Simultaneous Determination and Pharmacokinetics of Peimine and Peiminine in Beagle Dog Plasma by UPLC-MS/MS after the Oral Administration of Fritillariae ussuriensis Maxim and Fritillariae thunbergii Miq Powder
Abstract
1. Introduction
2. Results and Discussion
2.1. Method Development
2.1.1. UPLC-MS/MS Optimization
2.1.2. Selection of the Internal Standard and the Extraction Method
2.2. Method Validation
2.2.1. Selectivity
2.2.2. Linearity and Lower Limit of Quantification
2.2.3. Precision and Accuracy
2.2.4. Extraction Recovery and Matrix Effects
2.2.5. Stability
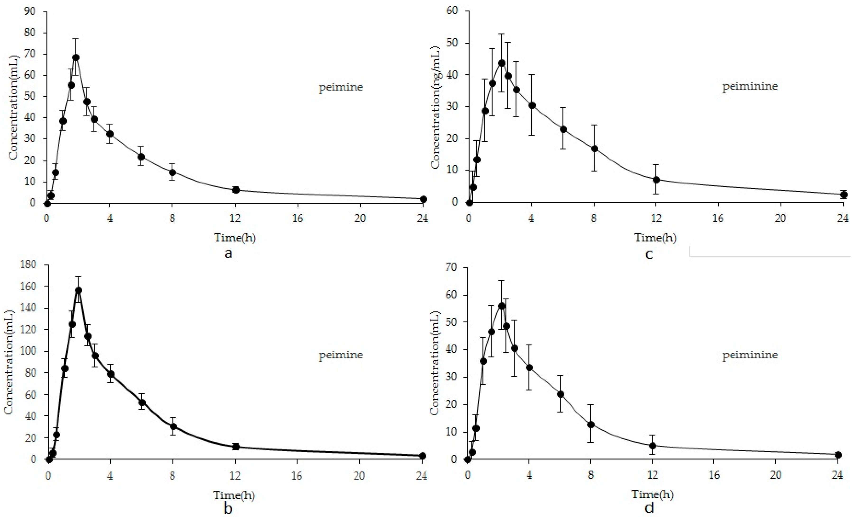
2.3. Pharmacokinetic Study
3. Materials and Methods
3.1. Materials and Reagents
3.2. Preparation of FU Powder and FT Powder
3.3. Instruments and Chromatographic Conditions
3.4. Preparation of Calibration Standards and Quality Control Samples
3.5. Animal Experiments and Preparation of Plasma Samples
3.6. Validation of the UPLC-MS/MS Method
3.6.1. Selectivity
3.6.2. Linearity and Lower Limits of Quantification
3.6.3. Precision and Accuracy
3.6.4. Extraction Recovery and Matrix Effect
3.6.5. Stability
3.7. Application to Pharmacokinetic Study
4. Conclusions
Author Contributions
Acknowledgments
Conflicts of Interest
References
- The Committee of Chinese Material Medica. Chinese Material Medica; Shanghai Scientific and Technological Press: Shanghai, China, 1999. [Google Scholar]
- Lin, G.; Li, P.; Li, S.L. Chromatographic analysis of Fritillaria, isosteroidal alkaloids, the active ingredients of Beimu, the antitussive traditional Chinese medicinal herb. J. Chromatogr. A 2001, 935, 321–338. [Google Scholar] [CrossRef]
- Chen, L.H.; Zhang, H.M.; Guan, Z.Y. Sex dependent pharmacokinetics, tissue distribution and excretion of peimine and peiminine in rats assessed by liquid chromatography-tandem mass spectrometry. J. Ethnopharmacol. 2013, 145, 77–84. [Google Scholar] [CrossRef] [PubMed]
- Yang, Z.D.; Duan, D.Z. A new alkaloid from Fritillaria ussuriensis Maxim. Fitoterapia 2012, 83, 137–141. [Google Scholar] [CrossRef] [PubMed]
- China Pharmacopoeia Committee. Pharmacopoeia of the People’s Repulic of China; China Chemical Industry Press: Beijing, China, 2015; pp. 97–292. [Google Scholar]
- Xu, J.; Zhao, W.; Pan, L.; Zhang, A.; Chen, Q.; Xu, K.; Lu, H.; Chen, Y. Peimine, a main active ingredient of Fritillaria, exhibits anti-inflammatory and pain suppression properties at the cellular level. Fitoterapia 2016, 111, 1–6. [Google Scholar] [CrossRef] [PubMed]
- Li, H.J.; Jiang, Y.; Li, P. Chemistry, bioactivity and geographical diversity of steroidal alkaloids from the Liliaceae family. Nat. Prod. Rep. 2006, 23, 735–752. [Google Scholar] [CrossRef] [PubMed]
- Lee, B.; Kim, E.Y.; Kim, J.H.; Min, J.H.; Jeong, D.W.; Jun, J.Y.; Cho, C.Y.; Sohn, Y.; Jung, H.S. Antiallergic effects of peiminine through the regulation of inflammatory mediators in HMC-1 cells. Immunopharmacol. Immunotoxicol. 2015, 37, 351–358. [Google Scholar] [CrossRef] [PubMed]
- Lyu, Q.; Tou, F.; Su, H.; Wu, X.; Chen, X.; Zheng, Z. The natural product peiminine represses colorectal carcinoma tumor growth by inducing autophagic cell death. Biochem. Biophys. Res. Commun. 2015, 462, 38–45. [Google Scholar] [CrossRef] [PubMed]
- Tang, Q.; Wang, Y.; Ma, L.; Ding, M.; Li, T.; Nie, Y.; Gu, Z. Peiminine serves as an adriamycin chemosensitizer in gastric cancer by modulating the EGFR/FAK pathway. Oncol. Rep. 2018, 39, 1299–1305. [Google Scholar] [CrossRef] [PubMed]
- Zheng, Z.; Xu, L.; Zhang, S.; Li, W.; Tou, F.; He, Q.; Rao, J.; Shen, Q. Peiminine inhibits colorectal cancer cell proliferation by inducing apoptosis and autophagy and modulating key metabolic pathways. Oncotarget 2017, 8, 47619–47631. [Google Scholar] [CrossRef] [PubMed]
- Ruan, X.; Yang, L.; Cui, W.X.; Zhang, M.X.; Li, Z.H.; Liu, B.; Wang, Q. Optimization of Supercritical Fluid Extraction of Total Alkaloids, Peimisine, Peimine and Peiminine from the Bulb of Fritillaria thunbergii Miq, and Evaluation of Antioxidant Activities of the Extracts. Mater. Basel 2016, 9, E524. [Google Scholar] [CrossRef] [PubMed]
- Qian, B.C.; Xu, H.J. Studies on the antitussive and sedative activities of peimine and peiminine. Yao Xue Xue Bao 1985, 20, 306–308. [Google Scholar] [PubMed]
- Park, J.H.; Lee, B.; Kim, H.K.; Kim, E.Y.; Kim, J.H.; Min, J.H.; Kim, S.; Sohn, Y.; Jung, H.S. Peimine Inhibits the Production of Proinflammatory Cytokines Through Regulation of the Phosphorylation of NF-κB and MAPKs in HMC-1 Cells. Pharmacogn. Mag. 2017, 13, 359–364. [Google Scholar] [CrossRef]
- Chen, G.; Liu, J.; Jiang, L.; Ran, X.; He, D.; Li, Y.; Huang, B.; Wang, W.; Liu, D.; Fu, S. Peiminine Protects Dopaminergic Neurons from Inflammation-Induced Cell Death by Inhibiting the ERK1/2 and NF-κB Signalling Pathways. Int. J. Mol. Sci. 2018, 19, E821. [Google Scholar] [CrossRef] [PubMed]
- Luo, H.L.; Zhang, W.; Xu, J.; Yang, W.; Yang, A.; Wen, X.; Cui, H. Simultaneous Determination of Four Main Isosteroidal Alkaloids of Bulbus Fritillariae Cirrhosae, in Rat Plasma by LC-MS-MS. Chromatographia 2012, 75, 729–737. [Google Scholar] [CrossRef]
- Lim, J.M.; Lee, B.; Min, J.H.; Kim, E.Y.; Kim, J.H.; Hong, S.; Kim, J.J.; Sohn, Y.; Jung, H.S. Effect of peiminine on DNCB-induced atopic dermatitis by inhibiting inflammatory cytokine expression in vivo and in vitro. Int. Immunopharmacol. 2018, 56, 135–142. [Google Scholar] [CrossRef] [PubMed]
- Chen, L.H.; Liu, L.L.; Zhu, W.F.; Zhang, H.M.; Yan, Z.H.; Liu, H.N. Comparative pharmacokinetic studies of peimine and peiminine in rat plasma by LC-MS-MS after oral administration of Fritillaria thunbergii Miq. and Fritillaria thunbergii Miq.—Glycyrrhiza uralensis Fisch. couple extract. Pharmazie 2011, 66, 684–689. [Google Scholar] [PubMed]
- Ma, Y.; Zhang, Y.; Zhai, Y.; Zhu, Z.; Pan, Y.; Qian, D.; Su, S.; Fan, X.; Duan, J. Development of a UPLC-TQ/MS Approach for the Determination of Eleven Bioactive Components in Haizao Yuhu Decoction Plus-Minus Haizao and Gancao Drug Combination after Oral Administration in a Rat Model of Hypothyroidism. Molecules 2016, 22, E7. [Google Scholar] [CrossRef] [PubMed]
- Xue, Y.; Wang, F. Simultaneous determination of peimine, peiminine and zhebeinine in Fritillaria thunbergii from different habitat by HPLC-ELSD. Zhong Guo Zhong Yao Za Zhi 2007, 32, 1628–1630. [Google Scholar]
- Li, S.L.; Chan, S.W.; Li, P.; Lin, G.; Zhou, G.H.; Ren, Y.J.; Chiu, F.C. Pre-column derivatization and gas chromatographic determination of alkaloids in bulbs of Fritillaria. J. Chromatogr. A 1999, 859, 183–192. [Google Scholar] [CrossRef]
- Lin, Y.K.; Ho, Y.L.; Zhao, Y.; Chang, Y.S. Quality assessment of Fritillariae Thunbergii Bulbus sold in Taiwan markets using a validated HPLC-UV method combined with hierarchical clustering analysis. J. Food Drug Anal. 2015, 23, 130–135. [Google Scholar] [CrossRef] [PubMed]
- Liu, L.; You, W.; Zheng, L.; Chen, F.; Jia, Z. Determination of peimine and peiminine in Bulbus Fritillariae Thunbergii by capillary electrophoresis by indirect UV detection using N-(1-naphthyl) ethylenediamine dihydrochloride as probe. Electrophoresis 2012, 33, 2152–2158. [Google Scholar] [CrossRef] [PubMed]
- Liu, L.; Yu, X.; Wang, Z.; Sun, J.; Pan, R.; Yang, C. Simultaneous determination and pharmacokinetics of five alkaloids in rat plasma by ultra-high performance liquid chromatography with tandem mass spectrometry after the oral administration of Corydalis bungeana Turcz extract. J. Sep. Sci. 2016, 39, 296. [Google Scholar] [CrossRef] [PubMed]
- Zhao, M.M.; Ding, W.J.; Wang, S.; Gao, M.; Fu, S.; Zhang, J.; Li, T.; Wu, Y.; Wang, Q. Simultaneous Determination of Five Constituents in Qinpijiegu Capsule by High-Performance Liquid Chromatography Coupled with Tandem Mass Spectrometry. J. Chromatogr. Sci. 2014, 53, 274–279. [Google Scholar] [CrossRef] [PubMed]
- Sun, Y.G.; Du, Y.F.; Yang, K.; Chang, L.; Cao, L.; Ren, Y.P.; Sun, Q.; Wang, Q.; Zhang, L.T.; Lv, P.T. A comparative study on the pharmacokinetics of a traditional Chinese herbal preparation with the single herb extracts in rats by LC–MS/MS method. J. Pharm. Biomed. Anal. 2013, 81–82, 34–43. [Google Scholar] [CrossRef] [PubMed]
- Lin, Q.; Zhang, Q.; Song, X.; Gong, T.; Sun, X.; Zhang, Z. Novel LC-MS/MS method for analyzing imperialine in rat plasma: Development, validation, and application to pharmacokinetics. J. Chromatogr. B Anal. Technol. Biomed. Life Sci. 2013, 938, 51–59. [Google Scholar] [CrossRef] [PubMed]
- Xu, Y.Y.; Li, Y.M.; Zhang, P.J.; Yang, B.; Wu, H.Y.; Guo, X.J.; Li, Y.B.; Zhang, Y.J. Sensitive UHPLC–MS/MS quantitation and pharmacokinetic comparisons of multiple alkaloids from Fuzi- Beimu and single herb aqueous extracts following oral delivery in rats. J. Chromatogr. B 2017, 1058, 24–31. [Google Scholar] [CrossRef] [PubMed]
- Wang, W.; Xu, J.; Liu, Y.Y. A simple and sensitive LC-MS/MS method for quantitation of peimine and its pharmacokinetic in beagle dogs. Drug Res. Stuttg. 2013, 63, 69–73. [Google Scholar] [CrossRef] [PubMed]
- Liu, H.; Yang, M.; Wu, P.; Guan, J.; Men, L.; Lin, H. Simultaneous determination of triamcinolone acetonide palmitate and triamcinolone acetonide in beagle dog plasma by UPLC-MS/MS and its application to a long-term pharmacokinetic study of triamcinolone acetonide palmitate lipid emulsion injection. J. Pharm. Biomed. Anal. 2015, 104, 105. [Google Scholar] [CrossRef] [PubMed]
- Wu, X.D.; Chen, J.J.; Pan, Y.J. Simultaneous determination of peimine and peiminine in rat plasma by LC-ESI-MS employing solid-phase extraction. Biomed. Chromatogr. 2010, 24, 902–907. [Google Scholar] [CrossRef] [PubMed]
- Bajcsik, N.; Pfab, R.; Pietsch, J. Simultaneous determination of cucurbitacin B, E, I and E-glucoside in plant material and body fluids by HPLC-MS. J. Chromatogr. B 2017, 1052, 128–134. [Google Scholar] [CrossRef] [PubMed]
- Wang, Z.; Zhu, W.; Gao, M.; Wu, C. Simultaneous determination of cucurbitacin B and cucurbitacin E in rat plasma by UHPLC-MS/MS: A pharmacokinetics study after oral administration of cucurbitacin tablets. J. Chromatogr. B 2017, 63, 1065–1066. [Google Scholar] [CrossRef] [PubMed]
- Maher, H.M.; Alzoman, N.Z.; Shehata, S.M. Comparative pharmacokinetic profiles of selected irreversible tyrosine kinase inhibitors, neratinib and pelitinib, with apigenin in rat plasma by UPLC-MS/MS. J. Pharm. Biomed. Anal. 2017, 137, 258. [Google Scholar] [CrossRef] [PubMed]
- Wang, L.; Gan, C.; Wang, Z.; Liu, L.; Gao, M.; Li, Q. Determination and pharmacokinetic study of three diterpenes in rat plasma by UPLC-ESI-MS/MS after oral administration of Rosmarinus officinalis L. extract. Molecules 2017, 22, 934. [Google Scholar] [CrossRef] [PubMed]
- Wei, B.B.; Chen, Z.X.; Liu, M.Y. Development of a UPLC-MS/MS Method for Simultaneous Determination of Six Flavonoids in Rat Plasma after Administration of Maydis stigma Extract and Its Application to a Comparative Pharmacokinetic Study in Normal and Diabetic Rats. Molecules 2017, 22, 8. [Google Scholar] [CrossRef]
Sample Availability: Samples of the compounds named peimine, peiminine and theophylline are available from the authors. |



| Analytes | Precursor Ion (m/z) | Product Ion (m/z) | Qualifier Ion (m/z) | Fragment (V) | Collision Energy (V) | Polarity |
|---|---|---|---|---|---|---|
| Peimine | 432.4 | 414.4 | 398.3 | 124 | 54 | Positive |
| Peiminine | 430.4 | 412.3 | 396.3 | 101 | 51 | Positive |
| theophylline | 181.2 | 124.1 | 96.1 | 62 | 27 | Positive |
| Analytes | Regression Equation | R | Linear Range (ng/mL) |
|---|---|---|---|
| Peimine | Y = 0.0843 X + 0.0127 | 0.9988 | 0.988–197.6 |
| Peiminine | Y = 0.0871 X − 0.0502 | 0.9990 | 0.980–196.0 |
| Compounds | Spiked Concentration (ng/mL) | Measured (ng/mL) | Intra-Day Precision RSD (%) | Inter-Day Precision RSD (%) | Accuracy RE (%) |
|---|---|---|---|---|---|
| Peimine | 0.988 | 0.990 ± 0.28 | 7.40 | 13.80 | 5.20 |
| 1.976 | 1.977 ± 0.07 | 9.31 | 13.28 | −1.54 | |
| 39.52 | 39.56 ± 1.64 | 10.40 | 3.77 | −5.57 | |
| 197.6 | 197.8 ± 7.71 | 14.35 | 12.23 | 4.95 | |
| Peiminine | 0.980 | 0.9881 ± 0.14 | 13.30 | 14.40 | −1.20 |
| 1.960 | 1.965 ± 0.37 | 14.47 | 9.98 | −3.33 | |
| 39.20 | 39.97 ± 2.05 | 9.50 | 11.19 | 7.37 | |
| 196.0 | 197.3 ± 10.94 | 8.94 | 6.01 | 6.04 |
| Analytes | Spiked Concentration (ng/mL) | Extraction Recovery | Matrix Effect | ||
|---|---|---|---|---|---|
| Mean (%) | RSD (%) | Mean (%) | RSD (%) | ||
| Peimine | 1.976 | 85.09 | 7.74 | 98.74 | 7.61 |
| 39.52 | 82.56 | 8.07 | 93.34 | 9.86 | |
| 197.6 | 84.87 | 5.52 | 95.87 | 4.49 | |
| Peiminine | 1.960 | 88.71 | 9.56 | 92.06 | 5.87 |
| 39.20 | 83.08 | 7.87 | 99.34 | 7.13 | |
| 196.0 | 85.43 | 3.35 | 101.2 | 4.23 | |
| IS | 1530 | 96.57 | 10.64 | 97.36 | 4.76 |
| Analytes | Concent-Ration (ng/mL) | Mean ± SD (ng/mL) | Stability (% RE) | |||
|---|---|---|---|---|---|---|
| Three Freeze-Thaw | Short-Term | Long-Term | Post-Preparation | |||
| Peimine | 1.976 | 1.986 ± 0.21 | 4.50 | 4.06 | 7.87 | 6.25 |
| 39.52 | 40.77 ± 1.29 | −1.65 | −1.34 | 0.91 | −2.98 | |
| 197.6 | 335.1 ± 7.71 | 2.19 | −4.02 | −5.12 | −6.34 | |
| Peiminine | 1.960 | 1.969 ± 0.37 | −5.36 | 4.10 | −3.97 | 6.06 |
| 39.20 | 39.96 ± 2.05 | 11.22 | 7.97 | 10.55 | 12.20 | |
| 196.0 | 196.2±10.94 | −1.06 | 8.76 | −6.03 | 6.53 | |
| Parameters | Analytes | |||
|---|---|---|---|---|
| Fritillaria ussuriensis Maxim | Fritillaria thunbergii Miq | |||
| Peimine | Peiminine | Peimine | Peiminine | |
| Cmax (ng/mL) | 68.80 ± 1.63 | 43.80 ± 4.08 | 156.89 ± 0.99 | 56.32 ± 0.83 |
| Tmax (h) | 1.83 ± 0.72 | 2.08 ± 0.21 | 1.91 ± 0.42 | 2.17 ± 0.32 |
| Ke | 0.230 ± 0.02 | 0.156 ± 0.03 | 0.246 ± 0.05 | 0.234 ± 0.01 |
| T1/2 (h) | 3.012 ± 0.16 | 4.453 ± 0.35 | 2.817 ± 0.11 | 2.965 ± 0.06 |
| AUC0-t (ng/h/L) | 340.1 ± 16.86 | 323.7 ± 39.19 | 759.4 ± 11.12 | 319.8 ± 12.54 |
| AUC0-∞ (ng/h/L) | 367.2 ± 22.35 | 370.1 ± 49.34 | 808.2 ± 14.91 | 342.1 ± 16.11 |
© 2018 by the authors. Licensee MDPI, Basel, Switzerland. This article is an open access article distributed under the terms and conditions of the Creative Commons Attribution (CC BY) license (http://creativecommons.org/licenses/by/4.0/).
Share and Cite
Wang, Z.; Cao, F.; Chen, Y.; Tang, Z.; Wang, Z. Simultaneous Determination and Pharmacokinetics of Peimine and Peiminine in Beagle Dog Plasma by UPLC-MS/MS after the Oral Administration of Fritillariae ussuriensis Maxim and Fritillariae thunbergii Miq Powder. Molecules 2018, 23, 1573. https://doi.org/10.3390/molecules23071573
Wang Z, Cao F, Chen Y, Tang Z, Wang Z. Simultaneous Determination and Pharmacokinetics of Peimine and Peiminine in Beagle Dog Plasma by UPLC-MS/MS after the Oral Administration of Fritillariae ussuriensis Maxim and Fritillariae thunbergii Miq Powder. Molecules. 2018; 23(7):1573. https://doi.org/10.3390/molecules23071573
Chicago/Turabian StyleWang, Zhibin, Feng Cao, Yajun Chen, Zhenqiu Tang, and Zhenyue Wang. 2018. "Simultaneous Determination and Pharmacokinetics of Peimine and Peiminine in Beagle Dog Plasma by UPLC-MS/MS after the Oral Administration of Fritillariae ussuriensis Maxim and Fritillariae thunbergii Miq Powder" Molecules 23, no. 7: 1573. https://doi.org/10.3390/molecules23071573
APA StyleWang, Z., Cao, F., Chen, Y., Tang, Z., & Wang, Z. (2018). Simultaneous Determination and Pharmacokinetics of Peimine and Peiminine in Beagle Dog Plasma by UPLC-MS/MS after the Oral Administration of Fritillariae ussuriensis Maxim and Fritillariae thunbergii Miq Powder. Molecules, 23(7), 1573. https://doi.org/10.3390/molecules23071573

