You are currently viewing a new version of our website. To view the old version click .
Nanomaterials
  • Article
  • Open Access

6 August 2019

New Perspectives on the Electronic and Geometric Structure of Au70S20(PPh3)12 Cluster: Superatomic-Network Core Protected by Novel Au123-S)10 Staple Motifs

,
and
1
Department of Chemistry, Anhui University, Hefei 230601, China
2
School of Chemistry and Materials Engineering, Fuyang Normal University, Fuyang 236037, China
3
School of Social and Public Administration, East China University of Science and Technology, Shanghai 200237, China
4
Anhui Province Key Laboratory of Chemistry for Inorganic/Organic Hybrid Functionalized Materials, Anhui University, Hefei 230601, China
This article belongs to the Special Issue Supramolecular Gold Chemistry: From Atomically Precise Thiolate-Protected Gold Nanoclusters to Gold-Thiolate Nanostructures

Abstract

In order to increase the understanding of the recently synthesized Au70S20(PPh3)12 cluster, we used the divide and protect concept and superatom network model (SAN) to study the electronic and geometric of the cluster. According to the experimental coordinates of the cluster, the study of Au70S20(PPh3)12 cluster was carried out using density functional theory calculations. Based on the superatom complex (SAC) model, the number of the valence electrons of the cluster is 30. It is not the number of valence electrons satisfied for a magic cluster. According to the concept of divide and protect, Au70S20(PPh3)12 cluster can be viewed as Au-core protected by various staple motifs. On the basis of SAN model, the Au-core is composed of a union of 2e-superatoms, and 2e-superatoms can be Au3, Au4, Au5, or Au6. Au70S20(PPh3)12 cluster should contain fifteen 2e-superatoms on the basis of SAN model. On analyzing the chemical bonding features of Au70S20(PPh3)12, we showed that the electronic structure of it has a network of fifteen 2e-superatoms, abbreviated as 15 × 2e SAN. On the basis of the divide and protect concept, Au70S20(PPh3)12 cluster can be viewed as Au4616+[Au123-S)108−]2[PPh3]12. The Au4616+ core is composed of one Au2212+ innermost core and ten surrounding 2e-Au4 superatoms. The Au2212+ innermost core can either be viewed as a network of five 2e-Au6 superatoms, or be considered as a 10e-superatomic molecule. This new segmentation method can properly explain the structure and stability of Au70S20(PPh3)12 cluster. A novel extended staple motif [Au123-S)10]8− was discovered, which is a half-cage with ten µ3-S units and six teeth. The six teeth staple motif enriches the family of staple motifs in ligand-protected Au clusters. Au70S20(PPh3)12 cluster derives its stability from SAN model and aurophilic interactions. Inspired by the half-cage motif, we design three core-in-cage clusters with cage staple motifs, Cu6@Au123-S)8, Ag6@Au123-S)8 and Au6@Au123-S)8, which exhibit high thermostability and may be synthesized in future.

1. Introduction

Due to the applications in catalysis, optoelectronics, and photoluminescence, ligand-protected gold (Au-L) nanoclusters have drew much attention in both experiment [,,,,,] and theory [,,,,]. The synthesis of Au-L clusters contributes much to many areas of science and technology because they have interesting structures [,]. In the past few years, the metalloid thiolate-protected Au nanoclusters with µ3-S atoms have extended the family and potential applications of Au-L clusters. The experimentally determined metalloid Au-L clusters containing one or two µ3-S include Au21S(SR)15 [], Au30S(SR)18 [,], Au38S2(SR)20 [], and Au103S2(SR)41 clusters [], while Au30S2(SR)18 cluster is a structure from theoretical prediction []. A large metalloid Au108S24(PPh3)16 cluster with 24 µ3-S has been revealed, which consists of an octahedral Au44 core, an Au48S24 shell and 16 Au(PPh3) elements []. Very recently, Kenzler et al. has synthesized an intermediate size metalloid gold cluster Au70S20(PPh3)12, revealing an Au22 core surrounded by the Au48S20(PPh3)12 shell []. According to their report, Au4S4 unit is a central structural motif in the shell and they suggest that they could not elucidate a definite superatom character or distinct shell structure in the cluster. Thus, it is necessary to give a detailed study for the cluster, which may help to deeply understand the stability and structural nature of the cluster.
Häkkinen et al. proposed the divide-and-protect concept [], and Au-L clusters are composed of Au-core and staple motifs; Au-core is protected by staple motifs. The concept has been widely used to predict and analyze the structures of Au-L clusters [,,,,,,,,,]. The idea of staple motif has been introduced since the synthesis of Au102(SR)44 cluster, and Jadzinsky et al. termed it []. To date, various forms of staple motifs (-SR-(AuSR)x−) present in experimentally determined and theoretically predicted Au-L clusters. Monomer and dimer staple motifs present in Au102(SR)44 cluster []. Dimer staple motif also presents in Au36(SR)24 cluster []. Bridging -SR ligand and trimer staple motif exist in Au23(SR)16− cluster []. In addition, gold-thiolate rings present in Au20(SR)16 and Au22(SR)18 clusters [,]. The protecting motifs include Au and SR, or only SR; moreover, they have two legs. We have predicted a tridentate staple motif with three S legs in the synthesized Au30S(SR)18 cluster before []. According to the superatom complex (SAC) concept proposed by Häkkinen et al [], the number of valence electrons (V) for AumSn(SR)pq cluster is computed as bellow: V = m − 2npq, in which m, n and p are the numbers of Au, S and SR, respectively, whereas q is the charge of the cluster. The super shells for spherical Au clusters is |1S2|1P6|1D10|2S21F14|2P61G18|… (SPDFGH– denote angular-momentum characters), corresponded to magic numbers 2, 8, 18, 34, 58, …. According to SAC model, clusters with valence electrons 2, 8, 18, 34, 58, … present special stability and they are magic number clusters. The theoretically predicted Au12(SR)9+ and Au8(SR)6 are 2e magic clusters. Au25(SR)18, Au44(SR)282− and Au102(SR)44 are 8e, 18e and 58e magic number clusters, respectively. Cheng et al. introduced the superatom-network (SAN) model, which has been used to explore the stability of Au18(SR)14, Au20(SR)16, Au24(SR)20, Au44(SR)28 and Au22(SR)18 clusters [,,]. Based on the concept of SAN model, the Au-core of Au-L cluster can be viewed as a network of 2e Aun (n = 3, 4, 5 or 6) superatoms. The interactions between the superatoms are main non-bond interactions.
Here, we investigate the electronic and geometric structure of Au70S20(PPh3)12 to obtain deep understanding of it. Based on the superatom complex (SAC) model, this cluster is a 30e compound []. The number of valence electrons for Au70S20(PCH3)12 cluster does not satisfy the magic number electrons of SAC model. Kenzler et al. reported that the Au core of Au70S20(PPh3)12 cluster is Au22, and the protecting tetrahedral shell is composed of four Au4S4 units, four S atoms and 32 gold atoms, and no staple motif presents []. We are interested in the synthesized Au70S20(PPh3)12 cluster, which has 20 μ3-S atoms. Now that the number of the valence electrons does not satisfy the SAC model, why it is stable? How do the 20 μ3-S atoms protect the Au-core? What are the protecting motifs of the cluster? With these questions in mind, we tried to analyze the electronic and geometric structure of the cluster using existing theories and models. This work attempts to explain the structure and properties from a new perspective.

2. Materials and Methods

We start from the experimental structure of Au70S20(PPh3)12 determined as reported by Kenzler et al [] and the total charge is set to zero. Considering the calculation amount, we used CH3 instead of all the Ph ligands, and the structure was then relaxed using the Gaussian 09 software (Revision B 01; Gaussian, Inc., Wallingford, CT, USA) []. Density-functional theory (DFT) calculations were employed to optimize the geometric structure using Perdew–Burke–Ernzerhof (PBE0) functional []. The basis set of Au element is Lanl2dz, while 6-31G * is used for S, P, C, H elements. The molecular orbital (MO) and natural bond orbital (NBO) calculations of Au cores were also carried out at the same level, whereas the basis set of Au element was Lanl2mb. The adaptive natural density partitioning (AdNDP) method was used to analyze the chemical bonding patterns []. MOLEKEL software (version 5.4.0.8, Swiss National Supercomputing Centre, Manno, Switzerland) [] was used to view the chemical bonding patterns. The superatom-network (SAN) model was taken to analyze the chemical bonds in Au70S20(PPh3)12 cluster [].

3. Results and Discussion

3.1. Geometric Structure

The structure of the relaxed Au70S20(PCH3)12 cluster is given in Figure 1b, which is in D2 symmetry. The structural parameters computed here reproduce well with the experimental results.
Figure 1. (a) Single crystal XRD structure of Au70S20(PPh3)12 from [], reproduced with permission, Royal Society of Chemistry, 2017; (b) The optimized structure of Au70S20(PCH3)12 cluster. The cluster is obtained at the PBE0/LanL2dz(Au) and 6-31G *(S, C, P, H) level of theory. Au, yellow, S, purple; P, orange; C, gray, H, white.
Based on the divide-and-protect concept [], different building blocks were tried to find the proper segmentation mode. The cluster can be viewed as Au-core and protecting motifs. Through analysis on the structure, the protecting motifs include twelve separate PCH3 and (Au-S)n motifs. According to the segmentation analysis in Supplementary Materials, Au70S20(PCH3)12 cluster is divided into three parts as Figure 2 and Figure 3 show. Au70S20(PCH3)12 cluster can be written as Au70S20(PCH3)12 = [Au4616+][Au123-S)108−]2[PCH3]12. The core of the cluster is Au4616+ with two new [Au123-S)10]8− staple motifs and 12 PCH3 protecting it. The [Au123-S)10]8− staple motif containing ten µ3-S atoms is observed for the first time in Au-L clusters. As shown in Figure 2c and Figure 3c, [Au123-S)10]8− motif can be easily identified from the cluster. Worth noting is that [Au123-S)10]8− motif has six branches, which is obviously different from common staple motif and it is unprecedented in Aum(SR)n clusters. Each S atom is triply coordinated to the neighboring Au atoms in a µ3 bridging form. [Au123-S)10]8− motif has six S legs, thus we term it six-tooth staple motif. According to the theoretical studies by Jiang et al., other motifs than common staple motifs may exist []. Moreover, AuxSy unit is theoretically predicted existing in core-shell structures of AumSn clusters [,]. [Au12S8]4− anion presented in the synthesized crystal thioaurate [Ph4As]4[Au12S8]. The framework of [Au12S8]4− anion is a distorted cube, moreover, sulfur, and gold atoms locate at the corners and edge midpoints of the cubic structure, respectively [].
Figure 2. (a) Structural model of Au70S20(PCH3)12. The [Au123-S)10]8 and PCH3 protecting motifs are given as ball-and-stick models (Au, yellow; P, orange; S, pink; C, gray; H, white). The Au cores are shown as polyhedra. (b) Model of Au4616+ core, (c) Two [Au123-S)10]8 six-tooth staple motifs, (d) Model of twelve PCH3 protecting motif, (e) 6 × 2e SAN of Au2212+ core, (f) Au2612+ core, (g) Au4616+ core, (h) Two views of [Au123-S)10]8 staple motif.
Figure 3. (a) Structural model of Au70S20(PCH3)12. The [Au123-S)10]8 and PCH3 protecting motifs are given as ball-and-stick models (Au, yellow; P, orange; S, pink; C, gray; H, white). The Au cores are shown as polyhedra. (b) Model of Au4616+ core, (c) Two [Au123-S)10]8 staple motifs, (d) Model of twelve PCH3 protecting motif, (e) Au2212+ superatomic molecule, (f) Au2612+ core, (g) Au4616+ core.
The Au33-S) unit has been proposed as an elementary block and used to design a group of quasi-fullerence hollow-cage [Au3n3-S)2n]n− clusters with high stability []. [Au123-S)10]8− motif can be viewed as a part of [Au153-S)10]5− cluster, which is a half cage. Here, [Au123-S)10]8− six-tooth staple motif as a whole protects Au4616+ core. The configuration of the vertex-sharing Au7 core in Au4616+ core resembles those in Au28(SR)20 and Au20(SR)16 clusters [,]. From Figure 2, Au4616+ core is composed of five edge-sharing Au6, four vertex-sharing Au7 and two Au4 superatoms. The five Au6 superatoms compose an Au2212+ kernel. The valence electrons of Au2212+ core is 10e, which is also a 10e superatomic molecule (Figure 1c and Figure 3).
From Figure 2, we can see that the 12 terminal S legs in two [Au123-S)10]8− staple motifs connect to the neighboring Au7 cores. The two [Au123-S)10]8− motifs protect Au4616+ core from both top and bottom sides stabilizing the cluster. The average bond length of Au-S in [Au123-S)10]8− is 2.39 Å suggesting a covalent single bond. The average bond angle of ∠Au-S-Au is 94.7° and thus deviate only slightly from the ideal 90° expected for bonding involving the sulfur 3p orbitals. Gold attempts to maintain linearity with average bond angle of ∠S-Au-S being 171.4°.
Figure S1 gives Au–Au contacts in the optimized structure of Au70S20(PCH3)12 cluster: (a) Au22 innermost core is 5 × 2e SAN, (b) Au22 innermost core is a 10e-superatomic molecule. Also given are the aurophilic contacts between motifs and superatoms and the aurophilic contacts between superatoms. Noticeable gold–gold interactions (baby blue and black lines in Figure S1a,b, Supporting Materials) between the Au atoms in [Au123-S)10]8− and neighboring gold cores are present. The Au–Au aurophilic distances range from 2.82–3.01 Å, with the average Au–Au distance being 2.91 Å smaller than the Au–Au van der Waals radii (3.32 Å) [,]. The blue lines in Figure S1a label the aurophilic interactions between Au6 and Au4 cores, and the interactions between Au4 cores. The green lines in Figure S1b label the aurophilic interactions between Au22 and neighboring Au4 cores. The Au–Au distances range from 2.86–3.01 Å, and the average Au–Au distance is 2.93 Å. The short bond distance between Au and Au indicates strong aurophilic interactions. Thus, the interaction mode between six-tooth staple motifs and Au cores includes clamping and aurophilic interactions, which stabilize the Au70S20(PCH3)12 cluster. Here, the staple motif can extend to six-tooth mode. The staple motif only includes Au and S elements, which is obviously different from previous staple motifs. From above analysis, we can see that both the position of the six-tooth staple motifs and Au–Au contacts in the cluster dedicate to the stability of Au70S20(PCH3)12 cluster.

3.2. Chemical Bonding Analysis

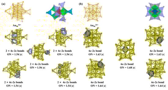
In order to verify the electronic structure of Au70S20(PCH3)12 cluster, we carried out chemical bonding analysis. The electronic structure of the cluster followed the SAN model, that is, it had a network of fifteen 2e-superatoms, abbreviated as 15 × 2e SAN, which contained five 2e-Au6 and ten 2e-Au4 superatoms. We took the Au4616+ core out of the cluster separately while keeping the structure identical to that in Au70S20(PCH3)12 cluster to analyze the chemical bonds. As expected, AdNDP analysis in Figure 4 indicated that there are 10 four-center-two-electron (4c–2e) bonds with occupancy numbers (ON) = 1.54−1.56 |e|, five 6c−2e bonds with ONs = 1.63−1.68 |e|. Vertex-sharing Au4 superatoms were present in the experimentally determined Au20(SR)16 and Au36(SR)24 clusters [,].
Figure 4. Structures, superatom-network models and adaptive natural density partitioning (AdNDP) localized natural bonding orbitals of (a) 4c–2e bonds (side view), (b) 6c–2e bonds (top view) in Au4616+ core of Au70S20(PCH3)12 cluster.
For purposes of confirming the segmentation scheme, the difference of Au–Au distances inside the Au46 core and those between Au46 core and two six-tooth staple motifs were recorded. Figure S2 (Supporting Materials) displays all the Au–Au distances, which include the distances between Au46 core and two six-tooth staple motifs (black dots), the Au–Au distances in Au22 core (red dots), in two Au4 superatoms on top and bottom of the cluster (blue dots), in the four pairs of vertex-sharing Au4 superatoms (purple dots). The average Au–Au distances of the above four groups were 2.90, 2.91, 2.82, and 2.86 Å, respectively. From the figure, we can see that, the Au–Au distances between Au46 core and two six-tooth staple motifs and distances in the Au22 core were relatively bigger than other two groups. The Au22 core was consistent with the former report []. The reason for the Au–Au distances in Au22 core being relatively bigger are probably that the repulsive interactions of Au atoms can be reduced in this way. Lower repulsion is helpful to form a Au22 core. The Au–Au distances in the ten Au4 superatoms were shorter than those between the Au-core and staple motifs, which follow the concept of SAN model. The shorter Au–Au distances were helpful to the formation of Au4 superatoms. In short, the existence of ten Au4 superatoms were reasonable, which has been supported from the viewpoint of Au–Au distances.
Further analysis of the innermost Au2212+ core was performed and the structure of Au2212+ core stayed the same as that in Au4616+ core. The results are given in Figure 5. From Figure 5a, we can see that Au2212+ core can be viewed as five edge-sharing Au6 superatoms. AdNDP analysis confirms that there are five 6c–2e bonds. ON is 1.83 |e| for the middle 6c–2e bond, while ONs are all 1.77 |e| for the marginal 6c–2e bonds. The Au9 kernel in Au18(SR)14 cluster consists of two Au6 superatoms [,]. Au2212+ core has 10 valence electrons which is identical to a N2 molecule, and it can be viewed as a super-N2 molecule. From Figure 5b, AdNDP analysis demonstrates that Au2212+ has two 11c–2e super 1S lone pairs with ONs being 1.91 |e|, one 22c–2e super-σ bond and two 22c–2e super π bonds with ONs being 2.00 |e|.
Figure 5. (a) Structure, superatom-network model and AdNDP localized natural bonding orbitals of Au2212+ core. (b) Structure, superatomic molecular model and AdNDP localized natural bonding orbitals of Au2212+ superatomic molecule.

3.3. Aromatic Analysis

NICS-scan method is proposed by Stanger, which is similar to the screen method of aromatic center and has been used to predict the aromatic properties of molecules and clusters [,,]. Here, we use NICS-scan method to further verify the existence of Au4 superatoms and we have demonstrated the existence of Au4 superatoms in Au20(SR)16, Au28(SR)20 and Au30S2(SR)18 clusters in our former work [,]. Figure 6 is the NICS-scan curve of Au4616+ core along the centers of two neighboring Au4 superatoms in the range of −6.0–6.0 Å. The position of NICS(0) is set at the midpoint of the geometric centers of two Au4 superatoms. Two views of the scan in Au4616+ have been given in the figure. Considering the symmetry of Au4616+, we only give one scan curve of the cluster. It is obvious that there are two dotted ovals in the figure, indicating two non-conjugate Au4 superatoms, which further support the SAN model. The NICS(0) values of the two Au4 superatoms are both −32.2 ppm much smaller than benzene molecule (−9.7 ppm), indicating strong aromaticity. The NICS-scan method is applied to verify Au4 superatoms in Au4616+ core, thus the Au4 superatoms are further verified from the aromatic view.
Figure 6. NICScc-scan curve of the Au4616+ core, which is the scan along the centers of the neighboring Au4 superatoms in the range of –6.0–6.0 Å. The red dotted ovals in the figure signal the presence of Au4 superatoms. The structures labeled in (a) and (b) indicate two views of the scan.

3.4. Cu6@Au123-S)8, Ag6@Au123-S)8, and Au6@Au123-S)8 Clusters

Worth noting is that [Au123-S)8]4− was experimentally crystallized earlier []. Meanwhile, the structure of [Au123-S)8]4− was theoretically studied []. We obtained the optimized structure and harmonic frequencies of [Au123-S)8]4− cluster at the level of PBE0/Lanl2dz(Au), 6-31G *(S). The optimized structure presented a cubic structure in Oh symmetry and the Au-S bond length is 2.38 Å. It was found that the harmonic vibrational frequencies of [Au123-S)8]4− were all positive. The HOMO-LUMO gap was 2.90 eV, further indicating its high stability.
Jiang et al. have predicted several core-in-cage gold sulfide AuxSy clusters observed in MALDI fragmentation of Au25(SR)18 cluster theoretically []. They stated that the Au core in the core-in-cage cluster may catalyze reactions. Inspired by the half-cage [Au123-S)10]8− staple motif, the cubic [Au123-S)8]4− cluster can be regarded as a cage staple motif. Thus, we designed three core-in-cage clusters, Cu6@Au123-S)8, Ag6@Au123-S)8, and Au6@Au123-S)8. The structures, models and AdNDP analysis of the three designed clusters are collected in Figure 7. The core-in-cage clusters can keep Oh symmetry after relaxation. The harmonic vibrational frequencies of the three clusters are all positive, indicating they are real local minima on potential energy surfaces. The infrared spectrograms (IR) of them are given in Figure S3. The HOMO-LUMO gaps of Cu6@Au123-S)8, Ag6@Au123-S)8, and Au6@Au123-S)8 clusters are 3.59, 2.97, and 2.87 eV, suggesting their high stability. Cu6@Au123-S)8 is more stable than other two clusters because Ag6 and Au6 are too large. The Cu–Au, Ag–Au and Au–Au distances between the atoms in core and cage of the three clusters are 2.63, 2.74 and 2.74 Å (Figure 7), respectively. All of them are smaller than the sum of their van der Waals radii (3.12, 3.38, and 3.32 Å) [], demonstrating that Cu–Au, Ag–Au, and Au–Au interactions play a dominant role in stabilizing the clusters. The cores of the designed clusters are all-metal, which are reminiscent of all-metal aromatic. Thus it is necessary to calculate the NICS(0) values to evaluate the stabilities. The NICS(0) values of Cu6@Au123-S)8, Ag6@Au123-S)8, and Au6@Au123-S)8 are −19.6, −17.0, and −17.9 ppm, respectively. The largely negative NICS(0) values of the cores exhibit that they are aromatic and stable. The aromaticity of the centers contributes to the stabilities of the clusters.
Figure 7. Structures, superatom models and AdNDP localized natural bonding orbitals of 6c-2e bonds in (a) Cu6@Au123-S)8, (b) Ag6@Au123-S)8, and (c) Au6@Au123-S)8 clusters. Cu, green; Ag, blue; Au, yellow; S, brown.
In order to study the thermodynamic stability of the Cu6@Au123-S)8, Ag6@Au123-S)8 and Au6@Au123-S)8 clusters, Cu6@Au123-S)8 cluster is taken as a test case. The thermodynamic stabilities of Cu6@Au123-S)8 cluster is further confirmed by ab initio molecular dynamics (AIMD) simulations. The AIMD studies of the cluster is carried out using Vienna ab initio simulation package (VASP) with PBE0 method [,]. Four different temperatures at 300, 500, 700, and 1000 K with a simulation time of 8ps have been performed. The AIMD simulations of Cu6@Au123-S)8 cluster are plotted in Figure S4. From the figure, it is obvious that the structure of Cu6@Au123-S)8 cluster can keep after simulation in the temperature range of 300–1000 K, indicating its high thermostability.
The chemical bonding patterns of the three clusters have been analyzed. According to the results of AdNDP analysis (see Figure S5), each M6@Au123-S)8 (M = Cu, Ag, and Au) cluster has 24 2c-2e Au-S σ bonds with ONs being 1.85, 1.83 and 1.82 |e|, respectively. From Figure 7, each cluster has one 6c–2e bond, and occupancy numbers of the three 6c–2e bonds in Cu6@Au123-S)8, Ag6@Au123-S)8 and Au6@Au123-S)8 are 1.90, 1.78, and 1.79 |e|, respectively.

4. Conclusions

In conclusion, we have explored the electronic and geometric structure of the recently determined Au70S20(PPh3)12 cluster on the basis of the divide-and-protect concept and SAN model. Au70S20(PPh3)12 cluster is a 30e-compound, which does not satisfy the magic number of SAC concept. Based on SAN model, the cluster has fifteen 2e-superatoms. The Au4616+ core is composed of one Au2212+ innermost core and ten surrounding 2e-Au4 superatoms. The Au2212+ innermost core can either be viewed as a network of five 2e-Au6 superatoms, or be considered as a 10e-superatomic molecule. When Au2212+ innermost core is viewed as a network of five 2e-Au6 superatoms, the Au4616+core can be described as a 15 × 2e SAN consisting of 10 × 2e Au4 and 5 × 2e Au6 superatoms. The vertex-sharing Au7 core exists in the experimentally determined Au20(SR)16 and Au36(SR)24 clusters. A new branching staple motif, six-tooth staple motif, [Au123-S)10]8−, is discovered in Au-L clusters for the first time. The six-tooth staple motif is obviously different from common staple motifs, which have six S legs. Here the newly discovered staple motif enriches the staple motif family. The NICS-san method has been used to confirm the presence of Au4 superatoms. The new segmentation method here can properly explain the structure and stability of Au70S20(PPh3)12 cluster. The reason for the stability and the nature of bonds have been given. Concretely, the six-tooth staple motifs, the superatom network, the aromatic of the superatoms and Au–Au interactions contribute to the stability of the cluster. We have designed three core-in-cage Cu6@Au123-S)8, Ag6@Au123-S)8, and Au6@Au123-S)8 clusters based on [Au123-S)8]4−. The three clusters are stable in Oh symmetry. Each of them has one 6c-2e bond in the core. Aromatic analysis reveals that they are aromatic molecules. The [Au123-S)8]4− cluster has been experimentally synthesized, and the three constructed clusters are stable based on our computation, thus the three designed clusters may be synthesized in future. Our work will provide some new perspectives to the electronic structure and stability of Au70S20(PPh3)12 cluster. The concept of half-cage and cage staple motif could offer some reference to future synthesis of Au-L clusters.

Supplementary Materials

The following are available online at https://www.mdpi.com/2079-4991/9/8/1132/s1, The segmentation method of Au70S20(PCH3)12 cluster. Figure S1: The Au–Au contacts in the optimized structure of Au70S20(PCH3)12 cluster. (a) Au22 innermost core is 5 × 2e SAN, (b) Au22 innermost core is a 10e-superatomic molecule. The baby blue and black lines in the structure indicate aurophilic contacts between motifs and superatoms, while blue and green lines show aurophilic contacts between superatoms. Figure S2: (a) The Au–Au bond distances between Au46 core and staple motifs, (b) the Au–Au distances in Au22 core, (c) the Au–Au distances in two Au4 superatoms on top and bottom of the cluster, (d) the Au–Au distances in the four pairs of vertex-sharing Au4 superatoms. Figure S3: IR spectra of Cu6@Au123-S)8, Ag6@Au123-S)8 and Au6@Au123-S)8 clusters. Figure S4: Geometric configuration of Cu6@Au123-S)8 at after 8 ps AIMD simulations at (a) 300 K, (b) 500 K, (c) 700 K and (d) 1000 K, respectively. Cu, green; Au, yellow; S, brown. Figure S5: Geometries (Cu, green; Ag, blue; Au, yellow) and AdNDP localized natural bonding orbitals of Au-S σ-bonds in (a) Cu6@Au123-S)8, (b) Ag6@Au123-S)8 and (c) Au6@Au123-S)8 clusters.

Author Contributions

Density functional theory (DFT) computations, Z.M.T.; data analysis, Z.M.T. and L.J.C., writing—original draft preparation, Z.M.T; writing—review and editing, Z.M.T. and L.J.C.; supervision, L.J.C.

Funding

This research was funded by the National Natural Science Foundation of China (21873001), the Foundation of Distinguished Young Scientists of Anhui Province and the financial support of the Fuyang Normal University (2017FSKJ01ZD).

Acknowledgments

The authors acknowledge the high-performance computing center of Anhui university.

Conflicts of Interest

The authors declare no conflict of interest.

References

  1. Jadzinsky, P.D.; Calero, G.; Ackerson, C.J.; Bushnell, D.A.; Kornberg, R.D. Structure of a thiol monolayer-protected gold nanoparticle at 1.1 Å resolution. Science 2007, 318, 430–433. [Google Scholar] [CrossRef]
  2. Zhu, M.Z.; Aikens, C.M.; Hollander, F.J.; Schatz, G.C.; Jin, R.C. Correlating the crystal structure of a thiol-protected Au25 cluster and optical properties. J. Am. Chem. Soc. 2008, 130, 5883–5885. [Google Scholar] [CrossRef] [PubMed]
  3. Yuan, S.F.; Li, P.; Tang, Q.; Wan, X.K.; Nan, Z.A.; Jiang, D.E.; Wang, Q.M. Alkynyl-protected silver nanoclusters featuring an anticuboctahedral kernel. Nanoscale 2017, 9, 11405–11409. [Google Scholar] [CrossRef] [PubMed]
  4. Das, A.; Li, T.; Nobusada, K.; Zeng, C.; Rosi, N.L.; Jin, R.C. Nonsuperatomic [Au23(SC6H11) 16] nanocluster featuring bipyramidal Au15 kernel and trimeric Au3(SR)4 motif. J. Am. Chem. Soc. 2013, 135, 18264–18267. [Google Scholar] [CrossRef] [PubMed]
  5. Dass, A.; Theivendran, S.; Nimmala, P.R.; Kumara, C.; Jupally, V.R.; Fortunelli, A.; Sementa, L.; Barcaro, G.; Zuo, X.B.; Noll, B.C. Au133(SPh-tBu)52 nanomolecules: X-ray crystallography, optical, electrochemical, and theoretical Analysis. J. Am. Chem. Soc. 2015, 137, 4610–4613. [Google Scholar] [CrossRef] [PubMed]
  6. Li, Y.F.; Chen, M.; Wang, S.X.; Zhu, M.Z. Intramolecular metal exchange reaction promoted by thiol ligands. Nanomaterials 2018, 8, 1070. [Google Scholar] [CrossRef] [PubMed]
  7. Pei, Y.; Gao, Y.; Shao, N.; Zeng, X.C. Thiolate-protected Au20 (SR)16 cluster: Prolate Au8 core with new [Au3(SR)4] staple motif. J. Am. Chem. Soc. 2009, 131, 13619–13621. [Google Scholar] [CrossRef]
  8. Pei, Y.; Tang, J.; Tang, X.Q.; Huang, Y.Q.; Zeng, X.C. New structure model of Au22(SR)18: Bitetrahederon golden kernel enclosed by [Au6(SR)6] Au(I) complex. J. Phys. Chem. Lett. 2015, 6, 1390–1395. [Google Scholar] [CrossRef]
  9. Jiang, D.E.; Walter, M.; Akola, J. On the structure of a thiolated gold cluster: Au44(SR)282−. J. Phys. Chem. C 2010, 114, 15883–15889. [Google Scholar] [CrossRef]
  10. Malola, S.; Lehtovaara, L.; Knoppe, S.; Hu, K.J.; Palmer, R.E.; Bürgi, T.; Häkkinen, H. Au40(SR)24 cluster as a chiral dimer of 8-electron superatoms: Structure and optical properties. J. Am. Chem. Soc. 2012, 134, 19560–19563. [Google Scholar] [CrossRef]
  11. Tlahuice-Flores, A. Ligand effects on the optical and chiroptical properties of the thiolated Au18 cluster. Phys. Chem. Chem. Phys. 2016, 18, 27738–27744. [Google Scholar] [CrossRef] [PubMed]
  12. Muñoz-Castro, A.; Maturana, R.G. Understanding planar ligand-supported MAu5 and MAu6 cores. Theoretical survey of [MAu5(Mes)5] and [MAu6(Mes)6] (M = Cu, Ag, Au; Mes = 2, 4, 6-Me3C6H2) under the planar superatom model. J. Phys. Chem. C 2014, 118, 21185–21191. [Google Scholar] [CrossRef]
  13. Jin, R.C.; Zeng, C.J.; Zhou, M.Z.; Chen, Y.X. Atomically precise colloidal metal nanoclusters and nanoparticles: Fundamentals and opportunities. Chem. Rev. 2016, 116, 10346–10413. [Google Scholar] [CrossRef] [PubMed]
  14. Jones, T.C.; Sementa, L.; Stener, M.; Gagnon, K.J.; Thanthirige, V.D.; Ramakrishna, G.; Fortunelli, A.; Dass, A. Au21S(SAdm)15: Crystal structure, mass spectrometry, optical spectroscopy, and first-principles theoretical analysis. J. Phys. Chem. C 2017, 121, 10865–10869. [Google Scholar] [CrossRef]
  15. Yang, H.Y.; Wang, Y.; Edwards, A.J.; Yan, J.Z.; Zheng, N.F. High-yield synthesis and crystal structure of a green Au30 cluster co-capped by thiolate and sulfide. Chem. Commun. 2014, 50, 14325–14327. [Google Scholar] [CrossRef] [PubMed]
  16. Crasto, D.; Malola, S.; Brosofsky, G.; Dass, A.; Häkkinen, H. Single crystal XRD structure and theoretical analysis of the chiral Au30S(S-t-Bu)18 cluster. J. Am. Chem. Soc. 2014, 136, 5000–5005. [Google Scholar] [CrossRef] [PubMed]
  17. Liu, C.; Li, T.; Li, G.; Nobusada, K.; Zeng, C.J.; Pang, G.; Rosi, N.L.; Jin, R.C. Observation of body-centered cubic gold nanocluster. Angew. Chem. Int. Ed. 2015, 54, 9826–9829. [Google Scholar] [CrossRef]
  18. Higaki, T.; Liu, C.; Zhou, M.; Luo, T.Y.; Rosi, N.L.; Jin, R.C. Tailoring the structure of 58-electron gold nanoclusters: Au103S2(S-Nap)41 and its implications. J. Am. Chem. Soc. 2017, 139, 9994–10001. [Google Scholar] [CrossRef] [PubMed]
  19. Tian, Z.M.; Cheng, L.J. Electronic and geometric structures of Au30 clusters: A network of 2e-superatom Au cores protected by tridentate protecting motifs with μ3-S. Nanoscale 2016, 8, 826–834. [Google Scholar] [CrossRef] [PubMed]
  20. Kenzler, S.; Schrenk, C.; Schnepf, A. Au108S24(PPh3)16: A highly symmetric nanoscale gold cluster confirms the general concept of metalloid clusters. Angew. Chem. Int. Ed. 2017, 56, 393–396. [Google Scholar] [CrossRef]
  21. Kenzler, S.; Schrenk, C.; Frojd, A.R.; Hakkinen, H.; Clayborne, A.Z.; Schnepf, A. Au70S20(PPh3)12: An intermediate sized metalloid gold cluster stabilized by the Au4S4 ring motif and Au-PPh3 groups. Chem. Commun. 2018, 54, 248–251. [Google Scholar] [CrossRef] [PubMed]
  22. Häkkinen, H.; Walter, M.; Grönbeck, H. Divide and protect: Capping gold nanoclusters with molecular gold-thiolate rings. J. Phys. Chem. B 2006, 110, 9927–9931. [Google Scholar] [CrossRef] [PubMed]
  23. Heaven, M.W.; Dass, A.; White, P.S.; Holt, K.M.; Murray, R.W. Crystal structure of the gold nanoparticle [N(C8H17)4] [Au25(SCH2CH2Ph)18]. J. Am. Chem. Soc. 2008, 130, 3754–3755. [Google Scholar] [CrossRef] [PubMed]
  24. Pei, Y.; Gao, Y.; Zeng, X.C. Structural prediction of thiolate-protected Au38: A face-fused bi-icosahedral Au core. J. Am. Chem. Soc. 2008, 130, 7830–7832. [Google Scholar] [CrossRef] [PubMed]
  25. Lopez-Acevedo, O.; Akola, J.; Whetten, R.L.; Gronbeck, H.; Häkkinen, H. Structure and bonding in the ubiquitous icosahedral metallic gold cluster Au144(SR)60. J. Phys. Chem. C 2009, 113, 5035–5038. [Google Scholar] [CrossRef]
  26. Knoppe, S.; Wong, O.A.; Malola, S.; Häkkinen, H.; Bürgi, T.; Verbiest, T.; Ackerson, C.J. Chiral phase transfer and enantioenrichment of thiolate-protected Au102 clusters. J. Am. Chem. Soc. 2014, 136, 4129–4132. [Google Scholar] [CrossRef]
  27. Xu, W.W.; Gao, Y.; Zeng, X.C. Unraveling structures of protection ligands on gold nanoparticle Au68(SH)32. Sci. Adv. 2015, 1, e1400211. [Google Scholar] [CrossRef] [PubMed]
  28. Xu, W.W.; Li, Y.; Gao, Y.; Zeng, X.C. Medium-sized Au40(SR)24 and Au52(SR)32 nanoclusters with distinct gold-kernel structures and spectroscopic features. Nanoscale 2016, 8, 1299–1304. [Google Scholar] [CrossRef]
  29. Xiong, L.; Peng, B.; Ma, Z.; Wang, P.; Pei, Y. A ten-electron (10e) thiolate-protected Au29(SR)19 cluster: Structure prediction and a ‘gold-atom insertion, thiolate-group elimination’ mechanism. Nanoscale 2017, 9, 2895–2902. [Google Scholar] [CrossRef]
  30. Xu, W.W.; Zhu, B.; Zeng, X.C.; Gao, Y. A grand unified model for liganded gold clusters. Nat. Commun. 2016, 7, 13574. [Google Scholar] [CrossRef]
  31. Xu, W.W.; Zeng, X.C.; Gao, Y. The structural isomerism in gold nanoclusters. Nanoscale 2018, 10, 9476–9483. [Google Scholar] [CrossRef] [PubMed]
  32. Ma, Z.Y.; Wang, P.; Xiong, L.; Pei, Y. Thiolate-protected gold nanoclusters: Structural prediction and the understandings of electronic stability from first principles simulations. WIREs Comput. Mol. Sci. 2017, 7, e1315. [Google Scholar] [CrossRef]
  33. Nimmala, P.R.; Knoppe, S.; Jupally, V.R.; Delcamp, J.H.; Aikens, C.M.; Dass, A. Au36(SPh)24 nanomolecules: X-ray crystal structure, optical spectroscopy, electrochemistry, and theoretical analysis. J. Phys. Chem. B 2014, 118, 14157–14167. [Google Scholar] [CrossRef] [PubMed]
  34. Zeng, C.J.; Liu, C.; Chen, Y.X.; Rosi, N.L.; Jin, R.C. Gold-thiolate ring as a protecting motif in the Au20(SR)16 nanocluster and implications. J. Am. Chem. Soc. 2014, 136, 11922–11925. [Google Scholar] [CrossRef] [PubMed]
  35. Walter, M.; Akola, J.; Lopez-Acevedo, O.; Jadzinsky, P.D.; Calero, G.; Ackerson, C.J.; Whetten, R.L.; Grönbeck, H.; Häkkinen, H. A unified view of ligand-protected gold clusters as superatom complexes. Proc. Natl. Acad. Sci. USA 2008, 105, 9157–9162. [Google Scholar] [CrossRef] [PubMed]
  36. Cheng, L.J.; Yuan, Y.; Zhang, X.Z.; Yang, J.L. Superatom networks in thiolate-protected gold nanoparticles. Angew. Chem. Int. Ed. 2013, 52, 9035–9039. [Google Scholar] [CrossRef] [PubMed]
  37. Pei, Y.; Lin, S.S.; Su, J.C.; Liu, C.Y. Structure prediction of Au44(SR)28: A chiral superatom cluster. J. Am. Chem. Soc. 2013, 135, 19060–19063. [Google Scholar] [CrossRef] [PubMed]
  38. Frisch, M.J.; Schlegel, H.B.; Scuseria, G.E.; Robb, M.A.; Cheeseman, J.R.; Scalmani, G.; Barone, V.; Mennucci, B.; Petersson, G.A.; Nakatsuji, H.; et al. Gaussian 09, Revision B 01; Gaussian, Inc.: Wallingford, CT, USA, 2009. [Google Scholar]
  39. Perdew, J.P.; Burke, K.; Ernzerhof, M. Generalized gradient approximation made simple. Phys. Rev. Lett. 1996, 77, 3865–3868. [Google Scholar] [CrossRef]
  40. Zubarev, D.Y.; Boldyrev, A.I. Developing paradigms of chemical bonding: Adaptive natural density partitioning. Phys. Chem. Chem. Phys. 2008, 10, 5207–5217. [Google Scholar] [CrossRef]
  41. Varetto, U. MOLEKEL, version 5.4.0.8; Swiss National Supercomputing Centre: Manno, Switzerland, 2009. Available online: http://ugovaretto.github.io/molekel/wiki/pmwiki.php/Main/HomePage.html (accessed on 1 August 2019).
  42. Jiang, D.E.; Walter, M.; Dai, S. Gold sulfide nanoclusters: A unique core-in-cage structure. Chem. Eur. J. 2010, 16, 4999–5003. [Google Scholar] [CrossRef]
  43. Pei, Y.; Shao, N.; Li, H.; Jiang, D.E.; Zeng, X.C. Hollow polyhedral structures in small gold-sulfide clusters. ACS Nano 2011, 5, 1441–1449. [Google Scholar] [CrossRef] [PubMed]
  44. Feng, Y.Q.; Cheng, L.J. Structural evolution of (Au2S) n (n = 1-8) clusters from first principles global optimization. RSC Adv. 2015, 5, 62543–62550. [Google Scholar] [CrossRef]
  45. Gerolf, M.; Joachim, S. Synthesis and crystal Structure of [Ph4As]4[Au12S8], a distorted cubane-like thioaurate(I). Angew. Chem. Int. Ed. Engl. 1984, 23, 715–716. [Google Scholar] [CrossRef]
  46. Xu, W.W.; Zeng, X.C.; Gao, Y. (Au33-S) (0e) elementary block: New insights into ligated gold clusters with μ3-sulfido motifs. Nanoscale 2017, 9, 8990–8996. [Google Scholar] [CrossRef] [PubMed]
  47. Knoppe, S.; Malola, S.; Lehtovaara, L.; Bürgi, T.; Häkkinen, H. Electronic structure and optical properties of the thiolate-protected Au28(SMe)20 Cluster. J. Phys. Chem. A 2013, 117, 10526–10533. [Google Scholar] [CrossRef]
  48. Pyykkö, P.; Mendizabal, F. Theory of d10-d10 closed-shell attraction. III. rings. Inorg. Chem. 1998, 37, 3018–3025. [Google Scholar] [CrossRef]
  49. Pekka, P.; Nino, R.; Fernando, M. Theory of the d10-d10 closed-shell attraction: 1. dimers near equilibrium. Chem. Eur. J. 1997, 3, 1451–1457. [Google Scholar] [CrossRef]
  50. Chen, S.; Wang, S.X.; Zhong, J.; Song, Y.B.; Zhang, J.; Sheng, H.T.; Pei, Y.; Zhu, M.Z. The structure and optical properties of the [Au18(SR)14] nanocluster. Angew. Chem. Int. Ed. 2015, 54, 3145–3149. [Google Scholar] [CrossRef]
  51. Das, A.; Liu, C.; Byun, H.Y.; Nobusada, K.; Zhao, S.; Rosi, N.; Jin, R.C. Structure determination of [Au18(SR)14]. Angew. Chem. 2015, 127, 3183–3187. [Google Scholar] [CrossRef]
  52. Stanger, A. Nucleus-independent chemical shifts (NICS): Distance dependence and revised criteria for aromaticity and antiaromaticity. J. Org. Chem. 2006, 71, 883–893. [Google Scholar] [CrossRef]
  53. Tian, Z.M.; Cheng, L.J. First principles study on the structural evolution and properties of (MCl)n (n = 1–12, M = Cu, Ag) clusters. RSC Adv. 2016, 6, 30311–30319. [Google Scholar] [CrossRef]
  54. Yuan, Y.; Cheng, L. B142+: A magic number double-ring cluster. J. Chem. Phys. 2012, 137, 044308. [Google Scholar] [CrossRef] [PubMed]
  55. Bondi, A. Van der Waals volumes and radii. J. Phys. Chem. 1964, 68, 441–451. [Google Scholar] [CrossRef]
  56. Kresse, G.; Furthmüller, J. Efficient iterative schemes for ab initio total-energy calculations using a plane-wave basis set. Phys. Rev. B 1996, 54, 11169–11186. [Google Scholar] [CrossRef] [PubMed]

Article Metrics

Citations

Article Access Statistics

Multiple requests from the same IP address are counted as one view.