Effect of Operational Parameters on the Removal of Carbamazepine and Nutrients in a Submerged Ceramic Membrane Bioreactor
Abstract
:1. Introduction
2. Materials and Methods
2.1. Chemicals
2.2. Simulated Wastewater
2.3. Bioreactor Configuration and Operation
2.4. Modeling by Full-Factorial Design (FFD)
2.5. Analytical Methods
3. Results and Discussion
3.1. Biodegradation Efficiency and CBZ Removal
3.2. Model Fitting and Statistical Analysis
3.3. CBZ Removal
3.4. COD Removal
3.5. Ammonia Removal
3.6. Phosphorus Removal
3.7. Process Optimization
4. Conclusions
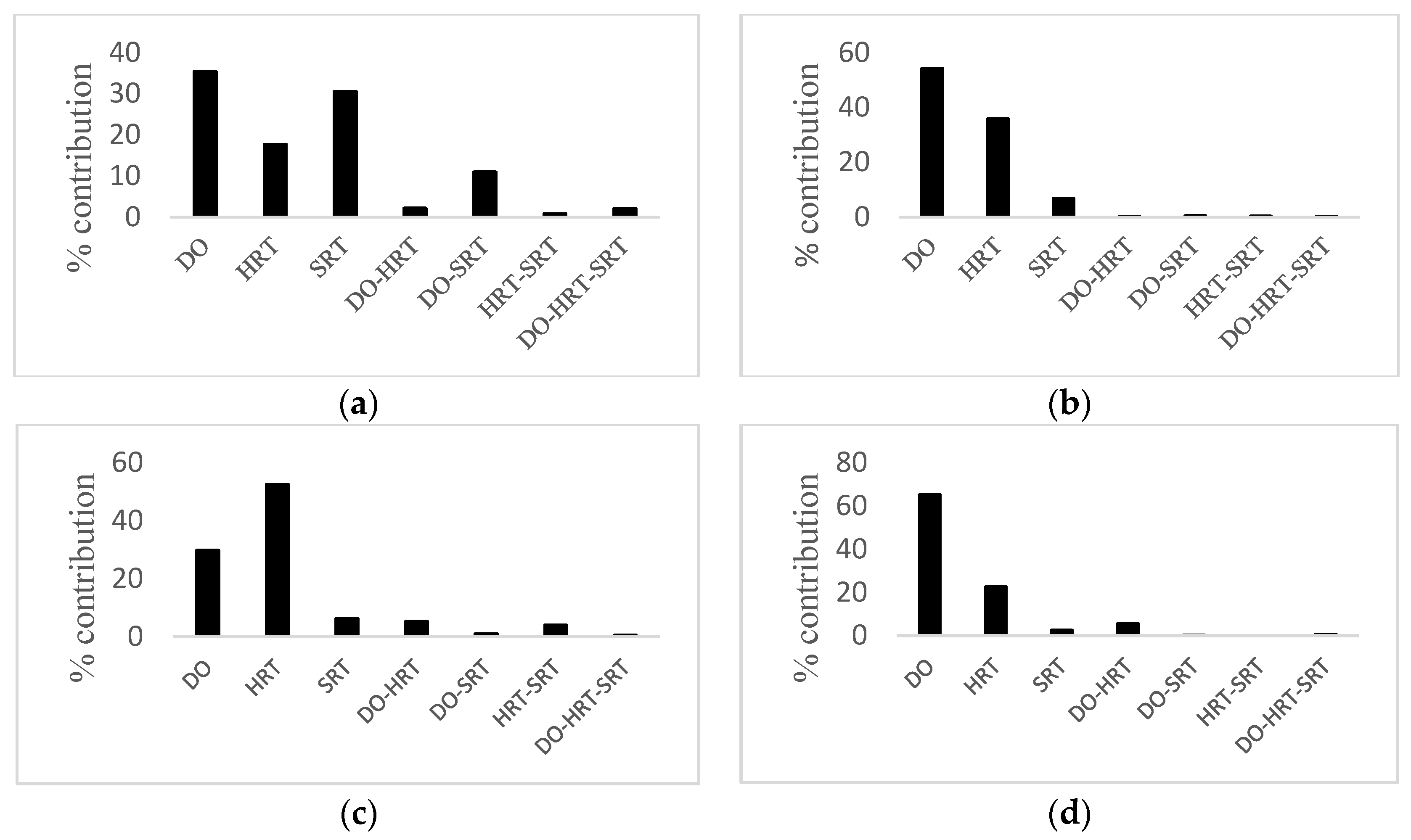
- Significant analysis of main and interaction effects revealed that the relative importance of significant parameters and interaction factors could be observed as follows: (a) for CBZ removal, when DO (A) and SRT (C) were increased, a decrease in removal efficiency was observed, with DO’s effect being a little greater than that of SRT, while a short SRT might significantly impact the research model. HRT had a slight positive effect on CBZ removal; (b) COD removal: the response was more dependent on A than B while confirming a small effect of C on removal efficiency. The AB, AC, BC, and ABC interactions were not significant model terms. The system showed good performance for COD removal, with removal efficiencies ranging between 70% and 99% over the experiments; (c) for ammonia removal, positive coefficients indicated an increasing effect of A and B on the response, while the AB, AC, BC, and ABC interactions were not significant model terms. It was observed that an increase in removal rate was due to increased DO, HRT, and SRT; (d) for phosphorus removal, A and B were significant model terms. The interactions between AB, AC, BC, and ABC were not significant model terms, and removal efficiency was inversely proportional to DO, HRT, and SRT.
- Optimization of the process was found at DO, HRT, and SRT of 1.7 mg/L, 24 h, and 5 days for maximum CBZ, COD, ammonia, and phosphorus removal that obtained removal efficiencies 37.08, 88.23, 90.12, and −7.48 %, respectively.
- The flat-sheet ceramic MBR demonstrated efficiency removals as high as 38.36 ± 4.49%, as CBZ is known to be a somewhat recalcitrant compound.
- To eliminate CBZ in the permeate, future studies require the combination of the MBR process with other treatments, such as advanced oxidation processes (AOPs) or adsorption.
Supplementary Materials
Author Contributions
Funding
Institutional Review Board Statement
Informed Consent Statement
Data Availability Statement
Conflicts of Interest
References
- Daughton, C.G.; Ternes, T.A. Pharmaceuticals and Personal Care Products in the Environment: Agents of Subtle Change? Environ. Health Perspect. 1999, 107, 907–938. [Google Scholar] [CrossRef] [PubMed]
- Fang, T.-H.; Lin, C.-W.; Kao, C.-H. Occurrence and Distribution of Pharmaceutical Compounds in the Danshuei River Estuary and the Northern Taiwan Strait. Mar. Pollut. Bull. 2019, 146, 509–520. [Google Scholar] [CrossRef] [PubMed]
- Lin, A.Y.-C.; Panchangam, S.C.; Chen, H.-Y. Implications of Human Pharmaceutical Occurrence in the Sindian River of Taiwan: A Strategic Study of Risk Assessment. J. Environ. Monit. 2010, 12, 261–270. [Google Scholar] [PubMed]
- Dao, K.C.; Yang, C.-C.; Chen, K.-F.; Tsai, Y.-P. Recent Trends in Removal Pharmaceuticals and Personal Care Products by Electrochemical Oxidation and Combined Systems. Water 2020, 12, 1043. [Google Scholar] [CrossRef] [Green Version]
- Kosma, C.I.; Lambropoulou, D.A.; Albanis, T.A. Occurrence and Removal of PPCPs in Municipal and Hospital Wastewaters in Greece. J. Hazard. Mater. 2010, 179, 804–817. [Google Scholar] [CrossRef]
- Oliveira, T.S.; Murphy, M.; Mendola, N.; Wong, V.; Carlson, D.; Waring, L. Characterization of Pharmaceuticals and Personal Care Products in Hospital Effluent and Waste Water Influent/Effluent by Direct-Injection LC-MS-MS. Sci. Total Environ. 2015, 518, 459–478. [Google Scholar] [CrossRef]
- Frick, E.A.; Henderson, A.K.; Moll, D.M.; Furlong, E.T.; Meyer, M.T. Presence of Pharmaceuticals in Wastewater Effluent and Drinking Water, Metropolitan Atlanta, Georgia, July-September 1999. In Proceedings of the 2001 Georgia Water Resources Conference; Georgia Institute of Technology: Athens, GA, USA, 2001. [Google Scholar]
- Hartig, C.; Storm, T.; Jekel, M. Detection and Identification of Sulphonamide Drugs in Municipal Waste Water by Liquid Chromatography Coupled with Electrospray Ionisation Tandem Mass Spectrometry. J. Chromatogr. A 1999, 854, 163–173. [Google Scholar] [CrossRef]
- Meyer, M.T.; Bumgarner, J.E.; Varns, J.L.; Daughtridge, J.V.; Thurman, E.M.; Hostetler, K.A. Use of Radioimmunoassay as a Screen for Antibiotics in Confined Animal Feeding Operations and Confirmation by Liquid Chromatography/Mass Spectrometry. Sci. Total Environ. 2000, 248, 181–187. [Google Scholar] [CrossRef]
- Miao, X.-S.; Metcalfe, C.D. Determination of Carbamazepine and Its Metabolites in Aqueous Samples Using Liquid Chromatography− Electrospray Tandem Mass Spectrometry. Anal. Chem. 2003, 75, 3731–3738. [Google Scholar] [CrossRef]
- Molinari, R.; Pirillo, F.; Loddo, V.; Palmisano, L. Heterogeneous Photocatalytic Degradation of Pharmaceuticals in Water by Using Polycrystalline TiO2 and a Nanofiltration Membrane Reactor. Catal. Today 2006, 118, 205–213. [Google Scholar] [CrossRef] [Green Version]
- Zhang, Y.; Geißen, S.-U.; Gal, C. Carbamazepine and Diclofenac: Removal in Wastewater Treatment Plants and Occurrence in Water Bodies. Chemosphere 2008, 73, 1151–1161. [Google Scholar] [CrossRef] [PubMed]
- Mohapatra, D.P.; Brar, S.K.; Tyagi, R.D.; Picard, P.; Surampalli, R.Y. Analysis and Advanced Oxidation Treatment of a Persistent Pharmaceutical Compound in Wastewater and Wastewater Sludge-Carbamazepine. Sci. Total Environ. 2014, 470, 58–75. [Google Scholar] [CrossRef] [PubMed]
- Ternes, T.A.; Herrmann, N.; Bonerz, M.; Knacker, T.; Siegrist, H.; Joss, A. A Rapid Method to Measure the Solid–Water Distribution Coefficient (Kd) for Pharmaceuticals and Musk Fragrances in Sewage Sludge. Water Res. 2004, 38, 4075–4084. [Google Scholar] [CrossRef]
- Clara, M.; Strenn, B.; Kreuzinger, N. Carbamazepine as a Possible Anthropogenic Marker in the Aquatic Environment: Investigations on the Behaviour of Carbamazepine in Wastewater Treatment and during Groundwater Infiltration. Water Res. 2004, 38, 947–954. [Google Scholar] [CrossRef]
- Smith, C.V., Jr. The Use of Ultrafiltration Membrane for Activated Sludge Separation. In Proceedings of the 24th Annual Purdue Industrial Waste Conference; Purdue University: West Lafayette, IN, USA, 1969; pp. 1300–1310. [Google Scholar]
- Yamamoto, K.; Hiasa, M.; Mahmood, T.; Matsuo, T. Direct Solid-Liquid Separation Using Hollow Fiber Membrane in an Activated Sludge Aeration Tank. In Water Pollution Research and Control Brighton; Elsevier: Amsterdam, The Netherlands, 1988; pp. 43–54. [Google Scholar]
- Nghiem, L.D.; Schäfer, A.I.; Elimelech, M. Removal of Natural Hormones by Nanofiltration Membranes: Measurement, Modeling, and Mechanisms. Environ. Sci. Technol. 2004, 38, 1888–1896. [Google Scholar] [CrossRef]
- Yoon, Y.; Westerhoff, P.; Snyder, S.A.; Wert, E.C. Nanofiltration and Ultrafiltration of Endocrine Disrupting Compounds, Pharmaceuticals and Personal Care Products. J. Membr. Sci. 2006, 270, 88–100. [Google Scholar] [CrossRef]
- Akamatsu, K.; Lu, W.; Sugawara, T.; Nakao, S. Development of a Novel Fouling Suppression System in Membrane Bioreactors Using an Intermittent Electric Field. Water Res. 2010, 44, 825–830. [Google Scholar] [CrossRef]
- Montgomery, D.C. Design and Analysis of Experiments; John Wiley & Sons: Hoboken, NJ, USA, 2017; ISBN 1-119-11347-4. [Google Scholar]
- Gottipati, R.; Mishra, S. Process Optimization of Adsorption of Cr (VI) on Activated Carbons Prepared from Plant Precursors by a Two-Level Full Factorial Design. Chem. Eng. J. 2010, 160, 99–107. [Google Scholar] [CrossRef]
- Seki, Y.; Seyhan, S.; Yurdakoc, M. Removal of Boron from Aqueous Solution by Adsorption on Al2O3 Based Materials Using Full Factorial Design. J. Hazard. Mater. 2006, 138, 60–66. [Google Scholar] [CrossRef]
- Hui, Y.H. Handbook of Food Science, Technology, and Engineering; CRC Press: Boca Raton, FL, USA, 2006; Volume 149, ISBN 0-8493-9849-5. [Google Scholar]
- Onsekizoglu, P.; Bahceci, K.S.; Acar, J. The Use of Factorial Design for Modeling Membrane Distillation. J. Membr. Sci. 2010, 349, 225–230. [Google Scholar] [CrossRef]
- American Public Health Association. APHA Standard Methods for the Examination of Water and Wastewater; APHA-AWWA-WEF: Washington, DC, USA, 2005. [Google Scholar]
- Weatherburn, M.W. Phenol-Hypochlorite Reaction for Determination of Ammonia. Anal. Chem. 1967, 39, 971–974. [Google Scholar] [CrossRef]
- Alturki, A.A.; Tadkaew, N.; McDonald, J.A.; Khan, S.J.; Price, W.E.; Nghiem, L.D. Combining MBR and NF/RO Membrane Filtration for the Removal of Trace Organics in Indirect Potable Water Reuse Applications. J. Membr. Sci. 2010, 365, 206–215. [Google Scholar] [CrossRef]
- Aubenneau, M.; Tahar, A.; Casellas, C.; Wisniewski, C. Membrane Bioreactor for Pharmaceutically Active Compounds Removal: Effects of Carbamazepine on Mixed Microbial Communities Implied in the Treatment. Process Biochem. 2010, 45, 1826–1831. [Google Scholar] [CrossRef]
- García-Gómez, C.; Drogui, P.; Seyhi, B.; Gortáres-Moroyoqui, P.; Buelna, G.; Estrada-Alvgarado, M.I.; Alvarez, L.H. Combined Membrane Bioreactor and Electrochemical Oxidation Using Ti/PbO2 Anode for the Removal of Carbamazepine. J. Taiwan Inst. Chem. Eng. 2016, 64, 211–219. [Google Scholar] [CrossRef]
- Joglekar, A.M.; May, A.T. Product Excellence through Design of Experiments. Cereal Foods World 1987, 32, 857. [Google Scholar]
- Phan, H.V.; Hai, F.I.; Zhang, R.; Kang, J.; Price, W.E.; Nghiem, L.D. Bacterial Community Dynamics in an Anoxic-Aerobic Membrane Bioreactor–Impact on Nutrient and Trace Organic Contaminant Removal. Int. Biodeterior. Biodegrad. 2016, 109, 61–72. [Google Scholar] [CrossRef] [Green Version]
- Hai, F.I.; Li, X.; Price, W.E.; Nghiem, L.D. Removal of Carbamazepine and Sulfamethoxazole by MBR under Anoxic and Aerobic Conditions. Bioresour. Technol. 2011, 102, 10386–10390. [Google Scholar] [CrossRef] [Green Version]
- Hai, F.I.; Nghiem, L.D.; Khan, S.J.; Asif, M.B.; Price, W.E.; Yamamoto, K. Removal of Emerging Trace Organic Contaminants (TrOC) by MBR. Membr. Biol. React. Theory Model. Des. Manag. Appl. Wastewater Reuse 2019, 413–468. [Google Scholar] [CrossRef]
- Reif, R.; Suárez, S.; Omil, F.; Lema, J.M. Fate of Pharmaceuticals and Cosmetic Ingredients during the Operation of a MBR Treating Sewage. Desalination 2008, 221, 511–517. [Google Scholar] [CrossRef]
- Tran, N.H.; Chen, H.; Reinhard, M.; Mao, F.; Gin, K.Y.-H. Occurrence and Removal of Multiple Classes of Antibiotics and Antimicrobial Agents in Biological Wastewater Treatment Processes. Water Res. 2016, 104, 461–472. [Google Scholar] [CrossRef]
- Falahti-Marvast, H.; Karimi-Jashni, A. Performance of Simultaneous Organic and Nutrient Removal in a Pilot Scale Anaerobic–Anoxic–Oxic Membrane Bioreactor System Treating Municipal Wastewater with a High Nutrient Mass Ratio. Int. Biodeterior. Biodegrad. 2015, 104, 363–370. [Google Scholar] [CrossRef]
- Duan, L.; Moreno-Andrade, I.; Huang, C.; Xia, S.; Hermanowicz, S.W. Effects of Short Solids Retention Time on Microbial Community in a Membrane Bioreactor. Bioresour. Technol. 2009, 100, 3489–3496. [Google Scholar] [CrossRef] [PubMed]
- Fan, X.-J.; Urbain, V.; Qian, Y.; Manem, J. Nitrification and Mass Balance with a Membrane Bioreactor for Municipal Wastewater Treatment. Water Sci. Technol. 1996, 34, 129–136. [Google Scholar]
- Huang, X.; Gui, P.; Qian, Y. Effect of Sludge Retention Time on Microbial Behaviour in a Submerged Membrane Bioreactor. Process Biochem. 2001, 36, 1001–1006. [Google Scholar] [CrossRef]
- Kermani, M.; Bina, B.; Movahedian, H.; Amin, M.M.; Nikaein, M. Application of Moving Bed Biofilm Process for Biological Organics and Nutrients Removal from Municipal Wastewater. Am. J. Environ. Sci. 2008, 4, 675. [Google Scholar]
- Ruby Figueroa, R.A.; Cassano, A.; Drioli, E. Ultrafiltration of Orange Press Liquor: Optimization for Permeate Flux and Fouling Index by Response Surface Methodology. Sep. Purif. Technol. 2011, 80, 1–10. [Google Scholar] [CrossRef]
- Aksezer, S.Ç. On the Sensitivity of Desirability Functions for Multiresponse Optimization. J. Ind. Manag. Optim. 2008, 4. [Google Scholar] [CrossRef]









| Factor | Name | Units | Type | Minimum | Maximum | Coded Low | Coded High |
|---|---|---|---|---|---|---|---|
| A | DO | mg/L | Numeric | 1.5 | 5.5 | −1 1.5 | +1 5.5 |
| B | HRT | h | Numeric | 12 | 24 | −1 12 | +1 24 |
| C | SRT | days | Numeric | 5 | 15 | −1 5 | +1 15 |
| Removal (%) | Minimum | Maximum | Average |
|---|---|---|---|
| CBZ | 9.04 | 38.36 | 18.42 |
| COD | 69.23 | 99.37 | 86.45 |
| NH4+-N | 79.75 | 99.71 | 90.55 |
| PO43−-P | −16.87 | −5.91 | −10.15 |
| Factor 1 | Factor 2 | Factor 3 | Response 1 | Response 2 | Response 3 | Response 4 | ||
|---|---|---|---|---|---|---|---|---|
| Std | Run | A:DO | B:HRT | C:SRT | CBZ removal | COD removal | Ammonia removal | Phosphorus removal |
| mg/L | h | days | % | % | % | % | ||
| 9 | 1 | 3.5 | 18 | 10 | 17.66 ± 3.33 | 87.18 ± 3.88 | 91.62 ± 6.04 | −9.57 ± 2.22 |
| 7 | 2 | 1.5 | 24 | 15 | 19.65 ± 7.18 | 82.16 ± 4.97 | 90.40 ± 1.11 | −8.71 ± 1.05 |
| 4 | 3 | 5.5 | 24 | 5 | 17.23 ± 5.38 | 99.37 ± 0.42 | 99.58 ± 0.25 | −15.43 ± 0.33 |
| 8 | 4 | 5.5 | 24 | 15 | 14.75 ± 4.48 | 95.97 ± 0.99 | 99.71 ± 0.03 | −16.87 ± 1.51 |
| 6 | 5 | 5.5 | 12 | 15 | 9.04 ± 1.12 | 85.87 ± 2.37 | 89.38 ± 3.65 | −11.51 ± 1.75 |
| 2 | 6 | 5.5 | 12 | 5 | 13.67 ± 4.81 | 89.46 ± 1.40 | 85.81 ± 1.38 | −9.50 ± 2.95 |
| 10 | 7 | 3.5 | 18 | 10 | 16.20 ± 4.00 | 87.62 ± 3.23 | 90.35 ± 2.41 | −11.84 ± 2.47 |
| 1 | 8 | 1.5 | 12 | 5 | 24.12 ± 1.45 | 77.49 ± 1.46 | 79.75 ± 6.58 | −6.03 ± 1.73 |
| 11 | 9 | 3.5 | 18 | 10 | 18.48 ± 4.35 | 89.54 ± 0.22 | 92.62 ± 1.64 | −9.20 ± 3.27 |
| 5 | 10 | 1.5 | 12 | 15 | 13.39 ± 10.31 | 69.23 ± 2.56 | 87.50 ± 3.51 | −5.91 ± 1.23 |
| 3 | 11 | 1.5 | 24 | 5 | 38.36 ± 4.49 | 87.07 ± 0.54 | 89.30 ± 1.33 | −7.10 ± 4.70 |
| Source | Sum of Squares | df | Mean Square | F-Value | p-Value | |
|---|---|---|---|---|---|---|
| Model | 582.31 | 7 | 83.19 | 38.44 | 0.0062 | Significant |
| A-DO | 207.62 | 1 | 207.62 | 95.94 | 0.0023 | |
| B-HRT | 111.38 | 1 | 111.38 | 51.47 | 0.0056 | |
| C-SRT | 167.72 | 1 | 167.72 | 77.51 | 0.0031 | |
| AB | 16.02 | 1 | 16.02 | 7.40 | 0.0725 | |
| AC | 62.82 | 1 | 62.82 | 29.03 | 0.0125 | |
| BC | 4.13 | 1 | 4.13 | 1.91 | 0.2610 | |
| ABC | 12.62 | 1 | 12.62 | 5.83 | 0.0946 | |
| Residual | 6.49 | 3 | 2.16 | |||
| Lack of fit | 3.81 | 1 | 3.81 | 2.85 | 0.2335 | Not significant |
| Pure error | 2.68 | 2 | 1.34 | |||
| Cor total | 588.80 | 10 | ||||
| Std. dev. | 1.47 | R2 | 0.9890 | |||
| Mean | 18.41 | Adjusted R2 | 0.9632 |
| Source | Sum of Squares | df | Mean Square | F-Value | p-Value | |
|---|---|---|---|---|---|---|
| Model | 659.56 | 7 | 94.22 | 19.38 | 0.0167 | Significant |
| A-DO | 374.40 | 1 | 374.40 | 77.02 | 0.0031 | |
| B-HRT | 226.00 | 1 | 226.00 | 46.49 | 0.0065 | |
| C-SRT | 50.80 | 1 | 50.80 | 10.45 | 0.0481 | |
| AB | 0.7858 | 1 | 0.7858 | 0.1617 | 0.7146 | |
| AC | 4.76 | 1 | 4.76 | 0.9788 | 0.3954 | |
| BC | 1.56 | 1 | 1.56 | 0.3218 | 0.6102 | |
| ABC | 1.25 | 1 | 1.25 | 0.2570 | 0.6471 | |
| Residual | 14.58 | 3 | 4.86 | |||
| Lack of fit | 11.43 | 1 | 11.43 | 7.24 | 0.1148 | Not significant |
| Pure error | 3.16 | 2 | 1.58 | |||
| Cor total | 674.15 | 10 | ||||
| Std. dev. | 2.20 | R2 | 0.9784 | |||
| Mean | 86.45 | Adjusted R2 | 0.9279 |
| Source | Sum of Squares | df | Mean Square | F-Value | p-Value | |
|---|---|---|---|---|---|---|
| Model | 315.97 | 7 | 45.14 | 20.57 | 0.0154 | Significant |
| A-DO | 94.80 | 1 | 94.80 | 43.21 | 0.0072 | |
| B-HRT | 167.20 | 1 | 167.20 | 76.21 | 0.0032 | |
| C-SRT | 19.67 | 1 | 19.67 | 8.97 | 0.0579 | |
| AB | 16.97 | 1 | 16.97 | 7.74 | 0.0689 | |
| AC | 3.33 | 1 | 3.33 | 1.52 | 0.3059 | |
| BC | 12.70 | 1 | 12.70 | 5.79 | 0.0953 | |
| ABC | 1.29 | 1 | 1.29 | 0.5872 | 0.4993 | |
| Residual | 6.58 | 3 | 2.19 | |||
| Lack of fit | 4.00 | 1 | 4.00 | 3.10 | 0.2206 | Not significant |
| Pure error | 2.58 | 2 | 1.29 | |||
| Cor total | 322.55 | 10 | ||||
| Std. dev. | 1.48 | R2 | 0.9796 | |||
| Mean | 90.55 | Adjusted R2 | 0.9320 |
| Source | Sum of Squares | df | Mean Square | F-Value | p-Value | |
|---|---|---|---|---|---|---|
| Model | 121.55 | 7 | 17.36 | 12.77 | 0.0303 | Significant |
| A-DO | 81.66 | 1 | 81.66 | 60.06 | 0.0045 | |
| B-HRT | 28.67 | 1 | 28.67 | 21.09 | 0.0194 | |
| C-SRT | 3.05 | 1 | 3.05 | 2.24 | 0.2312 | |
| AB | 6.87 | 1 | 6.87 | 5.05 | 0.1101 | |
| AC | 0.4812 | 1 | 0.4812 | 0.3539 | 0.5938 | |
| BC | 0.1661 | 1 | 0.1661 | 0.1222 | 0.7498 | |
| ABC | 0.6548 | 1 | 0.6548 | 0.4816 | 0.5376 | |
| Residual | 4.08 | 3 | 1.36 | |||
| Lack of fit | 0.0131 | 1 | 0.0131 | 0.0065 | 0.9433 | Not significant |
| Pure error | 4.07 | 2 | 2.03 | |||
| Cor total | 125.63 | 10 | ||||
| Std. dev. | 1.17 | R2 | 0.9675 | |||
| Mean | −10.15 | Adjusted R2 | 0.8918 |
Publisher’s Note: MDPI stays neutral with regard to jurisdictional claims in published maps and institutional affiliations. |
© 2022 by the authors. Licensee MDPI, Basel, Switzerland. This article is an open access article distributed under the terms and conditions of the Creative Commons Attribution (CC BY) license (https://creativecommons.org/licenses/by/4.0/).
Share and Cite
Dao, K.-C.; Yang, C.-C.; Chen, K.-F.; Tsai, Y.-P. Effect of Operational Parameters on the Removal of Carbamazepine and Nutrients in a Submerged Ceramic Membrane Bioreactor. Membranes 2022, 12, 420. https://doi.org/10.3390/membranes12040420
Dao K-C, Yang C-C, Chen K-F, Tsai Y-P. Effect of Operational Parameters on the Removal of Carbamazepine and Nutrients in a Submerged Ceramic Membrane Bioreactor. Membranes. 2022; 12(4):420. https://doi.org/10.3390/membranes12040420
Chicago/Turabian StyleDao, Khanh-Chau, Chih-Chi Yang, Ku-Fan Chen, and Yung-Pin Tsai. 2022. "Effect of Operational Parameters on the Removal of Carbamazepine and Nutrients in a Submerged Ceramic Membrane Bioreactor" Membranes 12, no. 4: 420. https://doi.org/10.3390/membranes12040420
APA StyleDao, K.-C., Yang, C.-C., Chen, K.-F., & Tsai, Y.-P. (2022). Effect of Operational Parameters on the Removal of Carbamazepine and Nutrients in a Submerged Ceramic Membrane Bioreactor. Membranes, 12(4), 420. https://doi.org/10.3390/membranes12040420


