7 | 0 | 0.1 | 22.8 | 3.7 × 10−10 | 83.1 | 115.9 | +20.0 | [35] |
| {CoP2Cl2} | |||||||||
| [Co(bcp)Cl2] | −6.6 | 0 | 0.2 | 47.8 | 1.3 × 10−11 | 81.6 | 120.0 | +17.4 | [36] |
| {CoN2Cl2} | |||||||||
| [Co(bcp)Br2] | −6.7 | 0 | - | - | - | 81.9 | 120.8 | +16.3 | [36] |
| {CoN2Br2} | |||||||||
| [Co(bcp)I2] | -7.0 | 0 | - | - | - | 82.1 | 121.7 | +15.2 | [36] |
| {CoN2I2} |
© 2017 by the authors. Licensee MDPI, Basel, Switzerland. This article is an open access article distributed under the terms and conditions of the Creative Commons Attribution (CC BY) license ( http://creativecommons.org/licenses/by/4.0/).
Share and Cite
Nemec, I.; Herchel, R.; Kern, M.; Neugebauer, P.; Van Slageren, J.; Trávníček, Z. Magnetic Anisotropy and Field‐induced Slow Relaxation of Magnetization in Tetracoordinate CoII Compound [Co(CH3‐im)2Cl2]. Materials 2017, 10, 249. https://doi.org/10.3390/ma10030249
Nemec I, Herchel R, Kern M, Neugebauer P, Van Slageren J, Trávníček Z. Magnetic Anisotropy and Field‐induced Slow Relaxation of Magnetization in Tetracoordinate CoII Compound [Co(CH3‐im)2Cl2]. Materials. 2017; 10(3):249. https://doi.org/10.3390/ma10030249
Chicago/Turabian StyleNemec, Ivan, Radovan Herchel, Michal Kern, Petr Neugebauer, Joris Van Slageren, and Zdeněk Trávníček. 2017. "Magnetic Anisotropy and Field‐induced Slow Relaxation of Magnetization in Tetracoordinate CoII Compound [Co(CH3‐im)2Cl2]" Materials 10, no. 3: 249. https://doi.org/10.3390/ma10030249
APA StyleNemec, I., Herchel, R., Kern, M., Neugebauer, P., Van Slageren, J., & Trávníček, Z. (2017). Magnetic Anisotropy and Field‐induced Slow Relaxation of Magnetization in Tetracoordinate CoII Compound [Co(CH3‐im)2Cl2]. Materials, 10(3), 249. https://doi.org/10.3390/ma10030249

