Next Article in Journal
In-Flight Estimation of Center of Gravity Position Using All-Accelerometers
Previous Article in Journal
Combined GPS/GLONASS Precise Point Positioning with Fixed GPS Ambiguities
Article Menu

Export Article

Open AccessArticle
Sensors 2014, 14(9), 17548-17566; doi:10.3390/s140917548

Motion Planning for Autonomous Vehicle Based on Radial Basis Function Neural Network in Unstructured Environment

1
School of Engineering Science, University of Science and Technology of China, Hefei 230026, China
2
Institute of Advanced Manufacturing Technology, Hefei Institutes of Physical Science, Chinese Academy of Sciences, Changzhou 213164, China
*
Author to whom correspondence should be addressed.
Received: 11 July 2014 / Revised: 10 September 2014 / Accepted: 12 September 2014 / Published: 18 September 2014
(This article belongs to the Section Physical Sensors)
View Full-Text   |   Download PDF [1814 KB, uploaded 18 September 2014]   |  

Abstract

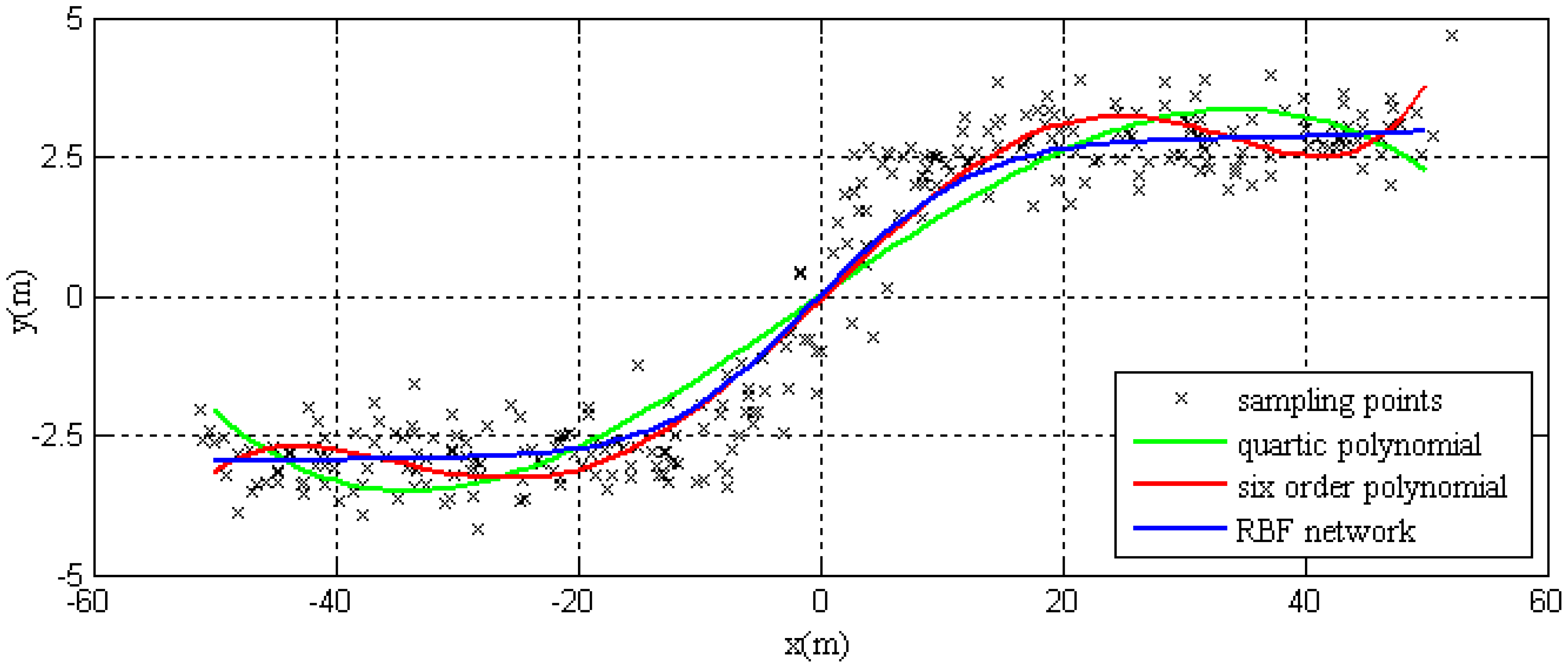
The autonomous vehicle is an automated system equipped with features like environment perception, decision-making, motion planning, and control and execution technology. Navigating in an unstructured and complex environment is a huge challenge for autonomous vehicles, due to the irregular shape of road, the requirement of real-time planning, and the nonholonomic constraints of vehicle. This paper presents a motion planning method, based on the Radial Basis Function (RBF) neural network, to guide the autonomous vehicle in unstructured environments. The proposed algorithm extracts the drivable region from the perception grid map based on the global path, which is available in the road network. The sample points are randomly selected in the drivable region, and a gradient descent method is used to train the RBF network. The parameters of the motion-planning algorithm are verified through the simulation and experiment. It is observed that the proposed approach produces a flexible, smooth, and safe path that can fit any road shape. The method is implemented on autonomous vehicle and verified against many outdoor scenes; furthermore, a comparison of proposed method with the existing well-known Rapidly-exploring Random Tree (RRT) method is presented. The experimental results show that the proposed method is highly effective in planning the vehicle path and offers better motion quality. View Full-Text
Keywords: autonomous vehicle; motion planning; radial basis function network; gradient descent method autonomous vehicle; motion planning; radial basis function network; gradient descent method
This is an open access article distributed under the Creative Commons Attribution License (CC BY 3.0).

Scifeed alert for new publications

Never miss any articles matching your research from any publisher
  • Get alerts for new papers matching your research
  • Find out the new papers from selected authors
  • Updated daily for 49'000+ journals and 6000+ publishers
  • Define your Scifeed now

SciFeed Share & Cite This Article

MDPI and ACS Style

Chen, J.; Zhao, P.; Liang, H.; Mei, T. Motion Planning for Autonomous Vehicle Based on Radial Basis Function Neural Network in Unstructured Environment. Sensors 2014, 14, 17548-17566.

Show more citation formats Show less citations formats

Related Articles

Article Metrics

Article Access Statistics

1

Comments

[Return to top]
Sensors EISSN 1424-8220 Published by MDPI AG, Basel, Switzerland RSS E-Mail Table of Contents Alert
Back to Top