Protoberberine Isoquinoline Alkaloids from Arcangelisia gusanlung
Abstract
:1. Introduction

2. Results and Discussion
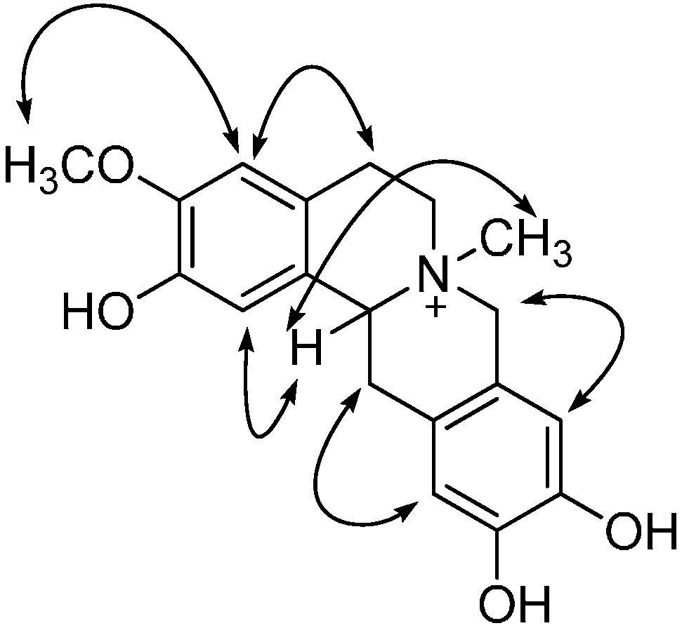
2.1. Structural Characterization
| Position | δC | δH (J Hz) | COSY | HMBC |
|---|---|---|---|---|
| 1 | 114.5, CH | 6.71 s | C-3, C-4a, C-13a | |
| 1a | 125.8, C | |||
| 2 | 147.5, C | |||
| 3 | 150.1, C | |||
| 4 | 113.3, CH | 6.83 s | C-2, C-3, C-1a, C-4a, C-5 | |
| 4a | 120.3, C | |||
| 5 | 24.3, CH2 | 3.28, 3.23 m | H-6 | C-1a, C-4a, C-4 |
| 6 | 53.3, CH2 | 3.82, 3.49 m | H-5 | C-4a, C-13a, N-CH3, C-8, C-5 |
| 8 | 65.1, CH2 | 4.71, 4.52 d (15) | C-12a, C-8a, C-6, C-9, C-13a, N-CH3, C-12a | |
| 8a | 118.0, C | |||
| 9 | 114.1, CH | 6.60 s | C-11, C-12a, C-10, C-8a, C-8 | |
| 10 | 146.7, C | |||
| 11 | 147.8, C | |||
| 12 | 115.8, CH | 6.83 s | C-11, C-10, C-9, C-8a, C-13 | |
| 12a | 122.0, C | |||
| 13 | 35.4, CH2 | 3.35 dd (4.8, 19.6) 3.02 dd (10.2, 18.0) | H-13a | C-8a, C-1a, C-12, |
| 13a | 67.6, CH | 4.66 dd (6.6, 10.2) | H-13 | C-12a, C-4a, C-1, C-8, C-13 |
| 3-OCH3 | 56.7, CH3 | 3.87 s | C-3, C-4, C-2 | |
| N-CH3 | 50.7, CH3 | 3.20 s | C-13a, C-6, C-8 |


2.2. Cytotoxic Activities
3. Experimental Section
3.1. General Experimental Procedures
3.2. Plant Material
3.3. Extraction and Isolation
3.4. Cytotoxicity Testing
4. Conclusions
Supplementary Materials
Supplementary Files
Supplementary File 1Acknowledgments
Author Contributions
Conflicts of Interest
References
- Chinese Pharmacopoeia; People’s Medical Publishing House: Beijing, China, 1977; p. 521.
- Garcia, L.M.; Jewers, K.; Manchanda, A.H.; Martinod, P.; Nabney, J.; Robinson, F.V. The alkaloids of Arcangelisia Loureirii and Coscinium Wallichianum. Phytochemistry 1970, 9, 663–664. [Google Scholar] [CrossRef]
- Zhang, J.S.; Chen, Z.L. Two new 8-oxotetrahydroprotoberberine alkaloids, gusanlung A and B, from Acangelisia gusanlun. Planta Med. 1991, 57, 457–459. [Google Scholar] [CrossRef]
- Zhang, J.S.; Men-Olivier, L.L.; Massiot, G. Isoquinoline alkaloids from Arcangelisia Gusanlung. Phytochemistry 1995, 39, 439–442. [Google Scholar] [CrossRef]
- Yu, L.L.; Hu, W.C.; Ding, G.; Li, R.T.; Wei, J.H.; Zou, Z.M.; Wang, M. Gusanlungionosides A–D, potential tyrosinase inhibitors from Arcangelisia gusanlung. J. Nat. Prod. 2011, 74, 1009–1014. [Google Scholar] [CrossRef]
- Gao, J.M.; Kamnaing, P.; Kiyota, T.; Watchueng, J.; Kubo, T.; Jarussophon, S.; Konishi, Y. One-step purification of palmatine and its derivative dl-tetrahydropalmatine from Enantia chlorantha using high-performance displacement chromatography. J. Chromatogr. A 2008, 1208, 47–53. [Google Scholar]
- Gao, J.M.; Liu, W.T.; Li, M.L.; Liu, H.W.; Zhang, X.C.; Li, Z.X. Preparation and structural elucidation of (−)-tetrahydroberberine-(+)-2,3-di(p-toluyl) tartaric acid complex. J. Mol. Struct. 2008, 892, 466–469. [Google Scholar]
- Lenka, G.; Jiri, D.; Radek, M. Quaternary protoberberine alkaloids. Phytochemistry 2007, 68, 150–175. [Google Scholar]
- Blanchfield, J.T.; Sands, D.P.A.; Kennard, C.H.L.; Byriel, K.A.; Kitching, W. Characterisation of alkaloids from some Australian Stephania (Menispermaceae) species. Phytochemistry 2003, 63, 711–720. [Google Scholar] [CrossRef]
- Guo, Y.Y.; Lin, L.B.; Fu, X.W.; Kojima, K.; Ogihara, Y. Studies on alkaloids from Tinospora hainanensis. Acta Pharmacol. Sin. 1999, 34, 690–693. [Google Scholar]
- Inqkaninan, K.; Phenqpa, P.; Yuenyongsawad, S.; Khorana, N. Acetylcholinesterase inhibitors from Stephania venosa tuber. J. Pharm. Pharmacol. 2006, 58, 695–700. [Google Scholar] [CrossRef]
- Takao, N.; Iwasa, K.; Kamigauchi, M.; Sugiura, M. Studies on the alkaloids of papaveraceous plants. XXIX. Conformational analysis of tetrahydroprotoberberines by carbon-13 magnetic resonance spectroscopy. Chem. Pharm. Bull. 1977, 25, 1426–1435. [Google Scholar] [CrossRef]
- Takao, T.; Yuko, S.; Naotaka, N.; Hidekazu, N. Quaternary isoquinoline alkaloids from Stephania cepharantha. Chem. Pharm. Bull. 2000, 48, 370–373. [Google Scholar] [CrossRef]
- Tao, J.H.; Zhang, X.Q.; Ye, W.C.; Zhao, S.X. Chemical constituents from Corydalis humosa. J. Chin. Med. Mat. 2005, 28, 556–557. [Google Scholar]
- Su, Y.F.; Lan, H.Y.; Zhang, Z.X.; Guo, C.Y.; Guo, D. Chemical constituents of Semia quilegia adoxoides. Chin. Tradit. Herbal Drugs 2006, 37, 27–29. [Google Scholar]
- Raouf, A.; Jinwoong, K.; Christpher, W.W.; A. Douglas, K. Unambiguous carbon-13 NMR assignments of some biologically active protoberberine alkaloids. Hererocycles 1989, 29, 2257–2260. [Google Scholar] [CrossRef]
- Amarendra, P.; Craig, T.M.; Alan, J.F.; Hélène, G.; Maurice, S.; Bamrung, T.; Kakaya, P. The protoberberine alkaloids of Stephania suberosa. Phytochemistry 1987, 26, 547–549. [Google Scholar] [CrossRef]
- Min, Y.D.; Yang, M.C.; Lee, K.H.; Kim, K.R.; Choi, S.U.; Lee, K.R. Protoberberine alkaloids and their reversal activity of P-gp expressed multidrug resistance (MDM) from the rhizome of Coptis japonica Makino. Arch. Pharm. Res. 2006, 29, 757–761. [Google Scholar] [CrossRef]
- Qu, Y.; Liu, M.; Wu, Z.H.; Gao, H.Y.; Sun, B.H.; Su, Q.J.; Wu, L.J. 2, 3, 9, 10-Tetraoxygenated Protoberberine Alkaloids from Corydalis yanhusuo W. T. Wang. Asian J. Tradi. Med. 2007, 2, 61–65. [Google Scholar]
- Yu, R.; Ye, Q.; Chen, B.; Zhang, G.L. Chemical study on Mitrephora mainga yi. Nat. Prod. Res. Deve 2003, 15, 212–215. [Google Scholar]
- Cheng, C.M.; Dai, Y.; Huang, X.Z.; Zhu, Y.; Dai, J.H.; Liu, X.F.; Wang, J. Chemical constituents from roots of Tinospora sagittata var. yunnanensis. Chin. Tradit. Herbal Drugs 2010, 41, 689–692. [Google Scholar]
- Moniot, J.L.; Hindenlang, D.M.; Shamma, M. Chemistry of 8, 13-dioxoberbines. J. Org. Chem. 1979, 44, 4343–4346. [Google Scholar]
- Valencia, E.; Weiss, I.; Firdous, S.; Freyer, A.J.; Shamma, M. The isoindolobenzazepine alkaloids. Tetrahedron 1984, 40, 3957–3962. [Google Scholar]
- Xu, X.H.; Wang, Z.T.; Yu, G.D.; Ruan, B.F.; Li, J. Alkaloids from Rhizoma corydalis. J. Chin. Pharm. Univ. 2002, 33, 483–486. [Google Scholar]
- Li, J.C.; Dong, X.H.; Deng, J.W.; Dai, Y.; Zhang, J.S.; Li, G.P. Studies on the alkaloids from roots of Cordalis impatiens. J. Chin. Med. Mat. 2010, 33, 210–213. [Google Scholar]
- Sample Availability: Samples of the compounds are not available from the authors because bioactivity tests of those compounds are going on.
© 2014 by the authors. Licensee MDPI, Basel, Switzerland. This article is an open access article distributed under the terms and conditions of the Creative Commons Attribution license ( http://creativecommons.org/licenses/by/3.0/).
Share and Cite
Yu, L.-L.; Li, R.-T.; Ai, Y.-B.; Liu, W.; Deng, Z.-S.; Zou, Z.-M. Protoberberine Isoquinoline Alkaloids from Arcangelisia gusanlung. Molecules 2014, 19, 13332-13341. https://doi.org/10.3390/molecules190913332
Yu L-L, Li R-T, Ai Y-B, Liu W, Deng Z-S, Zou Z-M. Protoberberine Isoquinoline Alkaloids from Arcangelisia gusanlung. Molecules. 2014; 19(9):13332-13341. https://doi.org/10.3390/molecules190913332
Chicago/Turabian StyleYu, Ling-Ling, Rong-Tao Li, Yuan-Bao Ai, Wei Liu, Zhang-Shuang Deng, and Zhong-Mei Zou. 2014. "Protoberberine Isoquinoline Alkaloids from Arcangelisia gusanlung" Molecules 19, no. 9: 13332-13341. https://doi.org/10.3390/molecules190913332
APA StyleYu, L.-L., Li, R.-T., Ai, Y.-B., Liu, W., Deng, Z.-S., & Zou, Z.-M. (2014). Protoberberine Isoquinoline Alkaloids from Arcangelisia gusanlung. Molecules, 19(9), 13332-13341. https://doi.org/10.3390/molecules190913332
