Host-Plant Switching Impacts Susceptibility and Biochemical Responses of Cnaphalocrocis medinalis to Abamectin and Chlorpyrifos
Abstract
1. Introduction
2. Materials and Methods
2.1. Plant Preparation and Insect Rearing
2.2. Host-Plant Switch Treatments
2.3. Insecticides and C. medinalis Bioassays
2.4. Enzyme Activity Assays
2.4.1. CarE
2.4.2. MFO
2.4.3. GSTs
2.4.4. AChE
2.4.5. SOD
2.4.6. POD
2.4.7. CAT
2.5. Statistical Analysis
3. Results
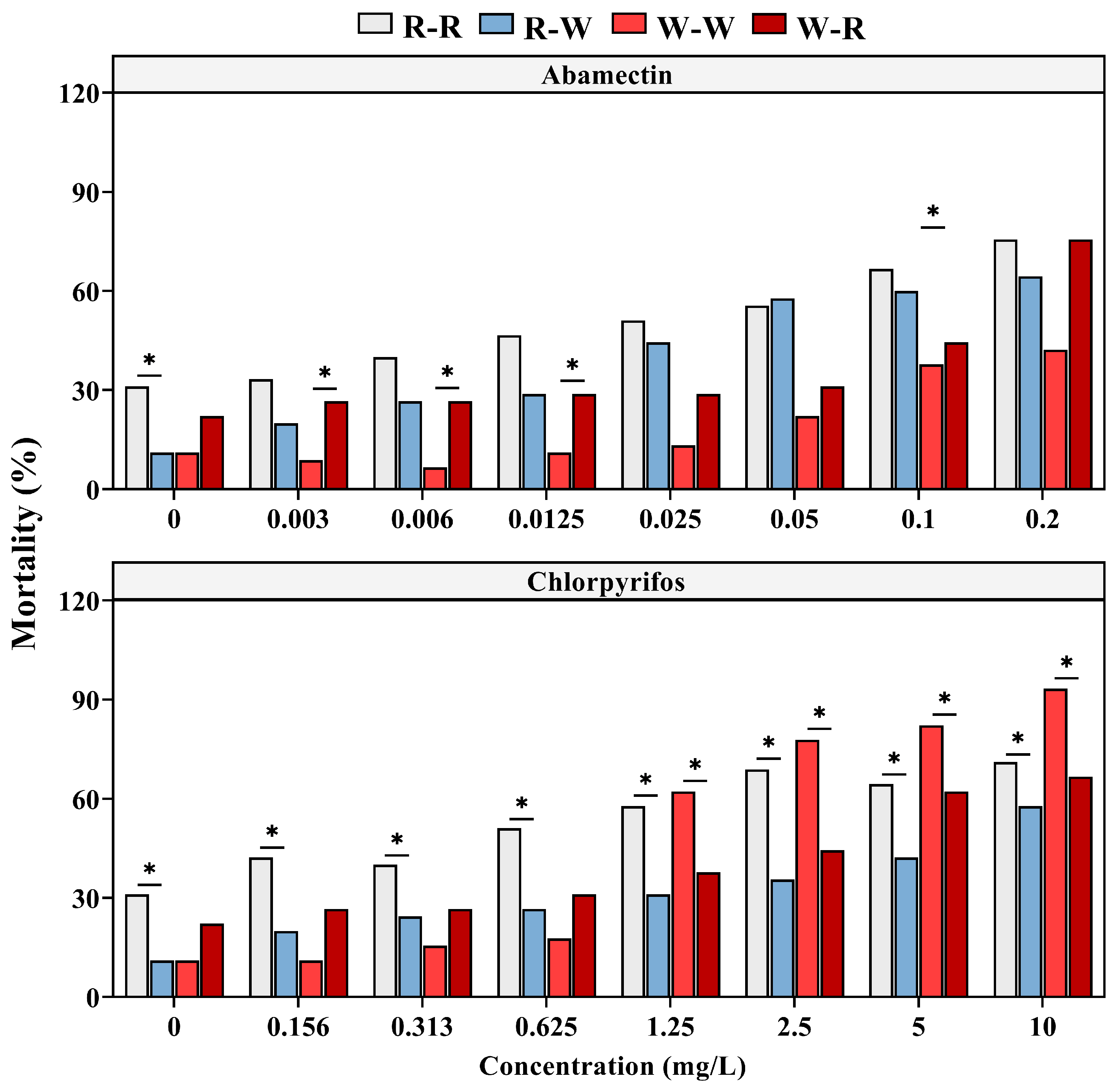
3.1. Insecticide Susceptibility of Larvae from Different Host-Plant Switch Treatments
3.2. Effect of Insecticides on Detoxification Enzyme Activity of Larvae from Different Host-Plant Switch Treatments
3.3. Effect of Insecticides on Acetylcholinesterase Activity of Larvae from Different Host-Plant Switch Treatments
3.4. Effect of Insecticides on the Antioxidant Enzyme Activity of Larvae from Different Host-Plant Switch Treatments
4. Discussion
5. Conclusions
Author Contributions
Funding
Data Availability Statement
Conflicts of Interest
References
- Jiang, Y.; Zhang, C.X.; Chen, R.; He, S.Y. Challenging battles of plants with phloem-feeding insects and prokaryotic pathogens. Proc. Natl. Acad. Sci. USA 2019, 116, 23390–23397. [Google Scholar] [CrossRef] [PubMed]
- Johnson, M. Evolutionary ecology of plant defences against herbivores. Funct. Ecol. 2011, 25, 305–311. [Google Scholar] [CrossRef]
- Mithöfer, A.; Boland, W. Plant defense against herbivores: Chemical aspects. Annu. Rev. Plant Biol. 2012, 63, 431–450. [Google Scholar] [CrossRef] [PubMed]
- Wittstock, U.; Gershenzon, J. Constitutive plant toxins and their role in defense against herbivores and pathogens. Curr. Opin. Plant Biol. 2002, 5, 300–307. [Google Scholar] [CrossRef] [PubMed]
- Després, L.; David, J.P.; Gallet, C. The evolutionary ecology of insect resistance to plant chemicals. Trends Ecol. Evol. 2007, 22, 298–307. [Google Scholar] [CrossRef]
- John, S.; Graeme, D. Ecological factors influencing the evolution of insects’ chemical defenses. Behav. Ecol. 2008, 19, 146–153. [Google Scholar]
- Dermauw, W.; Pym, A.; Bass, C.; Van Leeuwen, T.; Feyereisen, R. Does host plant adaptation lead to pesticide resistance in generalist herbivores? Curr. Opin. Insect Sci. 2018, 26, 25–33. [Google Scholar] [CrossRef]
- Dai, L.; Gao, H.; Ye, J.; Fu, D.; Sun, Y.; Chen, H. Isolation of CarE genes from the Chinese white pine beetle Dendroctonus armandi (Curculionidae: Scolytinae) and their response to host chemical defense. Pest. Manag. Sci. 2019, 75, 986–997. [Google Scholar] [CrossRef] [PubMed]
- Castle, S.J.; Prabhaker, N.; Henneberry, T.J.; Toscano, N.C. Host plant influence on susceptibility of Bemisia tabaci (Hemiptera: Aleyrodidae) to insecticides. Bull. Entomol. Res. 2009, 99, 263–273. [Google Scholar] [CrossRef]
- Liang, P.; Cui, J.Z.; Yang, X.Q.; Gao, X.W. Effects of host plants on insecticide susceptibility and carboxylesterase activity in Bemisia tabaci biotype B and greenhouse whitefly, Trialeurodes vaporariorum. Pest. Manag. Sci. 2007, 63, 365–371. [Google Scholar] [CrossRef]
- Gbaye, O.A.; Millard, J.C.; Holloway, G.J. Synergistic effects of geographical strain, temperature and larval food on insecticide tolerance in Callosobruchus maculatus (F.). J. Appl. Entomol. 2012, 136, 282–291. [Google Scholar] [CrossRef]
- Xue, M.; Pang, Y.H.; Li, Q.L.; Liu, T.X. Effects of four host plants on susceptibility of Spodoptera litura (Lepidoptera: Noctuidae) larvae to five insecticides and activities of detoxification esterases. Pest. Manag. Sci. 2010, 66, 1273–1279. [Google Scholar] [CrossRef] [PubMed]
- Ghidiu, G.; Carter, C.; Silcox, C. The effect of host plant on colorado potato beetle (Coleoptera: Chrysomelidae) susceptible to pyrethroid insecticides. Pestic. Sci. 1990, 28, 259–270. [Google Scholar] [CrossRef]
- Kawazu, K.; Shintani, Y.; Tatsuki, S. Effect of increased male and female age at mating on the reproductive performance of Cnaphalocrocis medinalis (Crambidae: Lepidoptera). J. Econ. Entomol. 2014, 107, 1434–1439. [Google Scholar] [CrossRef] [PubMed]
- Wang, F.Y.; Yang, F.; Lu, M.H.; Luo, S.Y.; Zhai, B.P.; Lim, K.S.; Mcinerney, C.E.; Hu, G. Determining the migration duration of rice leaf folder (Cnaphalocrocis medinalis (Guenée)) moths using a trajectory analytical approach. Sci. Rep. 2017, 7, 39853. [Google Scholar] [CrossRef] [PubMed]
- Zhang, X.X.; Geng, J.G.; Zhou, W.J. Study on migratory law of Cnaphalocrocis medinalis (Guenée). J. Nanjing Agricult. Univ. 1981, 4, 43–54. [Google Scholar]
- Murthy, M.S.; Nagaraj, S.K.; Prabhuraj, A.; Kalleswaraswamy, C.M. Rice leaf folder Cnaphalocrocis medinalis (Lepidoptera: Crambidae) on wheat (Triticum aestivum; Poales: Poaceae) in India. Fla. Entomol. Soc. 2015, 98, 1269–1270. [Google Scholar] [CrossRef]
- Liu, F.; Cheng, J.J.; Jiang, T.; Su, W.; Xu, S. Selectiveness of Cnaphalocrocis medinalis to host plants. Rice Sci. 2012, 19, 6. [Google Scholar] [CrossRef]
- Hussain, H.; Nasr, M. Susceptibility of some wheat and rice varieties to Sitophilus oryzae (L.) AND Rhizopertha dominica (F.) infestation. J. Plant Prot. Pathol. 2015, 6, 549–554. [Google Scholar] [CrossRef]
- Cantu, D.; Yang, B.; Ruan, R.; Li, K.; Menzo, V.; Fu, D.; Chern, M.; Ronald, P.C.; Dubcovsky, J. Comparative analysis of protein-protein interactions in the defense response of rice and wheat. BMC Genom. 2013, 14, 166. [Google Scholar] [CrossRef]
- Ding, J.; Wen, S.F.; Wang, X.T.; Xue, Y.N.; Zhang, G.F.; Jin, Y.; XIia, X.M. Effects of host plants on insecticide sensitivity and detoxification enzyme activities in Laodelphax striatellus (Hemiptera: Delphacidae). J. Environ. Entomol. 2021, 43, 406–412. [Google Scholar]
- Zhang, R.; Wu, H.H.; Guo, Y.P.; Ma, E.B. Effects of host plants on the esterase activities of Oxya chinensis Nymphs in different developmental stages. J. Shanxi Univ. 2011, 34, 307–310. [Google Scholar]
- Liu, H.; Hou, M.L. Progress in research on the relationship between host plants and the occurrence of the rice leaf folder and the degree of crop damage caused by this pest. Chin. J. Appl. Entomol. 2019, 56, 1178–1185. [Google Scholar]
- Chen, P.; Liu, H.; Hou, M.-L. Effects of host switch on the performance and life-table parameters of host populations of Cnaphalocrocis medinalis (Lepidoptera: Pyralidae). Acta. Entomol. Sin. 2021, 64, 400–408. [Google Scholar]
- Guo, J.W.; Li, P.; Zhang, J.; Liu, X.D.; Zhai, B.P.; Hu, G. Cnaphalocrocis medinalis moths decide to migrate when suffering nutrient shortage on the first day after emergence. Insects 2019, 10, 364. [Google Scholar] [CrossRef] [PubMed]
- Yang, Y.J.; Wang, C.Y.; Xu, H.X.; Lu, Z.X. Sublethal effects of four insecticides on folding and spinning behavior in the rice leaffolder, Cnaphalocrocis medinalis (Guenée) (Lepidoptera: Pyralidae). Pest. Manag. Sci. 2018, 74, 658–664. [Google Scholar] [CrossRef]
- Zheng, X.; Ren, X.; Su, J. Insecticide susceptibility of Cnaphalocrocis medinalis (Lepidoptera: Pyralidae) in China. J. Econ. Entomol. 2011, 104, 653–658. [Google Scholar] [CrossRef]
- Zhang, S.K.; Ren, X.-B.; Wang, Y.C.; Su, J. Resistance in Cnaphalocrocis medinalis (Lepidoptera: Pyralidae) to new chemistry insecticides. J. Econ. Entomol. 2014, 107, 815–820. [Google Scholar] [CrossRef]
- Wang, X.; Khakame, S.K.; Ye, C.; Yang, Y.; Wu, Y. Characterisation of field-evolved resistance to chlorantraniliprole in the diamondback moth, Plutella xylostella, from China. Pest. Manag. Sci. 2013, 69, 661–665. [Google Scholar] [CrossRef]
- Hafez, A.M.; Abbas, N. Insecticide resistance to insect growth regulators, avermectins, spinosyns and diamides in Culex quinquefasciatus in Saudi Arabia. Parasit. Vectors 2021, 14, 558. [Google Scholar] [CrossRef]
- Supreeth, M.; Raju, N.S. Biotransformation of chlorpyrifos and endosulfan by bacteria and fungi. Appl. Microbiol. Biotechnol. 2017, 101, 5961–5971. [Google Scholar] [CrossRef] [PubMed]
- Zhang, S.; Zhang, X.; Shen, J.; Li, D.; Wan, H.; You, H.; Li, J. Cross-resistance and biochemical mechanisms of resistance to indoxacarb in the diamondback moth, Plutella xylostella. Pestic. Biochem. Physiol. 2017, 140, 85–89. [Google Scholar] [CrossRef] [PubMed]
- Li, R.; Cheng, S.; Chen, Z.; Guo, T.; Liang, P.; Zhen, C.; Wang, J.; Zhang, L.; Liang, P.; Gao, X. Establishment of toxicity and susceptibility baseline of broflanilide for Aphis gossypii Glove. Insects 2022, 13, 1033. [Google Scholar] [CrossRef]
- Hu, G.; Lim, K.S.; Reynolds, D.R.; Reynolds, A.M.; Chapman, J.W. Wind-related orientation patterns in diurnal, crepuscular and nocturnal high-altitude insect migrants. Front. Behav. Neurosci. 2016, 10, 32. [Google Scholar] [CrossRef] [PubMed]
- Chapman, J.W.; Nesbit, R.L.; Burgin, L.E.; Reynolds, D.R.; Smith, A.D.; Middleton, D.R.; Hill, J.K. Flight orientation behaviors promote optimal migration trajectories in high-flying insects. Science 2010, 327, 682–685. [Google Scholar] [CrossRef]
- Dermauw, W.; Wybouw, N.; Rombauts, S.; Menten, B.; Vontas, J.; Grbić, M.; Clark, R.M.; Feyereisen, R.; Van Leeuwen, T. A link between host plant adaptation and pesticide resistance in the polyphagous spider mite Tetranychus urticae. Proc. Natl. Acad. Sci. USA 2013, 110, 113–122. [Google Scholar] [CrossRef]
- Heidel-Fischer, H.M.; Vogel, H. Molecular mechanisms of insect adaptation to plant secondary compounds. Curr. Opin. Insect Sci. 2015, 8, 8–14. [Google Scholar] [CrossRef]
- Pym, A.; Singh, K.S.; Nordgren, Å.; Davies, T.G.E.; Zimmer, C.T.; Elias, J.; Slater, R.; Bass, C. Host plant adaptation in the polyphagous whitefly, Trialeurodes vaporariorum, is associated with transcriptional plasticity and altered sensitivity to insecticides. BMC Genomics 2019, 20, 996. [Google Scholar] [CrossRef]
- Yang, X.; Margolies, D.C.; Zhu, K.Y.; Buschman, L.L. Host plant-induced changes in detoxification enzymes and susceptibility to pesticides in the twospotted spider mite (Acari: Tetranychidae). J. Econ. Entomol. 2001, 94, 381–387. [Google Scholar] [CrossRef]
- Xie, W.; Wang, S.; Wu, Q.; Feng, Y.; Pan, H.; Jiao, X.; Zhou, L.; Yang, X.; Fu, W.; Teng, H.; et al. Induction effects of host plants on insecticide susceptibility and detoxification enzymes of Bemisia tabaci (Hemiptera: Aleyrodidae). Pest. Manag. Sci. 2011, 67, 87–93. [Google Scholar] [CrossRef]
- Carletto, J.; Martin, T.; Vanlerberghe-Masutti, F.; Brévault, T. Insecticide resistance traits differ among and within host races in Aphis gossypii. Pest. Manag. Sci. 2010, 66, 301–307. [Google Scholar] [CrossRef] [PubMed]
- Ashra, H.; Nair, S. Review: Trait plasticity during plant-insect interactions: From molecular mechanisms to impact on community dynamics. Plant Sci. 2022, 317, 111188. [Google Scholar] [CrossRef] [PubMed]
- Howe, G.A.; Jander, G. Plant immunity to insect herbivores. Annu. Rev. Plant Biol. 2008, 59, 41–66. [Google Scholar] [CrossRef]
- Koirala, B.K.S.; Moural, T.; Zhu, F. Functional and structural diversity of insect glutathione S-transferases in xenobiotic adaptation. Int. J. Biol. Sci. 2022, 18, 5713–5723. [Google Scholar] [CrossRef]
- Wang, W.; Li, Y.; Dang, P.; Zhao, S.; Lai, D.; Zhou, L. Rice secondary metabolites: Structures, roles, biosynthesis, and metabolic regulation. Molecules 2018, 23, 3098. [Google Scholar] [CrossRef]
- Walsh, T.K.; Heckel, D.G.; Wu, Y.; Downes, S.; Gordon, K.H.J.; Oakeshott, J.G. Determinants of insecticide resistance evolution: Comparative analysis among heliothines. Annu. Rev. Entomol. 2022, 67, 387–406. [Google Scholar] [CrossRef]
- Jin, M.; Liao, C.; Fu, X.; Holdbrook, R.; Wu, K.; Xiao, Y. Adaptive regulation of detoxification enzymes in Helicoverpa armigera to different host plants. Insect Mol. Biol. 2019, 28, 628–636. [Google Scholar] [CrossRef]
- Cruse, C.; Moural, T.W.; Zhu, F. Dynamic roles of insect carboxyl/cholinesterases in chemical adaptation. Insects 2023, 14, 194. [Google Scholar] [CrossRef]
- Jokanović, M. Biotransformation of organophosphorus compounds. Toxicology 2001, 166, 139–160. [Google Scholar] [CrossRef]
- Zhou, C.; Yang, H.; Wang, Z.; Long, G.Y.; Jin, D.C. Protective and detoxifying enzyme activity and ABCG subfamily gene expression in Sogatella furcifera under insecticide stress. Front. Physiol. 2018, 9, 1890. [Google Scholar] [CrossRef]
- Jia, B.T.; Hong, S.S.; Zhang, Y.C.; Cao, Y.W. Effect of sublethal concentrations of abamectin on protective and detoxifying enzymes in Diagegma semclausum. J. Environ. Entomol. 2016, 38, 990–995. [Google Scholar]
- Liu, L.; Hou, X.L.; Yue, W.B.; Xie, W.; Zhang, T.; Zhi, J.R. Response of protective enzymes in western flower thrips (Thysanoptera: Thripidae) to two leguminous plants. Environ. Entomol. 2020, 49, 1191–1197. [Google Scholar] [CrossRef] [PubMed]
- War, A.R.; Taggar, G.K.; Hussain, B.; Taggar, M.S.; Nair, R.M.; Sharma, H.C. Plant defence against herbivory and insect adaptations. AoB Plants 2018, 10, ply037. [Google Scholar]
- Ighodaro, O.M.; Akinloye, O.A. First line defence antioxidants-superoxide dismutase (SOD), catalase (CAT) and glutathione peroxidase (GPX): Their fundamental role in the entire antioxidant defence grid. Alex. J. Med. 2018, 54, 287–293. [Google Scholar] [CrossRef]
- Lazarević, J.; Jevremović, S.; Kostić, I.; Vuleta, A.; Manitašević Jovanović, S.; Kostić, M.; Šešlija Jovanović, D. Assessment of sex-specific toxicity and physiological responses to thymol in a common bean pest Acanthoscelides obtectus Say. Front. Physiol. 2022, 13, 842314. [Google Scholar] [CrossRef]
- Näsvall, K.; Wiklund, C.; Mrazek, V.; Künstner, A.; Talla, V.; Busch, H.; Vila, R.; Backström, N. Host plant diet affects growth and induces altered gene expression and microbiome composition in the wood white (Leptidea sinapis) butterfly. Mol. Ecol. 2021, 30, 499–516. [Google Scholar] [CrossRef]
- Zhong, H.; Li, F.; Chen, J.; Zhang, J.; Li, F. Comparative transcriptome analysis reveals host-associated differentiation in Chilo suppressalis (Lepidoptera: Crambidae). Sci. Rep. 2017, 7, 13778. [Google Scholar] [CrossRef] [PubMed]
- Quan, P.Q.; Li, M.Z.; Wang, G.R.; Gu, L.L.; Liu, X.D. Comparative transcriptome analysis of the rice leaf folder (Cnaphalocrocis medinalis) to heat acclimation. BMC Genomics 2020, 21, 450. [Google Scholar] [CrossRef]
- Lv, W.; Jiang, X.; Chen, X.; Cheng, Y.; Xia, J.; Zhang, L. Flight and reproduction variations of rice leaf roller, Cnaphalocrocis medinalis in response to different rearing temperatures. Insects 2021, 12, 1083. [Google Scholar] [CrossRef]





| Reagent Name (μL) | Sample Group | Sample Control Group | Blank Control Group 1 | Blank Control Group 2 |
|---|---|---|---|---|
| Reagent I | 70 | 70 | 70 | 70 |
| Reagent II | 20 | 0 | 20 | 0 |
| Distilled water | 0 | 20 | 20 | 40 |
| Sample | 20 | 20 | 0 | 0 |
| Reagent III | 10 | 10 | 10 | 10 |
| Reagent IV | 80 | 80 | 80 | 80 |
| Insecticide | Treatment | LC25 (95% Confidence Intervals) (mg/L) | LC50 (95% Confidence Intervals) (mg/L) | Toxicity Regression Equation | RR |
|---|---|---|---|---|---|
| Abamectin | R-R | 0.010 (0.000~0.004) | 0.019 (0.009~0.033) | y = 1.337 + 0.838x | 2.37 |
| R-W | 0.005 (0.002~0.010) | 0.045 (0.029~0.082) | y = 1.580 + 1.176x | ||
| W-W | 0.054 (0.033~0.092) | 0.325 (0.166~1.222) | y = 0.686 + 1.406x | 0.29 | |
| W-R | 0.007 (0.000~0.012) | 0.093 (0.051~0.271) | y = 0.969 + 1.002x | ||
| Chlorpyrifos | R-R | 0.021 (0.000~0.089) | 0.544 (0.162~1.085) | y = 0.201 + 0.775x | 15.01 * |
| R-W | 0.444 (0.107~0.886) | 8.164 (3.808~45.448) | y = 0.792 + 0.869x | ||
| W-W | 0.483 (0.342~0.629) | 1.159 (0.863~1.551) | y = −0.185 + 2.894x | 2.29 * | |
| W-R | 0.240 (0.066~0.468) | 2.657 (1.589~5.512) | y = −0.446 + 1.052x |
| Variables | Factors | df | MS | F | p |
|---|---|---|---|---|---|
| CarE | Insecticide treatment (A) | 2 | 0.266 | 79.235 | <0.001 |
| Host-plant switch treatment (B) | 3 | 1.771 | 526.702 | <0.001 | |
| A × B | 6 | 0.173 | 51.423 | <0.001 | |
| Error | 24 | 0.003 | |||
| MFO | Insecticide treatment (A) | 2 | 0.131 | 139.460 | <0.001 |
| Host-plant switch treatment (B) | 3 | 0.299 | 317.669 | <0.001 | |
| A × B | 6 | 0.025 | 26.177 | <0.001 | |
| Error | 24 | 0.001 | |||
| GSTs | Insecticide treatment (A) | 2 | 10,902.800 | 115.115 | <0.001 |
| Host-plant switch treatment (B) | 3 | 7571.287 | 79.940 | <0.001 | |
| A × B | 6 | 13,087.517 | 138.182 | <0.001 | |
| Error | 24 | 94.712 | |||
| AChE | Insecticide treatment (A) | 2 | 0.839 | 5.261 | 0.013 |
| Host-plant switch treatment (B) | 3 | 79.910 | 500.902 | <0.001 | |
| A × B | 6 | 1.646 | 10.315 | <0.001 | |
| Error | 24 | 0.160 | |||
| SOD | Insecticide treatment (A) | 2 | 96.551 | 17.200 | <0.001 |
| Host-plant switch treatment (B) | 3 | 5443.696 | 969.769 | <0.001 | |
| A × B | 6 | 5.269 | 0.939 | <0.001 | |
| Error | 24 | 5.613 | |||
| POD | Insecticide treatment (A) | 2 | 1.924 | 5.992 | 0.008 |
| Host-plant switch treatment (B) | 3 | 131.016 | 408.063 | <0.001 | |
| A × B | 6 | 6.753 | 21.032 | <0.001 | |
| Error | 24 | 0.321 | |||
| CAT | Insecticide treatment (A) | 2 | 169,3491.089 | 2540.129 | <0.001 |
| Host-plant switch treatment (B) | 3 | 64,382.925 | 96.570 | <0.001 | |
| A × B | 6 | 363,319.830 | 544.957 | <0.001 | |
| Error | 24 | 666.695 |
Disclaimer/Publisher’s Note: The statements, opinions and data contained in all publications are solely those of the individual author(s) and contributor(s) and not of MDPI and/or the editor(s). MDPI and/or the editor(s) disclaim responsibility for any injury to people or property resulting from any ideas, methods, instructions or products referred to in the content. |
© 2023 by the authors. Licensee MDPI, Basel, Switzerland. This article is an open access article distributed under the terms and conditions of the Creative Commons Attribution (CC BY) license (https://creativecommons.org/licenses/by/4.0/).
Share and Cite
Guo, J.; Cheng, Y.; Zhao, X.; Qian, J.; Lu, Z.; Lu, Y.; Dan, Y.; Xu, H.; Wu, Y. Host-Plant Switching Impacts Susceptibility and Biochemical Responses of Cnaphalocrocis medinalis to Abamectin and Chlorpyrifos. Agronomy 2023, 13, 1245. https://doi.org/10.3390/agronomy13051245
Guo J, Cheng Y, Zhao X, Qian J, Lu Z, Lu Y, Dan Y, Xu H, Wu Y. Host-Plant Switching Impacts Susceptibility and Biochemical Responses of Cnaphalocrocis medinalis to Abamectin and Chlorpyrifos. Agronomy. 2023; 13(5):1245. https://doi.org/10.3390/agronomy13051245
Chicago/Turabian StyleGuo, Jiawen, Yisha Cheng, Xiaoyu Zhao, Jianing Qian, Zhongxian Lu, Yanhui Lu, Yihao Dan, Hongxing Xu, and Yan Wu. 2023. "Host-Plant Switching Impacts Susceptibility and Biochemical Responses of Cnaphalocrocis medinalis to Abamectin and Chlorpyrifos" Agronomy 13, no. 5: 1245. https://doi.org/10.3390/agronomy13051245
APA StyleGuo, J., Cheng, Y., Zhao, X., Qian, J., Lu, Z., Lu, Y., Dan, Y., Xu, H., & Wu, Y. (2023). Host-Plant Switching Impacts Susceptibility and Biochemical Responses of Cnaphalocrocis medinalis to Abamectin and Chlorpyrifos. Agronomy, 13(5), 1245. https://doi.org/10.3390/agronomy13051245

