Prognostic Role of Multiparametric Cardiac Magnetic Resonance in Neo Transfusion-Dependent Thalassemia
Abstract
1. Introduction
2. Materials and Methods
2.1. Patient Population
2.2. Magnetic Resonance Imaging
2.3. Diagnostic Criteria and Follow-Up
2.4. Statistical Analysis
3. Results
3.1. Baseline Data
3.2. Characterization of Patients Who Experienced a Cardiovascular Event
3.3. Prediction of Cardiovascular Events
3.4. Best Cutoff of RV Mass Index for Risk Prediction
3.5. Effect of Prior History of Cardiac Complications on Outcomes
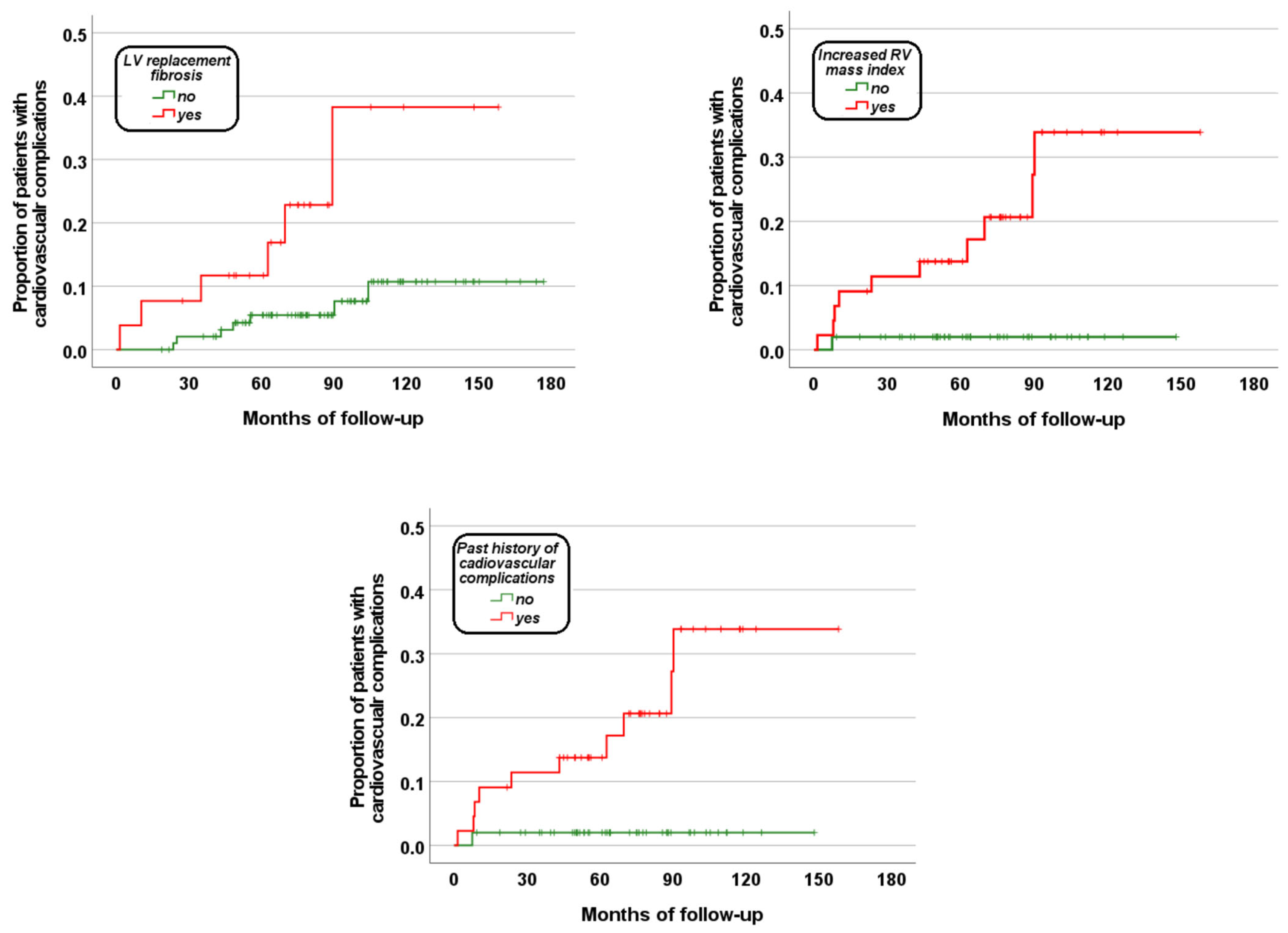
3.6. Kaplan–Meier Survival Curves
4. Discussion
Study Limitations
5. Conclusions
Author Contributions
Funding
Institutional Review Board Statement
Informed Consent Statement
Data Availability Statement
Acknowledgments
Conflicts of Interest
References
- Weatherall, D.J.; Clegg, J.B. The Thalassemia Syndromes; Blackwell Science: Oxford, UK, 2001. [Google Scholar]
- Muncie, H.L., Jr.; Campbell, J. Alpha and beta thalassemia. Am. Fam. Physician 2009, 80, 339–344. [Google Scholar] [PubMed]
- Ali, S.; Mumtaz, S.; Shakir, H.A.; Khan, M.; Tahir, H.M.; Mumtaz, S.; Mughal, T.A.; Hassan, A.; Kazmi, S.A.R.; Sadia; et al. Current status of beta-thalassemia and its treatment strategies. Mol. Genet. Genom. Med. 2021, 9, e1788. [Google Scholar] [CrossRef] [PubMed]
- Weatherall, D.J. The definition and epidemiology of non-transfusion-dependent thalassemia. Blood Rev. 2012, 26 (Suppl. 1), S3–S6. [Google Scholar] [CrossRef] [PubMed]
- Cappellini, M.D.; Cohen, A.; Porter, J.; Taher, A.; Viprakasit, V. Guidelines for the Management of Transfusion Dependent Thalassaemia (TDT), 3rd ed.; Thalassaemia International Federation: Nicosia, CY, USA, 2014. [Google Scholar]
- Musallam, K.M.; Rivella, S.; Vichinsky, E.; Rachmilewitz, E.A. Non-transfusion-dependent thalassemias. Haematologica 2013, 98, 833–844. [Google Scholar] [CrossRef] [PubMed]
- Ricchi, P.; Meloni, A.; Pistoia, L.; Spasiano, A.; Gamberini, M.R.; Maggio, A.; Gerardi, C.; Messina, G.; Campisi, S.; Allo, M.; et al. Longitudinal follow-up of patients with thalassaemia intermedia who started transfusion therapy in adulthood: A cohort study. Br. J. Haematol. 2020, 191, 107–114. [Google Scholar] [CrossRef] [PubMed]
- Taher, A.T.; Radwan, A.; Viprakasit, V. When to consider transfusion therapy for patients with non-transfusion-dependent thalassaemia. Vox Sang. 2015, 108, 1–10. [Google Scholar] [CrossRef] [PubMed]
- Taher, A.; Vichinsky, E.; Musallam, K.; Cappellini, M.D.; Viprakasit, V. Guidelines for the Management of Non Transfusion Dependent Thalassaemia (NTDT); Thalassaemia International Federation: Nicosia, CY, USA, 2013. [Google Scholar]
- Karimi, M.; Musallam, K.M.; Cappellini, M.D.; Daar, S.; El-Beshlawy, A.; Saned, M.S.; Temraz, S.; Koussa, S.; Taher, A.T. Risk factors for pulmonary hypertension in patients with beta thalassemia intermedia. Eur. J. Intern. Med. 2011, 22, 607–610. [Google Scholar] [CrossRef]
- Musallam, K.M.; Cappellini, M.D.; Viprakasit, V.; Kattamis, A.; Rivella, S.; Taher, A.T. Revisiting the non-transfusion-dependent (NTDT) vs. transfusion-dependent (TDT) thalassemia classification 10 years later. Am. J. Hematol. 2021, 96, E54–E56. [Google Scholar] [CrossRef]
- Ozment, C.P.; Turi, J.L. Iron overload following red blood cell transfusion and its impact on disease severity. Biochim. Biophys. Acta 2009, 1790, 694–701. [Google Scholar] [CrossRef]
- Gordeuk, V.R.; Bacon, B.R.; Brittenham, G.M. Iron overload: Causes and consequences. Annu. Rev. Nutr. 1987, 7, 485–508. [Google Scholar] [CrossRef]
- Shander, A.; Cappellini, M.D.; Goodnough, L.T. Iron overload and toxicity: The hidden risk of multiple blood transfusions. Vox Sang. 2009, 97, 185–197. [Google Scholar] [CrossRef] [PubMed]
- Galaris, D.; Barbouti, A.; Pantopoulos, K. Iron homeostasis and oxidative stress: An intimate relationship. Biochim. Biophys. Acta Mol. Cell Res. 2019, 1866, 118535. [Google Scholar] [CrossRef] [PubMed]
- Grothues, F.; Moon, J.C.; Bellenger, N.G.; Smith, G.S.; Klein, H.U.; Pennell, D.J. Interstudy reproducibility of right ventricular volumes, function, and mass with cardiovascular magnetic resonance. Am. Heart J. 2004, 147, 218–223. [Google Scholar] [CrossRef] [PubMed]
- Petersen, S.E.; Aung, N.; Sanghvi, M.M.; Zemrak, F.; Fung, K.; Paiva, J.M.; Francis, J.M.; Khanji, M.Y.; Lukaschuk, E.; Lee, A.M.; et al. Reference ranges for cardiac structure and function using cardiovascular magnetic resonance (CMR) in Caucasians from the UK Biobank population cohort. J. Cardiovasc. Magn. Reson. 2017, 19, 18. [Google Scholar] [CrossRef] [PubMed]
- Messroghli, D.R.; Moon, J.C.; Ferreira, V.M.; Grosse-Wortmann, L.; He, T.; Kellman, P.; Mascherbauer, J.; Nezafat, R.; Salerno, M.; Schelbert, E.B.; et al. Clinical recommendations for cardiovascular magnetic resonance mapping of T1, T2, T2* and extracellular volume: A consensus statement by the Society for Cardiovascular Magnetic Resonance (SCMR) endorsed by the European Association for Cardiovascular Imaging (EACVI). J. Cardiovasc. Magn. Reson. 2017, 19, 75. [Google Scholar] [PubMed]
- Ferreira, V.M.; Piechnik, S.K. CMR Parametric Mapping as a Tool for Myocardial Tissue Characterization. Korean Circ. J. 2020, 50, 658–676. [Google Scholar] [CrossRef] [PubMed]
- Wood, J.C. Impact of iron assessment by MRI. Hematol. Am. Soc. Hematol. Educ. Program 2011, 2011, 443–450. [Google Scholar] [CrossRef] [PubMed]
- Carpenter, J.P.; He, T.; Kirk, P.; Roughton, M.; Anderson, L.J.; de Noronha, S.V.; Sheppard, M.N.; Porter, J.B.; Walker, J.M.; Wood, J.C.; et al. On T2* magnetic resonance and cardiac iron. Circulation 2011, 123, 1519–1528. [Google Scholar] [CrossRef]
- Meloni, A.; Maggio, A.; Positano, V.; Leto, F.; Angelini, A.; Putti, M.C.; Maresi, E.; Pucci, A.; Basso, C.; Marra, M.P.; et al. CMR for Myocardial Iron Overload Quantification: Calibration Curve from the MIOT Network. Eur. Radiol. 2020, 29, 2246–2252. [Google Scholar] [CrossRef]
- Meloni, A.; Pistoia, L.; Gamberini, M.R.; Ricchi, P.; Cecinati, V.; Sorrentino, F.; Cuccia, L.; Allo, M.; Righi, R.; Fina, P.; et al. The Link of Pancreatic Iron with Glucose Metabolism and Cardiac Iron in Thalassemia Intermedia: A Large, Multicenter Observational Study. J. Clin. Med. 2021, 10, 5561. [Google Scholar] [CrossRef]
- Dahiya, A.; Vollbon, W.; Jellis, C.; Prior, D.; Wahi, S.; Marwick, T. Echocardiographic assessment of raised pulmonary vascular resistance: Application to diagnosis and follow-up of pulmonary hypertension. Heart 2010, 96, 2005–2009. [Google Scholar] [CrossRef] [PubMed]
- Lindsay, J., Jr.; Meshel, J.C.; Patterson, R.H. The cardiovascular manifestations of sickle cell disease. Arch. Intern. Med. 1974, 133, 643–651. [Google Scholar] [CrossRef] [PubMed]
- Kremastinos, D.T.; Tsiapras, D.P.; Tsetsos, G.A.; Rentoukas, E.I.; Vretou, H.P.; Toutouzas, P.K. Left ventricular diastolic Doppler characteristics in beta-thalassemia major. Circulation 1993, 88, 1127–1135. [Google Scholar] [CrossRef] [PubMed]
- Ramazzotti, A.; Pepe, A.; Positano, V.; Rossi, G.; De Marchi, D.; Brizi, M.G.; Luciani, A.; Midiri, M.; Sallustio, G.; Valeri, G.; et al. Multicenter validation of the magnetic resonance t2* technique for segmental and global quantification of myocardial iron. J. Magn. Reson. Imaging 2009, 30, 62–68. [Google Scholar] [CrossRef] [PubMed]
- Meloni, A.; Luciani, A.; Positano, V.; De Marchi, D.; Valeri, G.; Restaino, G.; Cracolici, E.; Caruso, V.; Dell’amico, M.C.; Favilli, B.; et al. Single region of interest versus multislice T2* MRI approach for the quantification of hepatic iron overload. J. Magn. Reson. Imaging 2011, 33, 348–355. [Google Scholar] [CrossRef] [PubMed]
- Meloni, A.; Positano, V.; Pepe, A.; Rossi, G.; Dell’Amico, M.; Salvatori, C.; Keilberg, P.; Filosa, A.; Sallustio, G.; Midiri, M.; et al. Preferential patterns of myocardial iron overload by multislice multiecho T*2 CMR in thalassemia major patients. Magn. Reson. Med. 2010, 64, 211–219. [Google Scholar] [CrossRef] [PubMed]
- Positano, V.; Pepe, A.; Santarelli, M.F.; Scattini, B.; De Marchi, D.; Ramazzotti, A.; Forni, G.; Borgna-Pignatti, C.; Lai, M.E.; Midiri, M.; et al. Standardized T2* map of normal human heart in vivo to correct T2* segmental artefacts. NMR Biomed. 2007, 20, 578–590. [Google Scholar] [CrossRef]
- Wood, J.C.; Enriquez, C.; Ghugre, N.; Tyzka, J.M.; Carson, S.; Nelson, M.D.; Coates, T.D. MRI R2 and R2* mapping accurately estimates hepatic iron concentration in transfusion-dependent thalassemia and sickle cell disease patients. Blood 2005, 106, 1460–1465. [Google Scholar] [CrossRef]
- Cerqueira, M.D.; Weissman, N.J.; Dilsizian, V.; Jacobs, A.K.; Kaul, S.; Laskey, W.K.; Pennell, D.J.; Rumberger, J.A.; Ryan, T.; Verani, M.S. Standardized myocardial segmentation and nomenclature for tomographic imaging of the heart. A statement for healthcare professionals from the Cardiac Imaging Committee of the Council on Clinical Cardiology of the American Heart Association. Circulation 2002, 105, 539–542. [Google Scholar]
- Meloni, A.; Righi, R.; Missere, M.; Renne, S.; Schicchi, N.; Gamberini, M.R.; Cuccia, L.; Lisi, R.; Spasiano, A.; Roberti, M.G.; et al. Biventricular Reference Values by Body Surface Area, Age, and Gender in a Large Cohort of Well-Treated Thalassemia Major Patients Without Heart Damage Using a Multiparametric CMR Approach. J. Magn. Reson. Imaging 2021, 53, 61–70. [Google Scholar] [CrossRef]
- Aquaro, G.D.; Camastra, G.; Monti, L.; Lombardi, M.; Pepe, A.; Castelletti, S.; Maestrini, V.; Todiere, G.; Masci, P.; di Giovine, G.; et al. Reference values of cardiac volumes, dimensions, and new functional parameters by MR: A multicenter, multivendor study. J. Magn. Reson. Imaging 2017, 45, 1055–1067. [Google Scholar] [CrossRef] [PubMed]
- Meloni, A.; Favilli, B.; Positano, V.; Cianciulli, P.; Filosa, A.; Quarta, A.; D’Ascola, D.; Restaino, G.; Lombardi, M.; Pepe, A. Safety of cardiovascular magnetic resonance gadolinium chelates contrast agents in patients with hemoglobinopaties. Haematologica 2009, 94, 1625–1627. [Google Scholar] [CrossRef] [PubMed]
- Pepe, A.; Positano, V.; Capra, M.; Maggio, A.; Pinto, C.L.; Spasiano, A.; Forni, G.; Derchi, G.; Favilli, B.; Rossi, G.; et al. Myocardial scarring by delayed enhancement cardiovascular magnetic resonance in thalassaemia major. Heart 2009, 95, 1688–1693. [Google Scholar] [CrossRef]
- Anderson, L.J.; Holden, S.; Davis, B.; Prescott, E.; Charrier, C.C.; Bunce, N.H.; Firmin, D.N.; Wonke, B.; Porter, J.; Walker, J.M.; et al. Cardiovascular T2-star (T2*) magnetic resonance for the early diagnosis of myocardial iron overload. Eur. Heart J. 2001, 22, 2171–2179. [Google Scholar] [CrossRef] [PubMed]
- Angelucci, E.; Brittenham, G.M.; McLaren, C.E.; Ripalti, M.; Baronciani, D.; Giardini, C.; Galimberti, M.; Polchi, P.; Lucarelli, G. Hepatic iron concentration and total body iron stores in thalassemia major. N. Engl. J. Med. 2000, 343, 327–331. [Google Scholar] [CrossRef] [PubMed]
- McDonagh, T.A.; Metra, M.; Adamo, M.; Gardner, R.S.; Baumbach, A.; Bohm, M.; Burri, H.; Butler, J.; Celutkiene, J.; Chioncel, O.; et al. 2021 ESC Guidelines for the diagnosis and treatment of acute and chronic heart failure. Eur. Heart J. 2021, 42, 3599–3726. [Google Scholar] [CrossRef] [PubMed]
- Cogliandro, T.; Derchi, G.; Mancuso, L.; Mayer, M.C.; Pannone, B.; Pepe, A.; Pili, M.; Bina, P.; Cianciulli, P.; De Sanctis, V.; et al. Guideline recommendations for heart complications in thalassemia major. J. Cardiovasc. Med. 2008, 9, 515–525. [Google Scholar] [CrossRef]
- Pepe, A.; Meloni, A.; Rossi, G.; Midiri, M.; Missere, M.; Valeri, G.; Sorrentino, F.; D’Ascola, D.G.; Spasiano, A.; Filosa, A.; et al. Prediction of cardiac complications for thalassemia major in the widespread cardiac magnetic resonance era: A prospective multicentre study by a multi-parametric approach. Eur. Heart J. Cardiovasc. Imaging 2018, 19, 299–309. [Google Scholar] [CrossRef]
- Kirk, P.; Roughton, M.; Porter, J.B.; Walker, J.M.; Tanner, M.A.; Patel, J.; Wu, D.; Taylor, J.; Westwood, M.A.; Anderson, L.J.; et al. Cardiac T2* magnetic resonance for prediction of cardiac complications in thalassemia major. Circulation 2009, 120, 1961–1968. [Google Scholar] [CrossRef]
- Meloni, A.; Pistoia, L.; Gamberini, M.R.; Cuccia, L.; Lisi, R.; Cecinati, V.; Ricchi, P.; Gerardi, C.; Restaino, G.; Righi, R.; et al. Multi-Parametric Cardiac Magnetic Resonance for Prediction of Heart Failure Death in Thalassemia Major. Diagnostics 2023, 13, 890. [Google Scholar] [CrossRef]
- Aessopos, A.; Farmakis, D.; Hatziliami, A.; Fragodimitri, C.; Karabatsos, F.; Joussef, J.; Mitilineou, E.; Diamanti-Kandaraki, E.; Meletis, J.; Karagiorga, M. Cardiac status in well-treated patients with thalassemia major. Eur. J. Haematol. 2004, 73, 359–366. [Google Scholar] [CrossRef] [PubMed]
- Meloni, A.; Detterich, J.; Pepe, A.; Harmatz, P.; Coates, T.D.; Wood, J.C. Pulmonary hypertension in well-transfused thalassemia major patients. Blood Cells Mol. Dis. 2015, 54, 189–194. [Google Scholar] [CrossRef] [PubMed]
- Atichartakarn, V.; Chuncharunee, S.; Chandanamattha, P.; Likittanasombat, K.; Aryurachai, K. Correction of hypercoagulability and amelioration of pulmonary arterial hypertension by chronic blood transfusion in an asplenic hemoglobin E/beta-thalassemia patient. Blood 2004, 103, 2844–2846. [Google Scholar] [CrossRef] [PubMed]
- Aessopos, A.; Kati, M.; Meletis, J. Thalassemia intermedia today: Should patients regularly receive transfusions? Transfusion 2007, 47, 792–800. [Google Scholar] [CrossRef] [PubMed]
- Apostolakis, S.; Konstantinides, S. The right ventricle in health and disease: Insights into physiology, pathophysiology and diagnostic management. Cardiology 2012, 121, 263–273. [Google Scholar] [CrossRef] [PubMed]
- Kawut, S.M.; Poor, H.D.; Parikh, M.A.; Hueper, K.; Smith, B.M.; Bluemke, D.A.; Lima, J.A.C.; Prince, M.R.; Hoffman, E.A.; Austin, J.H.M.; et al. Cor Pulmonale Parvus in Chronic Obstructive Pulmonary Disease and Emphysema. J. Am. Coll. Cardiol. 2014, 64, 2000–2009. [Google Scholar] [CrossRef] [PubMed]
- Bhattacharya, P.T.; Ellison, M.B. Right Ventricular Hypertrophy. In StatPearls; StatPearls Publishing LLC: Treasure Island, FL, USA, 2023. [Google Scholar]
- Kawut, S.M.; Barr, R.G.; Lima, J.A.C.; Praestgaard, A.; Johnson, W.C.; Chahal, H.; Ogunyankin, K.O.; Bristow, M.R.; Kizer, J.R.; Tandri, H.; et al. Right Ventricular Structure Is Associated with the Risk of Heart Failure and Cardiovascular Death. Circulation 2012, 126, 1681–1688. [Google Scholar] [CrossRef] [PubMed]
- Chatterjee, N.A.; Shah, R.V.; Murthy, V.L.; Praestgaard, A.; Shah, S.J.; Ventetuolo, C.E.; Barr, R.G.; Kronmal, R.; Lima, J.A.C.; Bluemke, D.A.; et al. Right Ventricular Structure and Function Are Associated with Incident Atrial Fibrillation. Circ. Arrhythmia Electrophysiol. 2017, 10, e004738. [Google Scholar] [CrossRef]
- Ventetuolo, C.E.; Lima, J.A.C.; Barr, R.G.; Bristow, M.R.; Bagiella, E.; Chahal, H.; Kizer, J.R.; Lederer, D.J.; Bluemke, D.A.; Kawut, S.M. The Renin-Angiotensin System and Right Ventricular Structure and Function: The MESA-Right Ventricle Study. Pulm. Circ. 2012, 2, 379–386. [Google Scholar] [CrossRef]
- Meloni, A.; Pistoia, L.; Quota, A.; Messina, G.; Ricchi, P.; Bagnato, S.; Gerardi, C.; Lisi, R.; Cuccia, L.; Renne, S.; et al. Prognostic value of multiparametric cardiac magnetic resonance in sickle cell patients. Ann. Hematol. 2023, 102, 261–270. [Google Scholar] [CrossRef]
- O’Hanlon, R.; Grasso, A.; Roughton, M.; Moon, J.C.; Clark, S.; Wage, R.; Webb, J.; Kulkarni, M.; Dawson, D.; Sulaibeekh, L.; et al. Prognostic Significance of Myocardial Fibrosis in Hypertrophic Cardiomyopathy. J. Am. Coll. Cardiol. 2010, 56, 867–874. [Google Scholar] [CrossRef]
- Bruder, O.; Wagner, A.; Jensen, C.J.; Schneider, S.; Ong, P.; Kispert, E.-M.; Nassenstein, K.; Schlosser, T.; Sabin, G.V.; Sechtem, U.; et al. Myocardial Scar Visualized by Cardiovascular Magnetic Resonance Imaging Predicts Major Adverse Events in Patients with Hypertrophic Cardiomyopathy. J. Am. Coll. Cardiol. 2010, 56, 875–887. [Google Scholar] [CrossRef] [PubMed]
- Roes, S.D.; Kelle, S.; Kaandorp, T.A.; Kokocinski, T.; Poldermans, D.; Lamb, H.J.; Boersma, E.; van der Wall, E.E.; Fleck, E.; de Roos, A.; et al. Comparison of myocardial infarct size assessed with contrast-enhanced magnetic resonance imaging and left ventricular function and volumes to predict mortality in patients with healed myocardial infarction. Am. J. Cardiol. 2007, 100, 930–936. [Google Scholar] [CrossRef] [PubMed]
- Kuruvilla, S.; Adenaw, N.; Katwal, A.B.; Lipinski, M.J.; Kramer, C.M.; Salerno, M. Late gadolinium enhancement on cardiac magnetic resonance predicts adverse cardiovascular outcomes in nonischemic cardiomyopathy: A systematic review and meta-analysis. Circ. Cardiovasc. Imaging 2014, 7, 250–258. [Google Scholar] [CrossRef] [PubMed]
- Bing, R.; Dweck, M.R. Myocardial fibrosis: Why image, how to image and clinical implications. Heart 2019, 105, 1832–1840. [Google Scholar] [CrossRef] [PubMed]
- Mewton, N.; Liu, C.Y.; Croisille, P.; Bluemke, D.; Lima, J.A.C. Assessment of Myocardial Fibrosis With Cardiovascular Magnetic Resonance. J. Am. Coll. Cardiol. 2011, 57, 891–903. [Google Scholar] [CrossRef] [PubMed]
- Suksaranjit, P.; Akoum, N.; Kholmovski, E.G.; Stoddard, G.J.; Chang, L.; Damal, K.; Velagapudi, K.; Rassa, A.; Bieging, E.; Challa, S.; et al. Incidental LV LGE on CMR Imaging in Atrial Fibrillation Predicts Recurrence After Ablation Therapy. JACC Cardiovasc. Imaging 2015, 8, 793–800. [Google Scholar] [CrossRef]
- Li, S.; Zhao, L.; Ma, X.; Bai, R.; Tian, J.; Selvanayagam, J.B. Left ventricular fibrosis by extracellular volume fraction and the risk of atrial fibrillation recurrence after catheter ablation. Cardiovasc. Diagn. Ther. 2019, 9, 578–585. [Google Scholar] [CrossRef]
- Torlasco, C.; Cassinerio, E.; Roghi, A.; Faini, A.; Capecchi, M.; Abdel-Gadir, A.; Giannattasio, C.; Parati, G.; Moon, J.C.; Cappellini, M.D.; et al. Role of T1 mapping as a complementary tool to T2* for non-invasive cardiac iron overload assessment. PLoS ONE 2018, 13, e0192890. [Google Scholar] [CrossRef]
- Meloni, A.; Martini, N.; Positano, V.; De Luca, A.; Pistoia, L.; Sbragi, S.; Spasiano, A.; Casini, T.; Bitti, P.P.; Allò, M.; et al. Myocardial iron overload by cardiovascular magnetic resonance native segmental T1 mapping: A sensitive approach that correlates with cardiac complications. J. Cardiovasc. Magn. Reson. 2021, 23, 70. [Google Scholar] [CrossRef]
- Oakes, R.S.; Badger, T.J.; Kholmovski, E.G.; Akoum, N.; Burgon, N.S.; Fish, E.N.; Blauer, J.J.; Rao, S.N.; Di Bella, E.V.; Segerson, N.M.; et al. Detection and quantification of left atrial structural remodeling with delayed-enhancement magnetic resonance imaging in patients with atrial fibrillation. Circulation 2009, 119, 1758–1767. [Google Scholar] [CrossRef]
- Toupin, S.; Pezel, T.; Bustin, A.; Cochet, H. Whole-Heart High-Resolution Late Gadolinium Enhancement: Techniques and Clinical Applications. J. Magn. Reson. Imaging 2022, 55, 967–987. [Google Scholar] [CrossRef]


| Variable | All Patients (N = 180) | No Cardiovascular Events (N = 162) | Cardiovascular Events (N = 18) | p-Value |
| Females, N (%) | 106 (58.9) | 96 (59.3) | 10 (55.6) | 0.762 |
| Age (years) | 38.25 ± 11.24 | 37.97 ± 11.59 | 40.78 ± 6.99 | 0.191 |
| Splenectomy, N (%) | 153 (85.0) | 135 (83.3) | 18 (100.0) | 0.079 |
| Chelation therapy, N (%) | 170 (94.4) | 153 (94.4) | 17 (94.4) | 1.000 |
| Transfusional units in the last 12 months (N) | 26.76 ± 10.19 | 26.69 ± 10.24 | 27.42 ± 10.26 | 0.801 |
| Pre-transfusion hemoglobin (g/dL) | 9.22 ± 0.79 | 9.22 ± 0.81 | 9.22 ± 0.63 | 0.847 |
| Serum ferritin (ng/L) | 1146.29 ± 987.58 | 1150.01 ± 999.39 | 1113.94 ± 905.19 | 0.906 |
| MRI LIC (mg/g/dw) | 9.77 ± 11.96 | 9.73 ± 12.33 | 10.09 ± 8.08 | 0.457 |
| MRI LIC ≥ 3 mg/g/dw, N (%) | 132 (73.3) | 118 (72.8) | 14 (77.8) | 0.784 |
| Global heart T2* (ms) | 34.85 ± 9.89 | 35.30 ± 9.64 | 30.74 ± 11.46 | 0.052 |
| Global heart T2* < 20 ms, N (%) | 21 (11.7) | 17 (10.5) | 4 (22.2) | 0.235 |
| No. of segments with T2* < 20 ms | 2.16 ± 4.72 | 2.02 ± 4.55 | 3.39 ± 6.12 | 0.556 |
| LV EDVI (mL/m2) | 90.23 ± 18.62 | 89.38 ± 18.18 | 97.59 ± 21.25 | 0.076 |
| LV mass index (g/m2) | 60.84 ± 13.38 | 60.60 ± 13.51 | 62.88 ± 12.33 | 0.486 |
| LV EF (%) | 63.55 ± 6.39 | 63.51 ± 6.29 | 63.89 ± 7.40 | 0.811 |
| RV EDVI (mL/m2) | 84.98 ± 19.87 | 83.35 ± 18.82 | 99.11 ± 23.49 | 0.013 |
| RV mass index (g/m2) | 21.99 ± 6.52 | 20.99 ± 4.38 | 29.57 ± 12.91 | 0.014 |
| RV EF (%) | 64.27 ± 6.61 | 64.54 ± 6.48 | 61.94 ± 7.47 | 0.116 |
| LV replacement fibrosis, N (%) | 26/125 (20.8) | 20/112 (17.9) | 6/13 (46.2) | 0.017 |
| LA area index (cm2/m2) | 13.89 ± 2.58 | 13.77 ± 2.60 | 14.71 ± 2.28 | 0.105 |
| RA area index (cm2/m2) | 12.74 ± 2.22 | 12.61 ± 2.08 | 13.70 ± 2.89 | 0.132 |
| Univariate Analysis | ||
| HR (95% CI) | p-Value | |
| Female gender | 0.83 (0.33–2.11) | 0.694 |
| Age | 1.03 (0.99–1.08) | 0.145 |
| Splenectomy | 25.34 (0.08–8587.24) | 0.277 |
| Chelation therapy | 0.90 (0.12–6.79) | 0.920 |
| Pre-transfusion hemoglobin | 0.98 (0.53–1.83) | 0.952 |
| Serum ferritin | 1.00 (0.99–1.00) | 0.725 |
| MRI LIC | 0.99 (0.97–1.04) | 0.963 |
| Global heart T2* | 0.97 (0.93–1.01) | 0.086 |
| No. of segments with T2* < 20 ms | 1.05 (0.97–1.13) | 0.250 |
| LV EDVI | 1.02 (0.99–1.05) | 0.116 |
| LV mass index | 1.01 (0.98–1.05) | 0.504 |
| LV EF | 1.03 (0.95–1.11) | 0.469 |
| RV EDVI | 1.04 (1.02–1.06) | 0.001 |
| RV mass index | 1.14 (1.08–1.20) | <0.0001 |
| RV EF | 0.96 (0.89–1.03) | 0.209 |
| LV replacement fibrosis | 4.21 (1.39–12.69) | 0.011 |
| LA area index | 1.17 (0.98–1.39) | 0.081 |
| RA area index | 1.23 (1.01–1.51) | 0.044 |
Disclaimer/Publisher’s Note: The statements, opinions and data contained in all publications are solely those of the individual author(s) and contributor(s) and not of MDPI and/or the editor(s). MDPI and/or the editor(s) disclaim responsibility for any injury to people or property resulting from any ideas, methods, instructions or products referred to in the content. |
© 2024 by the authors. Licensee MDPI, Basel, Switzerland. This article is an open access article distributed under the terms and conditions of the Creative Commons Attribution (CC BY) license (https://creativecommons.org/licenses/by/4.0/).
Share and Cite
Meloni, A.; Pistoia, L.; Ricchi, P.; Maggio, A.; Cecinati, V.; Longo, F.; Sorrentino, F.; Borsellino, Z.; Salvo, A.; Rossi, V.; et al. Prognostic Role of Multiparametric Cardiac Magnetic Resonance in Neo Transfusion-Dependent Thalassemia. J. Clin. Med. 2024, 13, 1281. https://doi.org/10.3390/jcm13051281
Meloni A, Pistoia L, Ricchi P, Maggio A, Cecinati V, Longo F, Sorrentino F, Borsellino Z, Salvo A, Rossi V, et al. Prognostic Role of Multiparametric Cardiac Magnetic Resonance in Neo Transfusion-Dependent Thalassemia. Journal of Clinical Medicine. 2024; 13(5):1281. https://doi.org/10.3390/jcm13051281
Chicago/Turabian StyleMeloni, Antonella, Laura Pistoia, Paolo Ricchi, Aurelio Maggio, Valerio Cecinati, Filomena Longo, Francesco Sorrentino, Zelia Borsellino, Alessandra Salvo, Vincenza Rossi, and et al. 2024. "Prognostic Role of Multiparametric Cardiac Magnetic Resonance in Neo Transfusion-Dependent Thalassemia" Journal of Clinical Medicine 13, no. 5: 1281. https://doi.org/10.3390/jcm13051281
APA StyleMeloni, A., Pistoia, L., Ricchi, P., Maggio, A., Cecinati, V., Longo, F., Sorrentino, F., Borsellino, Z., Salvo, A., Rossi, V., Grassedonio, E., Restaino, G., Renne, S., Righi, R., Positano, V., & Cademartiri, F. (2024). Prognostic Role of Multiparametric Cardiac Magnetic Resonance in Neo Transfusion-Dependent Thalassemia. Journal of Clinical Medicine, 13(5), 1281. https://doi.org/10.3390/jcm13051281

