Effect of Solidification on Microstructure and Properties of FeCoNi(AlSi)0.2 High-Entropy Alloy Under Strong Static Magnetic Field
Abstract
:1. Introduction
2. Experiment and Method
2.1. Material Preparation
2.2. Material Processing Equipment under SSMF
2.3. Analysis and Characterization
3. Results and Discussion
3.1. X-ray Diffraction of FeCoNi(AlSi)0.2 Alloy
3.2. Microstructure Characteristics of FeCoNi(AlSi)0.2 Alloy
3.3. Mechanical Properties of FeCoNi(AlSi)0.2 Alloy
3.4. Electrical Resistivity of FeCoNi(AlSi)0.2 Alloy
3.5. Magnetic Properties of FeCoNi(AlSi)0.2 Alloy
4. Conclusions
- (1)
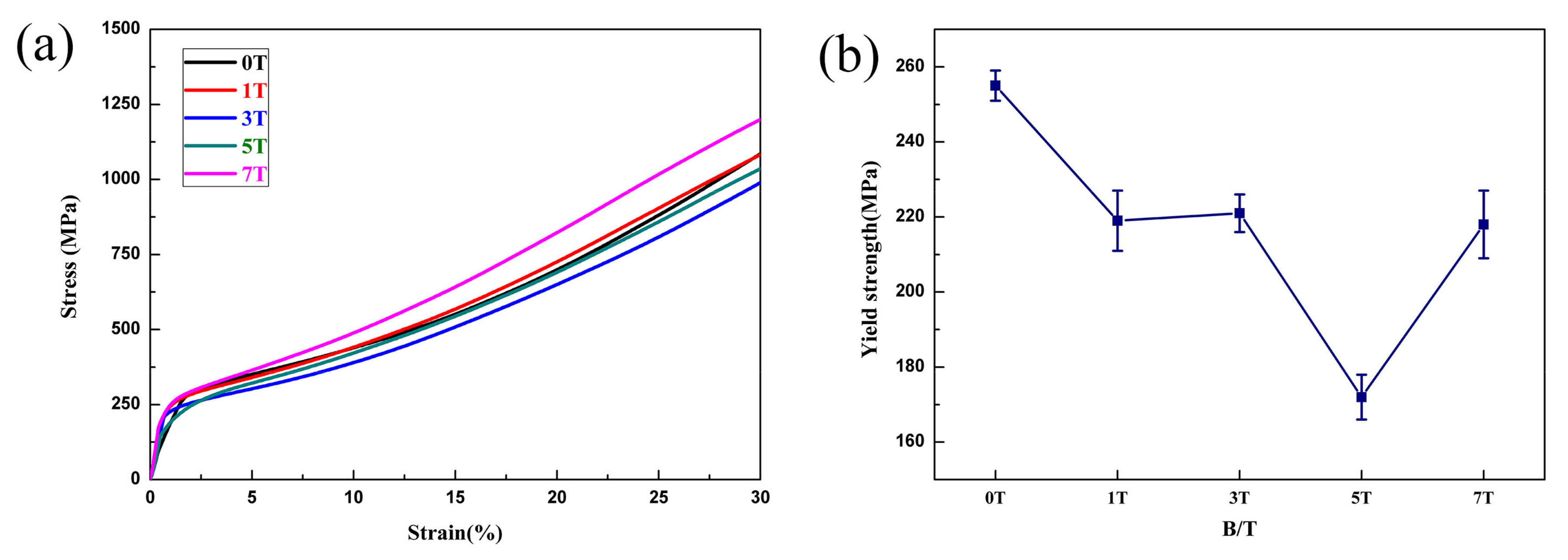
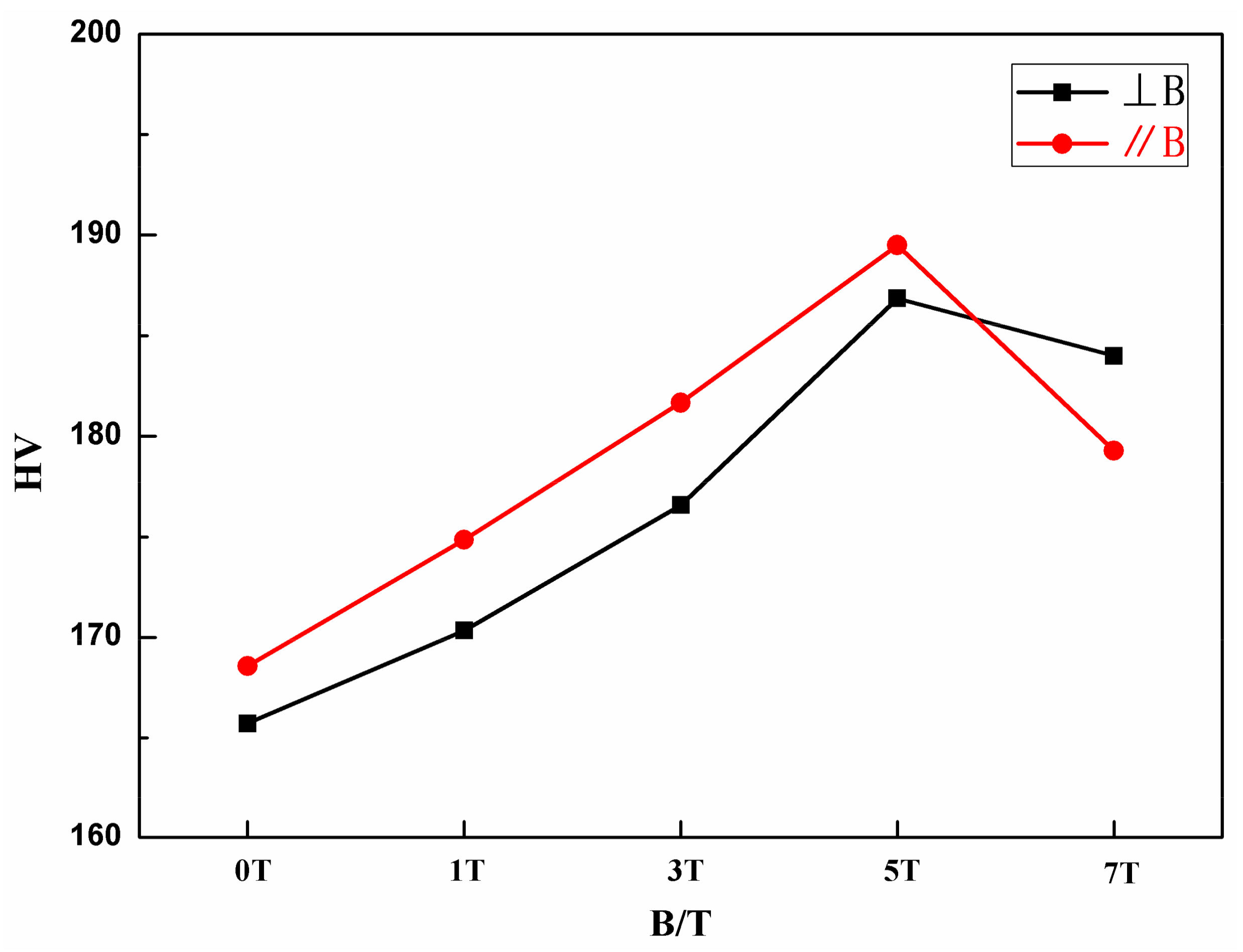
- During the solidification of different magnetic field intensities, the alloy solidified up to 5T is still a single FCC phase, and has the maximum Vickers hardness values (190 HV and 187 HV in the parallel and perpendicular direction of the magnetic field, respectively) and the minimum yield strength value (172 MPa).
- (2)
- The electrical resistivity increases with the magnetic field intensity, and the maximum value is 110 μΩ·cm at 7T.
- (3)
- The maximum saturation magnetization values of the vertical and parallel magnetic field direction are 121.7 emu/g and 97.7 emu/g at 5T. The minimum coercivity values are 2.19 Oe and 2.29 Oe at 5T, respectively.
Acknowledgments
Author Contributions
Conflicts of Interest
References
- Zhang, Y.; Zuo, T.T.; Tang, Z.; Gao, M.C.; Dahmen, K.A.; Liaw, P.K.; Lu, Z.P. Microstructures and properties of high-entropy alloys. Prog. Mater. Sci. 2014, 61, 1–93. [Google Scholar] [CrossRef]
- Zhang, W.; Liaw, P.K.; Zhang, Y. Science and technology in high-entropy alloys. Sci. China Mater. 2018, 61, 2–22. [Google Scholar] [CrossRef]
- Lin, C.M.; Tasi, H.L. Evolution of microstructure, hardness, and corrosion properties of high-entropy Al0.5CoCrFeNi alloy. Intermetallics 2011, 19, 288–294. [Google Scholar] [CrossRef]
- Bernd, G.; Anton, H.; Dhiraj, C. A fracture-resistant high-entropy alloy for cryogenic applications. Science 2014, 345, 1153. [Google Scholar]
- Wang, J.; Zhang, Y.; Niu, S.Z.; Wang, W.Y.; Kou, H.C.; Li, J.S.; Wang, S.Q.; Beaugnon, E. Formation of a hexagonal closed-packed phase in Al0.5CoCrFeNi high entropy alloy. MRS Commun. 2017, 7, 879–884. [Google Scholar] [CrossRef]
- He, J.Y.; Wang, H.; Huang, H.L.; Xu, X.D.; Chen, M.W.; Wu, Y.; Liu, X.J.; Nieh, T.G.; An, K.; Lu, Z.P. A precipitation-hardened high-entropy alloy with outstanding tensile properties. Acta Mater. 2016, 102, 187–196. [Google Scholar] [CrossRef]
- Deng, Y.; Tasan, C.C.; Pradeep, K.G.; Springer, H.; Kostka, A.; Raabe, D. Design of a twinning-induced plasticity high entropy alloy. Acta Mater. 2015, 94, 124–133. [Google Scholar] [CrossRef]
- Zhang, Y.; Li, J.S.; Wang, J.; Niu, S.Z.; Kou, H.C. Hot Deformation Behavior of As-Cast and Homogenized Al0.5CoCrFeNi High Entropy Alloys. Metals 2016, 6, 277. [Google Scholar] [CrossRef]
- Yeh, J.W.; Chen, S.K.; Lin, S.J.; Gan, J.Y.; Chin, T.S.; Shun, T.T.; Tsau, C.H.; Chang, S.Y. Nanostructured High-Entropy Alloys with Multiple Principal Elements: Novel Alloy Design Concepts and Outcomes. Adv. Eng. Mater. 2004, 6, 299–303. [Google Scholar] [CrossRef]
- Lilensten, L.; Couzinie, J.P.; Perriere, L.; Bourgon, J.; Emery, N.; Guillot, I. New structure in refractory high-entropy alloys. Mater. Lett. 2014, 132, 123–125. [Google Scholar] [CrossRef]
- Herlach, F.; Miura, N. High Magnetic Fields: Science and Technology; World Scientific Publishing Company: Singapore, Singapore, 2003. [Google Scholar]
- Beaugnon, E.; Tournier, R. Levitation of organic materials. Nature 1991, 349, 470. [Google Scholar] [CrossRef]
- Wang, J.; He, Y.X.; Li, J.S.; Kou, H.C.; Beaugnon, E. Strong magnetic field effect on the nucleation of a highly undercooled Co-Sn melt. Sci. Rep. 2017, 7, 4958. [Google Scholar] [CrossRef] [PubMed]
- Garcin, T.; Rivoirard, S.; Elgoyhen, C.; Beaugnon, E. Experimental evidence and thermodynamics analysis of high magnetic field effects on the austenite to ferrite transformation temperature in Fe-C-Mn alloys. Acta Mater. 2010, 58, 2026–2032. [Google Scholar] [CrossRef]
- Wang, J.; He, Y.X.; Li, J.S.; Kou, H.C.; Beaugnon, E. Magnetic field enhanced phase precipitation in an undercooled Co-Sn alloy. Mater. Lett. 2015, 139, 288–291. [Google Scholar] [CrossRef]
- Li, X.; Fautrelle, Y.; Gagnoud, A.; Ren, Z.M.; Moreau, R. EBSD study of the influence of a high magnetic field on the microstructure and orientation of the Al-Si eutectic during directional solidification. Metall. Mater. Trans. A 2016, 47, 2952–2963. [Google Scholar] [CrossRef]
- Wang, Q.; Liu, T.; Zhang, C.; Gao, A.; Li, D.J.; He, J.C. Effects of high magnetic fields on solidified structures of Mn-90.4 wt% Sb hypoeutectic alloy. Sci. Technol. Adv. Mater. 2009, 10, 014606. [Google Scholar] [CrossRef] [PubMed]
- Du, D.; Fautrelle, Y.; Ren, Z.M.; Moreau, R.; Li, X. Effect of a high magnetic field on the growth of ternary Al-Cu-Ag alloys during directional solidification. Acta Mater. 2016, 121, 240–256. [Google Scholar] [CrossRef]
- Wang, J.; Yue, S.; Fautrelle, Y.; Lee, P.D.; Li, X.; Zhong, Y.B.; Ren, Z.M. Refinement and growth enhancement of Al2Cu phase during magnetic field assisting directional solidification of hypereutectic Al-Cu alloy. Sci. Rep. 2016, 6, 24585. [Google Scholar] [CrossRef] [PubMed]
- Gao, J.R.; Han, M.; Kao, A.; Pericleous, K.; Alexandrov, D.V.; Galenko, P.K. Dendritic growth velocities in an undercooled melt of pure nickel under static magnetic fields: A test of theory with convection. Acta Mater. 2016, 103, 184–191. [Google Scholar] [CrossRef]
- Luo, Y.B.; Yang, J.Y.; Jiang, Q.H.; Li, W.X.; Fu, L.W.; Xiao, Y.; Zhang, D.; Zhou, Z.W.; Cheng, Y.D. Effect of cooling rate on the thermoelectric and mechanical performance of Bi0.5Sb1.5Te3 prepared under a high magnetic field. Intermetallics 2016, 72, 62–68. [Google Scholar] [CrossRef]
- Luo, Y.B.; Yang, J.Y.; Jiang, Q.H.; Li, W.X.; Fu, L.W.; Xiao, Y.; Zhang, D.; Zhou, Z.W.; Cheng, Y.D. Melting and solidification of bismuth antimony telluride under a high magnetic field: A new route to high thermoelectric performance. Nano Energy 2015, 15, 709–718. [Google Scholar] [CrossRef]
- Liu, T.; Gao, P.F.; Dong, M.; Xiao, Y.B.; Wang, Q. Effect of cooling rate on magnetostriction gradients of Tb0.27Dy0.73Fe1.95 alloys solidified in high magnetic field gratients. AIP Adv. 2016, 6, 056216. [Google Scholar] [CrossRef]
- Bruno, N.M.; Wang, S.; Karaman, I.; Chumlyakov, Y.I. Reversible Martensitic Transformation under Low Magnetic Fields in Magnetic Shape Memory Alloys. Sci. Rep. 2017, 7, 40434. [Google Scholar] [CrossRef] [PubMed]
- Li, C.J.; Yang, H.; Ren, Z.M.; Ren, W.L.; Wu, Y.Q. On nucleation temperature of pure aluminum in magnetic fields. Prog. Electromagn. Res. 2010, 15, 45–52. [Google Scholar] [CrossRef]
- Osaka, T.; Takai, M.; Hayashi, K.; Ohashi, K.; Saito, M. A soft magnetic CoNiFe film with high saturation magnetic flux density and low coercivity. Nature 1998, 392, 796–798. [Google Scholar] [CrossRef]
- Zhang, Y.; Zuo, T.T.; Cheng, Y.Q.; Liaw, P.K. High-entropy Alloys with High Saturation Magnetization, Electrical Resistivity, and Malleability. Sci. Rep. 2013, 3, 1455. [Google Scholar] [CrossRef] [PubMed]
- Zuo, T.T.; Zhang, Y.; Liaw, P.K.; Zhang, Y. Influence of Bridgman solidification on microstructures and magnetic behaviors of a non-equiatomic FeCoNiAlSi high-entropy alloy. Intermetallics 2015, 67, 171–176. [Google Scholar] [CrossRef]
- Qiu, C.J.; Wang, Y.H.; Qu, W. Material Physical Properties; Harbin Industry Technology University Press: Harbin, China, 2009. [Google Scholar]
- Tian, S.; Li, X.C.; Liu, Z.T. Physical Properties of Metals; Aviation Industry Press: Beijing, China, 1994. [Google Scholar]
- Sun, G.F.; Qiang, W.J. Magnetic Material; Chemical Industry Press: Beijing, China, 2007. [Google Scholar]
- Sourmail, T. Near equiatomic FeCo alloys: Constitution, mechanical and magnetic properties. Prog. Mater. Sci. 2005, 50, 816–880. [Google Scholar] [CrossRef]
- Yu, R.H.; Basu, S.; Ren, L.; Zhang, Y.; Parvizi, A.M.; Unruh, K.M.; Xiao, J.Q. High temperature soft magnetic materials: FeCo alloys and composites. IEEE Trans. Magn. 2000, 36, 3388–3393. [Google Scholar] [CrossRef]











| B | Area | Al | Si | Fe | Co. | Ni | |
|---|---|---|---|---|---|---|---|
| As-cast | DR | 6.063 | 5.300 | 31.207 | 30.253 | 27.177 | |
| ID | 9.963 | 14.770 | 20.830 | 23.050 | 31.387 | ||
| 0T | ⊥ | DR | 6.370 | 4.740 | 31.760 | 30.417 | 26.710 |
| ID | 10.193 | 14.573 | 19.830 | 22.050 | 33.353 | ||
| // | DR | 6.467 | 4.793 | 31.910 | 20.283 | 26.547 | |
| ID | 10.987 | 15.200 | 19.733 | 21.677 | 32.400 | ||
| 1T | ⊥ | DR | 6.407 | 4.707 | 32.037 | 30.533 | 26.317 |
| ID | 10.923 | 15.043 | 19.487 | 21.730 | 32.823 | ||
| // | DR | 6.800 | 4.800 | 31.583 | 30.343 | 26.470 | |
| ID | 11.217 | 14.957 | 19.413 | 21.543 | 32.870 | ||
| 3T | ⊥ | DR | 6.677 | 4.623 | 32.013 | 30.390 | 26.297 |
| ID | 11.077 | 15.327 | 19.617 | 21.640 | 32.333 | ||
| // | DR | 6.723 | 5.483 | 30.930 | 30.160 | 26.707 | |
| ID | 11.317 | 15.873 | 19.173 | 21.397 | 32.240 | ||
| 5T | ⊥ | DR | 6.380 | 4.973 | 31.140 | 30.423 | 27.083 |
| ID | 9.837 | 14.600 | 20.050 | 22.243 | 33.267 | ||
| // | DR | 6.343 | 4.873 | 31.857 | 30.343 | 26.570 | |
| ID | 10.597 | 14.423 | 19.803 | 22.113 | 33.057 | ||
| 7T | ⊥ | DR | 6.807 | 5.027 | 31.630 | 30.137 | 26.400 |
| ID | 11.046 | 14.887 | 19.713 | 21.467 | 32.887 | ||
| // | DR | 6.807 | 5.027 | 31.630 | 30.137 | 26.400 | |
| ID | 11.047 | 14.887 | 19.713 | 21.467 | 32.887 | ||
© 2018 by the authors. Licensee MDPI, Basel, Switzerland. This article is an open access article distributed under the terms and conditions of the Creative Commons Attribution (CC BY) license (http://creativecommons.org/licenses/by/4.0/).
Share and Cite
Wang, J.; Li, J.; Wang, J.; Bu, F.; Kou, H.; Li, C.; Zhang, P.; Beaugnon, E. Effect of Solidification on Microstructure and Properties of FeCoNi(AlSi)0.2 High-Entropy Alloy Under Strong Static Magnetic Field. Entropy 2018, 20, 275. https://doi.org/10.3390/e20040275
Wang J, Li J, Wang J, Bu F, Kou H, Li C, Zhang P, Beaugnon E. Effect of Solidification on Microstructure and Properties of FeCoNi(AlSi)0.2 High-Entropy Alloy Under Strong Static Magnetic Field. Entropy. 2018; 20(4):275. https://doi.org/10.3390/e20040275
Chicago/Turabian StyleWang, Jiaxiang, Jinshan Li, Jun Wang, Fan Bu, Hongchao Kou, Chao Li, Pingxiang Zhang, and Eric Beaugnon. 2018. "Effect of Solidification on Microstructure and Properties of FeCoNi(AlSi)0.2 High-Entropy Alloy Under Strong Static Magnetic Field" Entropy 20, no. 4: 275. https://doi.org/10.3390/e20040275
APA StyleWang, J., Li, J., Wang, J., Bu, F., Kou, H., Li, C., Zhang, P., & Beaugnon, E. (2018). Effect of Solidification on Microstructure and Properties of FeCoNi(AlSi)0.2 High-Entropy Alloy Under Strong Static Magnetic Field. Entropy, 20(4), 275. https://doi.org/10.3390/e20040275

