Phase Transitions in Equilibrium and Non-Equilibrium Models on Some Topologies
Abstract
:1. Introduction
2. Model
3. Lattices, Graphs and Networks
- UAN and DANThe AN have nodes (N), and n represents the generation number [23,24]. On these AN, we redirect a fraction p of the links. This procedure results in a directed network, keeping the outgoing node of the redirected link, but changing the incoming node. If , we have the standard AN, and for , we have random networks [7]. However, there is the reciprocity of the redirected link in the undirected case, i.e., if Node A selects Node B as the incoming neighbor, then A is also an incoming neighbor of B.
- USW and DSW networks
- UBA and DBA networksTo generate the DBA networks [14], each new node added to the network selects, with connectivity z, already existing nodes as neighbors influencing it; the recently-added node does not influence these neighbors. In the case of the UBA networks [13], the recently-added node does influence these neighbors.
- UER and DER random graphsThe ER random graphs [7] are constructed by connecting pairs of randomly-selected nodes with a probability with N nodes and k links (bonds). The connectivity of a node , where or 0, is defined as the total number of links connected to it. These links can be undirected or directed, as well.
- UVD and DVD random latticesThe construction of the UVD random lattice [28] for a given set of points in the plane is given as follows. For each point, we first determine the polygonal cell consisting of the region of space nearer to that point than to any other point. Whenever two such cells share an edge, they are considered as neighbors. From the Voronoi diagram, we can obtain the dual lattice by the following procedure. When two cells are neighbors, one draws a link between the two points located in the center of each cell. From the links, one obtains the triangulation of space that is called the Delaunay triangulation. The Delaunay triangulation is dual to the Voronoi diagram, in the sense that points correspond to cells, links to edges and triangles to the vertices of the Voronoi tessellation. The DVD random lattices [29] are constructed in the same way as the DAN.
4. Results and Discussion
4.1. Apollonian Networks
- The IM
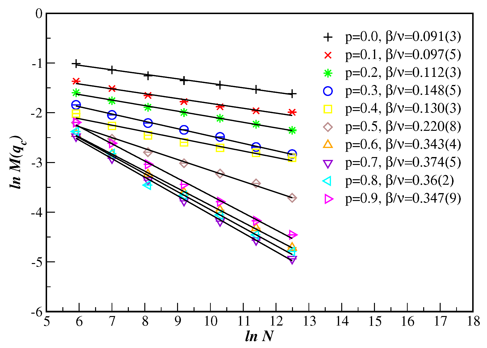
- The MV modelThe MV model was studied on triangular AN networks by Lima et al. [30]. We found a continuous phase transition. The effect of the reconnection of the links of the network with a probability p were also studied. Through MC simulations, the exponents’ ratios , and were obtained for values of reconnection probability , , , , , , , and . The critical noise and were also determinated. Here, the effective dimensionality of the system was observed to be independent of p, and its value is observed for these networks.Figure 1 displays the magnetization M, Binder’s cumulant and susceptibility vs. q, obtained from MC simulations on AN for , 1096, 3283, 9844, , 88,576 and 265,723 sites and for generation (, 7, 8, 9, 10, 11 and 12). The shape of the quantities’ curves suggests the existence of the continuous phase transition in these networks. The values of is estimated as the point where the curves for different system sizes N intercept each other [35]. In Table 1, we summarize the values of from to .
4.2. ER Random Graphs
- The IMThe IM was studied on independent ER graphs and different connectivities through MC simulations [26]. This model exhibits a phase transition-like mean-field, and the critical exponents on both DER and UER graphs are identical to the mean-field.
- The MV modelThrough MC Simulation, the MV model was studied with noise on UER and DER random graphs [27,36]. Unlike IM, it presents a continuous phase transition on both DER and UER random graphs. The points and critical exponents’ ratios , and as a function of the connectivity z of the random graphs have been obtained; see Table 2.
4.3. BA Networks
- The IMThe IM on UBA was first studied by Aleksiejuk et al. [13]. Through MC simulations [13], they showed that the critical temperature increases logarithmically with increasing system size N. Later, Sumour et al. [14,15] studied the IM on a DBA network. Unlike the results found by Aleksiejuk et al. [13], they showed that the IM on a DBA network does not present a phase transition.
- The MV model
4.4. SW Networks
- The IMThe one-dimensional IM was studied, via MC simulations, on SW networks by Jeong et al. [38]. Their results are different from [39,40,41,42,43,44]. Their critical exponents are smaller than the exponents of the IM at two dimensions. However, for two- and three-dimensional models [45,46] by MC simulations, it has been verified that the phase transition presents a mean-field behavior [47].
- The MV modelThrough MC simulations, Luz and Lima [25] studied the MV model with noise q on DSW networks, please see the Fortran program for the majority vote on small-world networks (2D) in Appendix. They calculated the critical noise parameter for reconnection probability , , , and of the DSW networks. Table 5 shows the reconnection probability, , the exponents’ ratio , and for the DSW network. The results obtained show that the critical exponents of the MV model belong to different universality classes from Oliveira [17] on SL, of Pereira et al. [48] for UER random graphs, Lima [49] and Campos . [36] on USW networks.
4.5. VD Random Lattices
- The IMThe IM has been studied, via MC simulations, on UVD random lattices by Espriu et al. [50] using the local update algorithms, like Metropolis. Their results showed evidence that IM on UVD random lattices has the same critical behavior of the IM on SL. Posteriorly, Janke et al [28,51], using a global MC update algorithm [52], reweighting techniques [53] and finite size scaling analysis, studied the IM on UVD random lattices. Their results were similar to those found by Espriu et al. [50], showing that the IM on UVD random lattices belongs to the universality same class of the IM on SL. Thereafter, Lima et al. [54] have also studied this model with an exchange coupling that varies with the distance r between the first neighbors for and . Their results showed that this random system also falls in the same universality class as the IM on SL.The IM on a directed small-world Voronoi–Delaunay (DSWVD) network was also studied by Sousa and Lima [29]. These results show a strong indication that the IM on DSWVD random lattices is in a different universality class than the model on an SL. The exponents obtained are independent of p () and different from the IM on SL; see Table 6.
- The MV modelLima et al. [6] studied the MV model on VD random lattices. These present a quenched disorder in their links. They investigated whether only this type of disorder is relevant to obtain critical exponents different from those found for the MV model on SL that have the same exponents of the IM on SL. They found the critical exponents’ ratios =0.99(8), and . Therefore, they showed that critical exponents’ ratios and are different from the exact values of the IM and MV model on SL.
5. Conclusions
Acknowledgments
Conflicts of Interest
Appendix: MV Fortran Program for DSW Starting from a Square Lattice
Majority-vote on small-world Stauffer Way 11/02/2011 (2D) parameter(idim=2,L=6,L2=L**idim,Lmax = L2+2*(L**(idim-1))) parameter(k=2*idim,nsamp=4, itmax=1200, p=0.1 ) character*40 FILE1,FILE2,FILE3 real*8 ex,dt,T,beta,factor integer*8 ibm,ip,iex(-1:+1,-k:+k) byte is dimension is(Lmax), neighb(Lmax,10) ip=2147483648.0d0*(2.d0*p-1)*2147483648.0d0 factor=(0.25d0/2147483648.0d0)/2147483648.0d0 iseed=1 ibm=2*iseed-1 anorma=dfloat(L2) T=0.60d0 c c boundary contourn c Lp1=L**(idim-1)+1 L2pL=L**(idim)+L**(idim-1) do i=Lp1,L2pL neighb(i,1)=i-1 neighb(i,2)=i+1 neighb(i,3)=i-L neighb(i,4)=i+L enddo do i=1,L do j=1,k ibm=ibm*16807 if(ibm.Lt.ip)then 40 ibm=ibm*16807 new=1.0+(0.5+factor*ibm)*L2 if(new.gt.L2.or.new.le.0) goto 40 neighb(i,j)=new do k0=1,k if(neighb(new,k0).eq.i)neighb(new,k0)=neighb(i,j) enddo endif enddo enddo mcstep=50000 itrelax=25000 dt=0.002D0 do 3 it=1,itmax beta=1.d0/t dq=tanh(beta) c c probability table c do i=-1,1 do j=-k,k ie=j*i isgn=0 if(ie.gt.0) isgn=+1 if(ie.lt.0) isgn=-1 ex=0.5d0*(1.d0 - dq*isgn) iex(i,j)=2147483648.0d0*(4*ex-2)*2147483648.0d0 enddo enddo dt=0.002D0 if(t.gt.1.64.and.t.lt.2.1)then dt=0.001 mcstep=300000 itrelax=100000 endif c c Initial configuration is(i)=1 c do 5 i=Lp1,L2pL 5 is(i)=1 do 6 j=1,L**(idim-1) is(j)=is(j+L2) 6 is(j+L2pL)=is(j+L**(idim-1)) icount=0 do 1 mc=1, mcstep do 3 i=Lp1,L2pL isi=is(i) ibm=ibm*16807 ie=0 do 4 j=1,k 4 ie=ie+is(neighb(i,j)) 3 if(iex(isi,ie).gt.ibm) is(i)=-isi do 7 j=1,L**(idim-1) is(j)=is(j+L2) 7 is(j+L2pL)=is(j+L**(idim-1)) if(mc.GT.itrelax)then icount=icount+1 mag=0 do i=1,L2 mag=mag+is(i) enddo endif 1 continue t=t+dt 3 continue stop end
References
- Lenz, W. Beiträge zum Verständnis der magnetischen Eigenschaften in festen Körpern. Physikalische Zeitschrift 1921, 21, 613–615. [Google Scholar]
- Ising, E. Beitrag zur Theorie des Ferromagnetizmus. Zeitschrift für Physik 1925, 31, 253–258. [Google Scholar] [CrossRef]
- Baxter, R.J. Exactly Solved Models in Statistical Mechanics; Academic Press: London, UK, 1982. [Google Scholar]
- Metropolis, N.; Rosenbluth, A.W.; Rosenbluth, M.N.; Teller, A.H.; Teller, E. Equation of State Calculations by Fast Computing Machines. J. Chem. Phys. 1953, 21, 1087–1092. [Google Scholar]
- Lima, F.W.S.; Stauffer, D. Ising model simulation in directed lattices and networks. Physica A 2006, 359, 423–429. [Google Scholar] [CrossRef]
- Lima, F.W.S.; Fulco, U.L.; Costa Filho, R.N. Majority-vote model on a random lattice. Phys. Rev. E 2005, 71, 036105. [Google Scholar] [CrossRef] [PubMed]
- Erdös, P.; Rényi, A. On random graphs I. Publ. Math. Debrecen 1959, 6, 290–297. [Google Scholar]
- Barrat, A.; Weigt, M. On the properties of small-world network models. Eur. Phys. J. B 2000, 13, 547–560. [Google Scholar] [CrossRef]
- Newman, M.E.J.; Strogatz, S.H.; Watts, D.J. Random graphs with arbitrary degree distributions and their applications. Phys. Rev. E 2001, 64, 026118. [Google Scholar] [CrossRef] [PubMed]
- Sanchez, A.D.; Lopez, J.M.; Rodriguez, M.A. Nonequilibrium phase transitions in directed small-world networks. Phys. Rev. Lett. 2002, 88, 048701. [Google Scholar] [CrossRef] [PubMed]
- Barabási, A.-L.; Albert, R. Emergence of Scaling in Random Networks. Science 1999, 286, 509–512. [Google Scholar] [PubMed]
- Albert, R.; Jeong, H.; Barabási, A.-L. Internet: Diameter of the world-wide web. Nature 1999, 401, 130–131. [Google Scholar]
- Aleksiejuk, A.; Hołyst, J.A.; Stauffer, D. Ferromagnetic phase transition in Barabasi–Albert networks. Physica A 2002, 310, 260–266. [Google Scholar] [CrossRef]
- Sumour, M.A.; Shabat, M.M. Monte Carlo simulation of Ising model on directed Barabasi–Albert Network. Int. J. Mod. Phys. C 2005, 16, 585–589. [Google Scholar] [CrossRef]
- Sumour, M.A.; Shabat, M.M.; Stauffer, D. Absence of Ferromagnetism in Ising model on directed Barabasi–Albert network. Islam. Univ. J. 2006, 14, 209–212. [Google Scholar]
- Grinstein, G.; Jayaprakash, C.; He, Y. Statistical Mechanics of Probabilistic Cellular Automata. Phys. Rev. Lett. 1985, 55, 2527. [Google Scholar] [CrossRef] [PubMed]
- De Oliveira, M.J. Isotropic majority-vote model on a square lattice. J. Stat. Phys. 1992, 66, 273–281. [Google Scholar] [CrossRef]
- Bennett, C.H.; Grinstein, G. Role of irreversibility in stabilizing complex and nonergodic behavior in locally interacting discrete systems. Phys. Rev. Lett. 1985, 55, 657. [Google Scholar] [CrossRef] [PubMed]
- Wang, J.S.; Lebowitz, J.L. Phase transitions and universality in nonequilibrium steady states of stochastic Ising models. J. Stat. Phys. 1988, 51, 893–906. [Google Scholar] [CrossRef]
- Marques, M.C. Nonequilibrium Ising model with competing dynamics: A MFRG approach. Phys. Lett. A 1990, 145, 379–382. [Google Scholar] [CrossRef]
- Lima, F.W.S. Majority-vote on directed Barabasi–Albert networks. Int. J. Mod. Phys. C 2006, 17, 1257–1265. [Google Scholar] [CrossRef]
- Santos, J.C.; Lima, F.W.S.; Malarz, K. Majority-vote model on triangular, honeycomb and Kagomé lattices. Physica A 2011, 390, 359–364. [Google Scholar] [CrossRef]
- Andrade, R.S.F.; Herrmann, H.J. Magnetic models on Apollonian networks. Phys. Rev. E 2005, 71, 056131. [Google Scholar] [CrossRef] [PubMed]
- Andrade, R.S.F.; Andrade, J.S., Jr.; Herrmann, H.J. Ising model on the Apollonian network with node-dependent interactions. Phys. Rev. E 2009, 79, 036105. [Google Scholar] [CrossRef] [PubMed]
- Luz, E.M.S.; Lima, F.W.S. Majority-vote on directed small-world networks. Int. J. Mod. Phys. C 2007, 18, 1251–1261. [Google Scholar] [CrossRef]
- Lima, F.W.S.; Sumour, M.A. Ising model with spins S=1/2 and 1 on directed and undirected Erdös–Rènyi random graphs. Physica. A 2012, 391, 948–953. [Google Scholar] [CrossRef]
- Lima, F.W.S.; Sousa, A.O.; Sumour, M.A. Majority-vote model on directed Erdös–Rènyi random graphs. Physica A 2008, 387, 3503–3510. [Google Scholar] [CrossRef]
- Janke, W.; Katoot, M.; Villanova, R. Ising model universality for two-dimensional lattices. Phys. Lett. B 1993, 315, 412–416. [Google Scholar] [CrossRef]
- Sousa, E.M.; Lima, F.W.S. Ising model on directed small-world Voronoi Delaunay random lattices. Eur. Phys. J. Plus 2013, 128, 150. [Google Scholar] [CrossRef]
- Lima, F.W.S.; Moreira, A.A.; Araújo, A.D. Nonequilibrium model on Apollonian networks. Phys. Rev. E 2012, 86, 056109. [Google Scholar] [CrossRef] [PubMed]
- Sukhorukov, A.A.; Akhmediev, N.N. Intensity limits for stationary and interacting multi-soliton complexes. Phys. Lett. A 2002, 305, 160–166. [Google Scholar] [CrossRef]
- Dorogovtsev, S.N.; Goltsev, A.V. Critical phenomena in complex networks. Rev. Mod. Phys. 2008, 80, 1275. [Google Scholar] [CrossRef]
- Gleeson, J.P. Binary-State Dynamics on Complex Networks: Pair Approximation and Beyond. Phys. Rev. X 2013, 3, 021004. [Google Scholar] [CrossRef]
- Chen, H.; Shen, C.; He, G.; Zhang, H.; Hou, Z. Critical noise of majority-vote model on complex networks. Phys. Rev. E 2015, 91, 022816. [Google Scholar] [CrossRef] [PubMed]
- Binder, K.; Heermann, D. Monte Carlo Simulation in Statistical Phyics; Springer: Berlin/Heidelberg, Germany, 1988. [Google Scholar]
- Campos, P.R.; de Oliveira, V.M.; Moreira, F.G.B. Small-world effects in the majority-vote model. Phys. Rev. E 2003, 67, 026104. [Google Scholar] [CrossRef] [PubMed]
- Lima, F.W.S. Majority-vote on Undirected Barabasi–Albert networks. Commun. Comput. Phys. 2007, 2, 358–366. [Google Scholar] [CrossRef]
- Jeong, D.; Hong, H.; Kim, B.J.; Choi, M.Y. Phase transition in the Ising model on a small-world network with distance-dependent interactions. Phys. Rev. E 2003, 68, 027101. [Google Scholar] [CrossRef] [PubMed]
- Gitterman, M. Small-world phenomena in physics: The Ising model. J. Phys. A 2000, 33, 8373. [Google Scholar] [CrossRef]
- Barrat, A.; Weight, M. On the properties of small-world network models. Eur. Phys. J. B 2000, 13, 547–560. [Google Scholar] [CrossRef]
- Pȩkalski, A. Ising model on a small world network. Phys. Rev. E 2001, 64, 057104. [Google Scholar] [CrossRef] [PubMed]
- Hong, H.; Kim, B.J.; Choi, MY. Comment on “Ising model on a small world network”. Phys. Rev. E 2002, 66, 018101. [Google Scholar] [CrossRef] [PubMed]
- Kim, B.J.; Hong, H.; Holme, P.; Jeon, G.S.; Minnhagen, P.; Choi, M.Y. XY model in small-world networks. Phys. Rev. E 2001, 64, 056135. [Google Scholar] [CrossRef] [PubMed]
- Novotny, M.A.; Wheeler, S.M. On the possibility of quasi small-world nanomaterials. Braz. J. Phys. 2004, 34, 395–400. [Google Scholar] [CrossRef]
- Zhang, Z. Critical Properties of Small World Ising models. Ph.D. Thesis, Mississippi State University, Starkville, MS, USA, 2005. [Google Scholar]
- Richards, H.L.; Sides, S.W.; Novotny, M.A.; Rikvold, P.A. Kinetic Ising systems as models of magnetization switching in submicron ferromagnets. J. Appl. Phys. 1996, 79, 5749–5751. [Google Scholar] [CrossRef]
- Herrero, C.P. Ising model in small-world networks. Phys. Rev. E 2002, 65, 066110. [Google Scholar] [CrossRef] [PubMed]
- Pereira, L.F.C.; Moreira, F.G.B. Majority-Vote model on random graphs. Phys. Rev. E 2005, 71, 016123. [Google Scholar] [CrossRef] [PubMed]
- Lima, F.W.S. Majority-vote on directed Barabasi–Albert networks. Int. J. Mod. Phys. C 2006, 7, 1257–1265. [Google Scholar] [CrossRef]
- Espriu, D; Gross, M.; Rakow, P.E.L.; Wheater, J.F. Random Lattices versus Regular Lattices. Prog. Theor. Phys. Suppl. 1986, 86, 304–321. [Google Scholar]
- Janke, W.; Katoot, M.; Villanova, R. Single-cluster Monte Carlo study of the Ising model on two-dimensional random lattices. Phys. Rev. B 1994, 49, 9644. [Google Scholar] [CrossRef]
- Wolff, U. Collective Monte Carlo updating for spin systems. Phys. Rev. Lett. 1989, 62, 361. [Google Scholar] [CrossRef] [PubMed]
- Ferrenberg, A.M.; Swendsen, R.H. New Monte Carlo technique for studying phase transitions. Phys. Rev. Lett. 1988, 61, 2635. [Google Scholar] [CrossRef] [PubMed]
- Lima, F.W.S.; Moreira, J.E.; Andrade, J.S., Jr; Costa, U.M.S. The ferromagnetic Ising model on a Voronoi–Delaunay lattice. Physica A 2000, 283, 100–106. [Google Scholar] [CrossRef]




| p | |||||
|---|---|---|---|---|---|
| z | ||||||
|---|---|---|---|---|---|---|
| 4 | ||||||
| 6 | ||||||
| 8 | ||||||
| 10 | ||||||
| 20 | ||||||
| 50 | ||||||
| 100 |
| z | |||||
|---|---|---|---|---|---|
| 2 | |||||
| 3 | |||||
| 4 | |||||
| 6 | |||||
| 8 | |||||
| 10 | |||||
| 20 | |||||
| 50 | |||||
| 100 |
| z | ||||||
|---|---|---|---|---|---|---|
| 2 | ||||||
| 3 | ||||||
| 4 | ||||||
| 6 | ||||||
| 8 | ||||||
| 10 | ||||||
| 20 | ||||||
| 50 | ||||||
| 100 |
| p | |||||
|---|---|---|---|---|---|
| p | ||||
|---|---|---|---|---|
© 2016 by the author; licensee MDPI, Basel, Switzerland. This article is an open access article distributed under the terms and conditions of the Creative Commons by Attribution (CC-BY) license (http://creativecommons.org/licenses/by/4.0/).
Share and Cite
De Sousa Lima, F.W. Phase Transitions in Equilibrium and Non-Equilibrium Models on Some Topologies. Entropy 2016, 18, 81. https://doi.org/10.3390/e18030081
De Sousa Lima FW. Phase Transitions in Equilibrium and Non-Equilibrium Models on Some Topologies. Entropy. 2016; 18(3):81. https://doi.org/10.3390/e18030081
Chicago/Turabian StyleDe Sousa Lima, Francisco W. 2016. "Phase Transitions in Equilibrium and Non-Equilibrium Models on Some Topologies" Entropy 18, no. 3: 81. https://doi.org/10.3390/e18030081
APA StyleDe Sousa Lima, F. W. (2016). Phase Transitions in Equilibrium and Non-Equilibrium Models on Some Topologies. Entropy, 18(3), 81. https://doi.org/10.3390/e18030081