Synthesis and Bioactivity Characterization of Scutellarein Sulfonated Derivative
Abstract
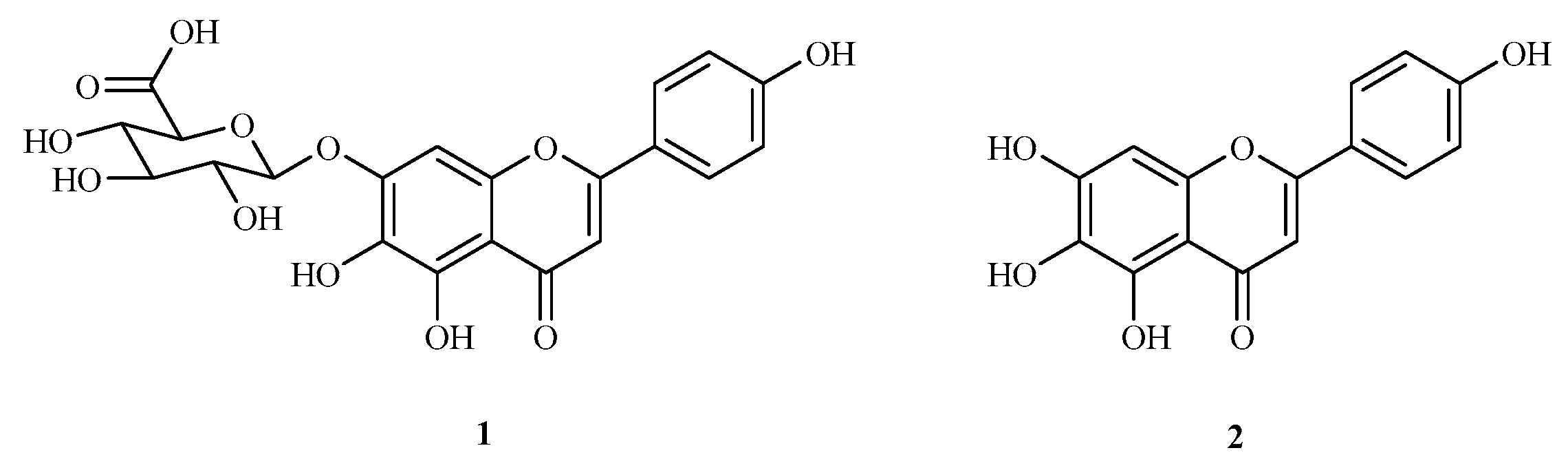
:1. Introduction
2. Results and Discussion
2.1. Chemical Synthesis
2.2. Aqueous Solubility
2.3. DPPH-Radical Scavenging Ability Assay
2.4. Antithrombic Assay
3. Experimental Section
3.1. General Information
3.2. Synthesis
3.2.1. 5,6,7-Trihydroxy-2-(4-hydroxyphenyl)-4H-chromen-4-one (2)
3.2.2. 5,6,7-Trihydroxy-2-(4-hydroxyphenyl)-4-oxo-4H-chromene-8-sulfonic acid (3)
3.3. Aqueous Solubility
3.4. DPPH-Radical Scavenging Ability Assay
3.5. Antithrombic Assay
4. Conclusions
Supplementary Materials
Acknowledgments
Author Contributions
Conflicts of Interest
References
- Donnan, G.A.; Fisher, M.; Macleod, M.; Davis, S.M. Stroke. Lancet 2008, 371, 1612–1623. [Google Scholar] [CrossRef]
- Murray, C.J.; Lopez, A.D. Mortality by cause for eight regions of the world. Global Burden of Disease Study. Lancet 1997, 349, 1269–1276. [Google Scholar] [CrossRef]
- Sturm, J.W.D.; Helen, M.; Donnan Geoffrey, A.; Macdonell Richard, A.L.; McNeil John, J.; Thrift Amanda, G. Handicap after stroke: How does it relate to disability, perception of recovery, and stroke subtype?: The North East Melbourne Stroke Incidence Study (NEMESIS). Stroke 2002, 33, 762–768. [Google Scholar] [CrossRef] [PubMed]
- Clarke, P.; Mashall, V.; Black, S.E.; Colantonio, A. Well-being after stroke in Canadian seniors: Findings from the Canadian Study of Health and Aging. Stroke 2002, 33, 1016–1021. [Google Scholar] [CrossRef] [PubMed]
- Liu, H.; Yang, X.; Ren, T.; Feng, Y.; Xu, H. Effects of Erigeron breviscapus ethanol extract on neuronal oxidative injury induced by superoxide radical. Fitoterapia 2005, 76, 666–670. [Google Scholar] [CrossRef] [PubMed]
- Tao, Y.H.; Jiang, D.Y.; Xu, H.B.; Yang, X.L. Inhibitory effect of Erigeron breviscapus extract and its flavonoid components on GABA shunt enzymes. Phytomedicine 2008, 15, 92–97. [Google Scholar] [CrossRef] [PubMed]
- Zhang, W.D.; Chen, W.S.; Wang, Y.H.; Yang, G.J.; Kong, D.Y.; Li, H.T. Studies on the flavone glycosides from the extract of Erigeron breviscapus. Chin. Tradit. Herb. Drugs 2000, 31, 565–568. [Google Scholar]
- Hu, Q.; Dai, L.L.; Wang, L.; Xiao, Y.H.; Pan, Z.Q. Study on optimization of extraction and separation processes of breviscapine. Chem. Bioeng. 2009, 26, 58–60. [Google Scholar]
- Ke, Y.; Bao, T.; Wu, X.; Tang, H.; Wang, Y.; Ge, J.; Fu, B.; Meng, X.; Chen, L.; Zhang, C.; et al. Scutellarin suppresses migration and invasion of human hepatocellular carcinoma by inhibiting the STAT3/Girdin/Akt activity. Biochem. Biophys. Res. Commun. 2016, 483, 509–515. [Google Scholar] [CrossRef] [PubMed]
- Li, Q.; Chen, Y.; Zhang, X.; Zuo, S.; Ge, H.; Chen, H.; Chen, Y.; Liu, X.; Zhang, J.H.; Ruan, H.; et al. Scutellarin attenuates vasospasm through the Erk5-KLF2-eNOS pathway after subarachnoid hemorrhage in rats. J. Clin. Neurosci. 2016, 34, 264–270. [Google Scholar] [CrossRef] [PubMed]
- Zhao, S.; Sun, Y.; Li, X.; Wang, J.; Yan, L.; Zhang, Z.; Wang, D.; Dai, J.; He, J.; Wang, S. Scutellarin inhibits RANKL-mediated osteoclastogenesis and titanium particle-induced osteolysis via suppression of NF-κB and MAPK signaling pathway. Int. Immunopharmacol. 2016, 40, 458–465. [Google Scholar] [CrossRef] [PubMed]
- Wei, Y.; Li, L.; Xi, Y.; Qian, S.; Gao, Y.; Zhang, J. Sustained release and enhanced bioavailability of injectable scutellarin-loaded bovine serum albumin nanoparticles. Int. J. Pharm. 2014, 476, 142–148. [Google Scholar] [CrossRef] [PubMed]
- Cao, F.; Guo, J.X.; Ping, Q.N.; Liao, Z.G. Prodrugs of scutellarin: Ethyl, benzyl and N,N-diethylglycolamide ester synthesis, physicochemical properties, intestinal metabolism and oral bioavailability in the rats. Eur. J. Pharm. Sci. 2006, 29, 385–393. [Google Scholar] [CrossRef] [PubMed]
- Hu, X.M.; Zhou, M.M.; Hu, X.M.; Zeng, F.D. Neuroprotective effects of scutellarin on rat neuronal damage induced by cerebral ischemia/reperfusion. Acta Pharmacol. Sin. 2005, 26, 1454–1459. [Google Scholar] [CrossRef] [PubMed]
- Jiang, R.J.; Yang, B.; Liu, Z.K.; Zhao, Y.L.; Liao, H.L.; Yang, J.; Gao, C.Z.; Wang, F.; Han, B. A novel polyrotaxane-based delivery system for scutellarin: Preparation, characterization, and in vitro evaluation. Carbohydr. Res. 2013, 380, 149–155. [Google Scholar] [CrossRef] [PubMed]
- Xiao, L.; Yi, T.; Chen, M.; Lam, C.W.; Zhou, H. A new mechanism for increasing the oral bioavailability of scutellarin with Cremophor EL: Activation of MRP3 with concurrent inhibition of MRP2 and BCRP. Eur. J. Pharm. Sci. 2016, 93, 456–467. [Google Scholar] [CrossRef] [PubMed]
- Li, N.G.; Shen, M.Z.; Wang, Z.J.; Tang, Y.P.; Shi, Z.H.; Fu, Y.F.; Shi, Q.P.; Tang, H.; Duan, J.A. Design, synthesis and biological evaluation of glucose-containing scutellarein derivatives as neuroprotective agents based on metabolic mechanism of scutellarin in vivo. Bioorg. Med. Chem. Lett. 2013, 23, 102. [Google Scholar] [CrossRef] [PubMed]
- Zhang, J.L.; Che, Q.M.; Li, S.Z.; Zhou, T.H. Study on metabolism of scutellarin in rats by HPLC-MS and HPLC-NMR. J. Asian Nat. Prod. Res. 2003, 5, 249–256. [Google Scholar] [CrossRef] [PubMed]
- Qian, L.H.; Shen, M.Z.; Tang, H.; Tang, Y.P.; Zhang, L.; Fu, Y.F.; Shi, Q.P.; Li, N.G. Synthesis and protective effect of scutellarein on focal cerebral ischemia/reperfusion in rats. Molecules 2012, 17, 10667–10674. [Google Scholar] [CrossRef] [PubMed]
- Tang, H.; Tang, Y.P.; Li, N.G.; Shi, Q.P.; Guo, J.M.; Shang, E.X.; Duan, J.A. Neuroprotective effects of scuetellarin and scutellarin repeatedly cerebral ischemia–reperfusion in rats. Pharmacol. Biochem. Behav. 2014, 118, 51–59. [Google Scholar] [CrossRef] [PubMed]
- Woźnicka, E.; Pieniążek, E.; Zapała, L.; Byczyński, Ł.; Trojnar, I.; Kopacz, M. New sulfonic derivatives of quercetin as complexing reagents: Synthesis, spectral, and thermal characterization. J. Therm. Anal. Calorim. 2015, 120, 351–361. [Google Scholar] [CrossRef]
- Cui, Y.; Han, Y.; Yang, X.; Sun, Y.; Zhao, Y. Protective effects of quercetin and quercetin-5′,8-disulfonate against carbon tetrachloride-caused oxidative liver injury in mice. Molecules 2013, 19, 291–305. [Google Scholar] [CrossRef] [PubMed]
- Boyer, J.; Brown, D.; Liu, R.H. Uptake of quercetin and quercetin 3-glucoside from whole onion and apple peel extracts by Caco-2 Cell monolayers. J. Agric. Food Chem. 2004, 52, 7172–7179. [Google Scholar] [CrossRef] [PubMed]
- Kang, T.B.; Liang, M.C. Studies on the inhibitory effects of quercetin on the growth of HL460 leukemia cells. Biochem. Pharmacol. 1997, 54, 1013–1018. [Google Scholar] [CrossRef]
- Suh, D.K.; Lee, E.J.; Kim, H.C.; Kim, J.H. Induction of G1/S phase arrest and apoptosis by quercetin in human osteosarcoma cells. Arch. Pharm. Res 2010, 33, 781–785. [Google Scholar] [CrossRef] [PubMed]
- Zhang, H.; Zhang, M.; Yu, L.; Zhao, Y.; He, N.; Yang, X. Antitumor activities of quercetin and quercetin-5′,8-disulfonate in human colon and breast cancer cell lines. Food Chem. Toxicol. Int. J. Publ. Br. Ind. Biol. Res. Assoc. 2012, 50, 1589–1599. [Google Scholar] [CrossRef] [PubMed]
- Hess, S.; Akermann, M.A.; Wnendt, S.; Zwingenberger, K.; Eger, K. Synthesis and immunological activity of water-soluble Thalidomide prodrugs. Bioorg. Med. Chem. 2001, 9, 1279. [Google Scholar] [CrossRef]
- Kim, M.K.; Park, K.S.; Yeo, W.S.; Choo, H.; Chong, Y. In vitro solubility, stability and permeability of novel quercetin–amino acid conjugates. Bioorg. Med. Chem. 2009, 17, 1164–1171. [Google Scholar] [CrossRef] [PubMed]
- Cheng, X.L.; Rasqué, P.; Vatter, S.; Merz, K.H.; Eisenbrand, G. Synthesis and cytotoxicity of novel indirubin-5-carboxamides. Bioorg. Med. Chem. 2010, 18, 4509–4515. [Google Scholar] [CrossRef] [PubMed]
- Li, N.G.; Song, S.L.; Shen, M.Z.; Tang, Y.P.; Shi, Z.H.; Tang, H.; Shi, Q.P.; Fu, Y.F.; Duan, J.A. Mannich bases of scutellarein as thrombin-inhibitors: Design, synthesis, biological activity and solubility. Bioorg. Med. Chem. 2012, 20, 6919–6923. [Google Scholar] [CrossRef] [PubMed]
- Shi, Z.H.; Li, N.G.; Shi, Q.P.; Zhang, W.; Dong, Z.X.; Tang, Y.P.; Zhang, P.X.; Gu, T.; Wu, W.Y.; Fang, F.; et al. Synthesis of scutellarein derivatives to increase biological activity and water solubility. Bioorg. Med. Chem. 2015, 23, 6875–6884. [Google Scholar] [CrossRef] [PubMed]
Sample Availability: Samples of the compounds 1, 2 and 3 are available from the authors. |


| Compd. | Solubility (μg/mL) | DPPH (μM) |
|---|---|---|
| Scutellarin (1) | 7.62 | 17.88 |
| Scutellarein (2) | 6.85 | 16.05 |
| (3) | 1949.64 | 16.78 |
| Compd. | Plasma Coagulation Parameters | |||
|---|---|---|---|---|
| TT (s) | APTT (s) | PT (s) | FIB (g/L) | |
| Blank plasma | 19.85 ± 1.59 | 29.83 ± 3.86 | 5.03 ± 0.24 | 7.23 ± 0.38 |
| Scutellarin (1) | 23.25 ± 1.55 | 33.78 ± 2.32 | 6.25 ± 0.08 | 6.41 ± 0.15 |
| Scutellarein (2) | 24.48 ± 1.18 | 36.12 ± 2.20 | 5.93 ± 0.81 | 6.91 ± 0.12 |
| 3 | 23.71 ± 1.82 | 30.33 ± 1.06 | 6.33 ± 1.87 | 7.01 ± 0.96 |
© 2017 by the authors. Licensee MDPI, Basel, Switzerland. This article is an open access article distributed under the terms and conditions of the Creative Commons Attribution (CC BY) license (http://creativecommons.org/licenses/by/4.0/).
Share and Cite
Gu, T.; Zhong, Y.; Lu, Y.-T.; Sun, Y.; Dong, Z.-X.; Wu, W.-Y.; Shi, Z.-H.; Li, N.-G.; Xue, X.; Fang, F.; et al. Synthesis and Bioactivity Characterization of Scutellarein Sulfonated Derivative. Molecules 2017, 22, 1028. https://doi.org/10.3390/molecules22061028
Gu T, Zhong Y, Lu Y-T, Sun Y, Dong Z-X, Wu W-Y, Shi Z-H, Li N-G, Xue X, Fang F, et al. Synthesis and Bioactivity Characterization of Scutellarein Sulfonated Derivative. Molecules. 2017; 22(6):1028. https://doi.org/10.3390/molecules22061028
Chicago/Turabian StyleGu, Ting, Yue Zhong, Yu-Ting Lu, Ying Sun, Ze-Xi Dong, Wen-Yu Wu, Zhi-Hao Shi, Nian-Guang Li, Xin Xue, Fang Fang, and et al. 2017. "Synthesis and Bioactivity Characterization of Scutellarein Sulfonated Derivative" Molecules 22, no. 6: 1028. https://doi.org/10.3390/molecules22061028
APA StyleGu, T., Zhong, Y., Lu, Y.-T., Sun, Y., Dong, Z.-X., Wu, W.-Y., Shi, Z.-H., Li, N.-G., Xue, X., Fang, F., Li, H.-M., & Tang, Y.-P. (2017). Synthesis and Bioactivity Characterization of Scutellarein Sulfonated Derivative. Molecules, 22(6), 1028. https://doi.org/10.3390/molecules22061028
