Towards an Integrated Global Land Cover Monitoring and Mapping System
Abstract
:1. Trends in Global Land Cover Mapping
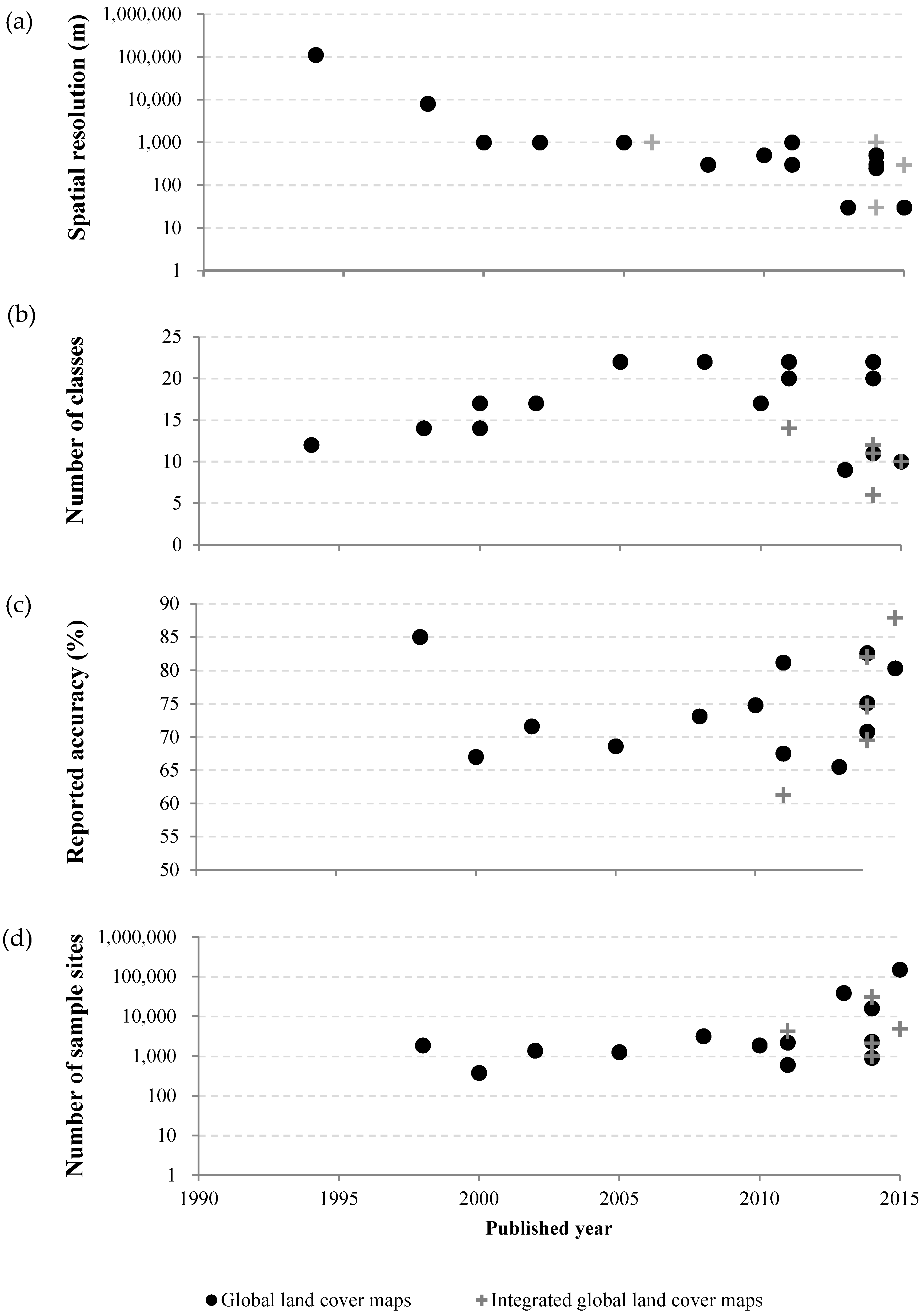
1.1. Progressing towards Higher Resolution in GLC Mapping
1.2. Land Cover Classification System (LCCS) as the Main Language for the Characterization of Land Cover Classes
1.3. Broader and Denser Temporal Coverage for GLC Mapping
1.4. Independent Map Validation Has Become Commonplace
1.5. Reference Data Collection: Community and Crowd Together
1.6. User Engagement in GLC Mapping and Validation
2. Advances in Global Land Cover and Land Use Mapping
2.1. Map Comparison and Uncertainty
2.2. Data Fusion: Sensors and Land Cover Products
2.3. Quantification of Land Use and Land Cover Change
3. A Framework for an Integrated Land Monitoring System
3.1. Land Cover Mapping in a Big Data Era
3.2. Benefitting from Other Data Sources
3.3. Operational Mapping of Land Cover and Land Cover Change
Acknowledgments
Author Contributions
Conflicts of Interest
Abbreviations
| AVHRR | Advanced Very High Resolution Radiometer |
| CEOS | Committee on Earth Observation Satellites |
| CGLOPS | Copernicus Global Land Operations |
| EO | earth observation |
| ESA | European Space Agency |
| FAO | Food and Agriculture Organization of the United Nations |
| GLC | global land cover |
| GLCF | Global Land Cover Facility |
| GOFC-GOLD | Global Observation for Forest Cover and Land Dynamics |
| IGBP | International Global Biosphere Project |
| LC-CCI | Land Cover-Climate Change Initiative |
| LCCS | Land Cover Classification System |
| NGCC | National Geomatics Centre of China |
| UCL | Catholic University of Louvain |
| WGCV | Working Group on Calibration & Validation |
References
- Verburg, P.H.; Neumann, K.; Nol, L. Challenges in using land use and land cover data for global change studies. Glob. Chang. Biol. 2011, 17, 974–989. [Google Scholar] [CrossRef]
- DeFries, R.; Hansen, M.; Townshend, J.; Sohlberg, R. Global land cover classifications at 8 km spatial resolution: The use of training data derived from Landsat imagery in decision tree classifiers. Int. J. Remote Sens. 1998, 19, 3141–3168. [Google Scholar] [CrossRef]
- Bartholomé, E.; Belward, A. GLC2000: A new approach to global land cover mapping from earth observation data. Int. J. Remote Sens. 2005, 26, 1959–1977. [Google Scholar] [CrossRef]
- Arino, O.; Leroy, M.; Ranera, F.; Gross, D.; Bicheron, P.; Nino, F.; Brockman, C.; Defourny, P.; Vancutsem, C.; Achard, F. GlobCover—A global land cover service with MERIS. In Proceedings of the Envisat Symposium 2007, Montreux, Switzerland, 23–27 April 2007; pp. 23–27.
- Friedl, M.A.; Sulla-Menashe, D.; Tan, B.; Schneider, A.; Ramankutty, N.; Sibley, A.; Huang, X.M. MODIS Collection 5 global land cover: Algorithm refinements and characterization of new datasets. Remote Sens. Environ. 2010, 114, 168–182. [Google Scholar] [CrossRef]
- Land Cover CCI. CCI-LC Product User Guide; UCL-Geomatics: Louvain-la-Neuve, Belgium, 2014. [Google Scholar]
- Tsendbazar, N.E.; de Bruin, S.; Fritz, S.; Herold, M. Spatial accuracy assessment and integration of global land cover datasets. Remote Sens. 2015, 7, 15804–15821. [Google Scholar] [CrossRef]
- See, L.; Schepaschenko, D.; Lesiv, M.; McCallum, I.; Fritz, S.; Comber, A.; Perger, C.; Schill, C.; Zhao, Y.; Maus, V.; et al. Building a hybrid land cover map with crowdsourcing and geographically weighted regression. ISPRS J. Photogramm. Remote Sens. 2015, 103, 48–56. [Google Scholar] [CrossRef]
- Chen, J.; Chen, J.; Liao, A.; Cao, X.; Chen, L.; Chen, X.; He, C.; Han, G.; Peng, S.; Lu, M. Global land cover mapping at 30m resolution: A pok-based operational approach. ISPRS J. Photogramm. Remote Sens. 2015, 103, 7–27. [Google Scholar] [CrossRef]
- Gong, P.; Wang, J.; Yu, L.; Zhao, Y.; Zhao, Y.; Liang, L.; Niu, Z.; Huang, X.; Fu, H.; Liu, S.; et al. Finer resolution observation and monitoring of global land cover: First mapping results with Landsat TM and ETM+ data. Int. J. Remote Sens. 2013, 34, 2607–2654. [Google Scholar] [CrossRef]
- Friedl, M.A.; McIver, D.K.; Hodges, J.C.F.; Zhang, X.Y.; Muchoney, D.; Strahler, A.H.; Woodcock, C.E.; Gopal, S.; Schneider, A.; Cooper, A. Global land cover mapping from MODIS: Algorithms and early results. Remote Sens. Environ. 2002, 83, 287–302. [Google Scholar] [CrossRef]
- Fritz, S.; See, L. Identifying and quantifying uncertainty and spatial disagreement in the comparison of global land cover for different applications. Glob. Chang. Biol. 2008, 14, 1057–1075. [Google Scholar] [CrossRef]
- Fritz, S.; See, L. Comparison of land cover maps using fuzzy agreement. Int. J. Geogr. Inf. Sci. 2005, 19, 787–807. [Google Scholar] [CrossRef]
- Herold, M.; Mayaux, P.; Woodcock, C.E.; Baccini, A.; Schmullius, C. Some challenges in global land cover mapping: An assessment of agreement and accuracy in existing 1 km datasets. Remote Sens. Environ. 2008, 112, 2538–2556. [Google Scholar] [CrossRef]
- Di Gregorio, A. Land Cover Classification System: Classification Concepts and User Manual: LCCS; Food and Agriculture Organization of the United Nations: Rome, Italy, 2005. [Google Scholar]
- Herold, M.; Hubald, R.; Di Gregorio, A. Translating and Evaluating Land Cover Legends Using the UN Land Cover Classification System (LCCS); GOFC-GOLD Report Series, No. 43; Land Cover Project Office: Jena, Germany, 2009. [Google Scholar]
- Arnold, S.; Kosztra, B.; Banko, G.; Smith, G.; Hazeu, G.; Bock, M.; Valcarcel Sanz, N. The EAGLE concept—A vision of a future European land monitoring framework. In Proceedings of the 33rd EARSeL Symposium towards Horizon, Matera, Italy, 3–6 June 2013.
- Land Cover Climate Change Initiative. Climate Change Initiative: Land Cover Newsletter; Land Cover Climate Change Initiative: Louvain-La-Neuve, Belgium, 2016; p. 4. [Google Scholar]
- Hansen, M.; DeFries, R.; Townshend, J.; Sohlberg, R. Global land cover classification at 1 km spatial resolution using a classification tree approach. Int. J. Remote Sens. 2000, 21, 1331–1364. [Google Scholar] [CrossRef]
- Mora, B.; Tsendbazar, N.E.; Herold, M.; Arino, O. Global land cover mapping: Current status and future trends. In Land Use and Land Cover Mapping in Europe; Manakos, I., Braun, M., Eds.; Springer: Dordrecht, The Netherlands, 2014; pp. 11–30. [Google Scholar]
- Strahler, A.H.; Boschetti, L.; Foody, G.M.; Friedl, M.A.; Hansen, M.C.; Herold, M.; Mayaux, P.; Morisette, J.T.; Stehman, S.V.; Woodcock, C.E. Global Land Cover Validation: Recommendations for Evaluation and Accuracy Assessment of Global Land Cover Maps; European Communities: Luxembourg, 2006; Volume 51. [Google Scholar]
- Olofsson, P.; Foody, G.M.; Stehman, S.V.; Woodcock, C.E. Making better use of accuracy data in land change studies: Estimating accuracy and area and quantifying uncertainty using stratified estimation. Remote Sens. Environ. 2013, 129, 122–131. [Google Scholar] [CrossRef]
- Tsendbazar, N.E.; de Bruin, S.; Mora, B.; Schouten, L.; Herold, M. Comparative assessment of thematic accuracy of GLC maps for specific applications using existing reference data. Int. J. Appl. Earth Observ. Geoinf. 2016, 44, 124–135. [Google Scholar] [CrossRef]
- Iwao, K.; Nishida, K.; Kinoshita, T.; Yamagata, Y. Validating land cover maps with degree confluence project information. Geophys. Res. Lett. 2006, 33, L23404. [Google Scholar] [CrossRef]
- See, L.; Fritz, S.; Perger, C.; Schill, C.; McCallum, I.; Schepaschenko, D.; Duerauer, M.; Sturn, T.; Karner, M.; Kraxner, F. Harnessing the power of volunteers, the Internet and Google Earth to collect and validate global spatial information using Geo-Wiki. Technol. Forecast. Soc. Chang. 2015, 98, 324–335. [Google Scholar] [CrossRef]
- Schepaschenko, D.; See, L.; Lesiv, M.; McCallum, I.; Fritz, S.; Salk, C.; Moltchanova, E.; Perger, C.; Shchepashchenko, M.; Shvidenko, A.; et al. Development of a global hybrid forest mask through the synergy of remote sensing, crowdsourcing and fao statistics. Remote Sens. Environ. 2015, 162, 208–220. [Google Scholar] [CrossRef]
- Fritz, S.; See, L.; McCallum, I.; You, L.; Bun, A.; Moltchanova, E.; Duerauer, M.; Albrecht, F.; Schill, C.; Perger, C.; et al. Mapping global cropland and field size. Glob. Chang. Biol. 2015, 21, 1980–1992. [Google Scholar] [CrossRef] [PubMed]
- See, L.; Perger, C.; Hofer, M.; Weichselbaum, J.; Dresel, C.; Fritz, S. Laco-Wiki: An open access online portal for land cover validation. ISPRS Ann. Photogramm. Remote Sens. Spat. Inf. Sci. 2015, II-3/W5, 167–171. [Google Scholar] [CrossRef]
- Fonte, C.C.; Bastin, L.; See, L.; Foody, G.M.; Lupia, F. Usability of VGI for validation of land cover maps. Int. J. Geogr. Inf. Sci. 2015, 29, 1269–1291. [Google Scholar] [CrossRef]
- Antoniou, V.; Fonte, C.C.; See, L.; Estima, J.; Arsanjani, J.J.; Lupia, F.; Minghini, M.; Foody, G.M.; Fritz, S. Investigating the feasibility of geo-tagged photographs as sources of land cover input data. ISPRS Int. J. Geo-Inf. 2016, 5, 64. [Google Scholar] [CrossRef]
- Estima, J.; Painho, M. Exploratory analysis of openstreetmap for land use classification. In Proceedings of the Second ACM SIGSPATIAL International Workshop on Crowdsourced and Volunteered Geographic Information, Orlando, FL, USA, 5 November 2013; ACM: Orlando, FL, USA, 2013. [Google Scholar]
- Global Observations of Forest and Land Cover Dynamics (GOFC-GOLD). GOFC-GOLD Reference Data Portal. Available online: http://www.gofcgold.wur.nl/sites/gofcgold_refdataportal.php (accessed on 22 Octobter 2014).
- Tateishi, R.; Hoan, N.T.; Kobayashi, T.; Alsaaideh, B.; Tana, G.; Phong, D.X. Production of global land cover data—GLCNMO2008. J. Geogr. Geol. 2014, 6. [Google Scholar] [CrossRef]
- Olofsson, P.; Stehman, S.V.; Woodcock, C.E.; Sulla-Menashe, D.; Sibley, A.M.; Newell, J.D.; Friedl, M.A.; Herold, M. A global land-cover validation data set, part I: Fundamental design principles. Int. J. Remote Sens. 2012, 33, 5768–5788. [Google Scholar] [CrossRef]
- Tsendbazar, N.; De Bruin, S.; Herold, M. Assessing global land cover reference datasets for different user communities. ISPRS J. Photogramm. Remote Sens. 2015, 103, 93–114. [Google Scholar] [CrossRef]
- Loveland, T.; Reed, B.; Brown, J.; Ohlen, D.; Zhu, Z.; Yang, L.; Merchant, J. Development of a global land cover characteristics database and IGBP discover from 1 km AVHRR data. Int. J. Remote Sens. 2000, 21, 1303–1330. [Google Scholar] [CrossRef]
- Jung, M.; Henkel, K.; Herold, M.; Churkina, G. Exploiting synergies of global land cover products for carbon cycle modeling. Remote Sens. Environ. 2006, 101, 534–553. [Google Scholar] [CrossRef]
- Tuanmu, M.-N.; Jetz, W. A global 1-km consensus land-cover product for biodiversity and ecosystem modelling. Glob. Ecol. Biogeogr. 2014, 23, 1031–1045. [Google Scholar] [CrossRef]
- DeFries, R.; Los, S. Implications of land-cover misclassification for parameter estimates in global land-surface models: An example from the simple biosphere model (SiB2). Photogramm. Eng. Remote Sens. 1999, 65, 1083–1088. [Google Scholar]
- Castilla, G.; Rodrigue, S.; Skakun, R.; Hall, R. Four national maps of broad forest type provide inconsistent answers to the question of what burns in Canada. Remote Sens. 2016, 8, 539. [Google Scholar] [CrossRef]
- Quaife, T.; Cripps, E. Bayesian analysis of uncertainty in the GlobCover 2009 land cover product at climate model grid scale. Remote Sens. 2016, 8, 314. [Google Scholar] [CrossRef]
- Montesano, P.; Neigh, C.; Sexton, J.; Feng, M.; Channan, S.; Ranson, K.; Townshend, J. Calibration and validation of landsat tree cover in the taiga−tundra ecotone. Remote Sens. 2016, 8, 551. [Google Scholar] [CrossRef]
- Lesiv, M.; Moltchanova, E.; Schepaschenko, D.; See, L.; Shvidenko, A.; Comber, A.; Fritz, S. Comparison of data fusion methods using crowdsourced data in creating a hybrid forest cover map. Remote Sens. 2016, 8, 261. [Google Scholar] [CrossRef]
- Joshi, N.; Baumann, M.; Ehammer, A.; Fensholt, R.; Grogan, K.; Hostert, P.; Jepsen, M.; Kuemmerle, T.; Meyfroidt, P.; Mitchard, E.; et al. A review of the application of optical and radar remote sensing data fusion to land use mapping and monitoring. Remote Sens. 2016, 8, 70. [Google Scholar] [CrossRef]
- Lamarche, C.; Santoro, M.; Bontemps, S.; d’Andrimont, R.; Radoux, J.; Giustarini, L.; Brockmann, C.; Militzer, J.; Defourny, P.; Arino, O. Compilation and validation of sar and optical data sets for a complete and global map of inland/ocean water tailored to the climate modeling community. Remote Sens. 2016, in press. [Google Scholar]
- Comber, A.; Balzter, H.; Cole, B.; Fisher, P.; Johnson, S.; Ogutu, B. Methods to quantify regional differences in land cover change. Remote Sens. 2016, 8, 176. [Google Scholar] [CrossRef]
- ESA. Overview of Sentinel Satellites. Available online: http://www.esa.int/Our_Activities/Observing_the_Earth/Copernicus/Overview4 (accessed on 22 January 2016).
- Satellite Imaging Corporation. Rapideye Satellite Sensor (5m). Available online: http://www.satimagingcorp.com/satellite-sensors/other-satellite-sensors/rapideye/ (accessed on 5 November 2016).
- Marshall, W.; Boshuizen, C. Planet labs’ remote sensing satellite system. In Proceedings of the 27th Small Satellite Conference, Logan, UT, USA, 10–15 August 2013.
- Sexton, J.O.; Song, X.-P.; Feng, M.; Noojipady, P.; Anand, A.; Huang, C.; Kim, D.-H.; Collins, K.M.; Channan, S.; Dimiceli, C. Global, 30-m resolution continuous fields of tree cover: Landsat-based rescaling of MODIS vegetation continuous fields with lidar-based estimates of error. Int. J. Digit. Earth 2013, 6, 427–448. [Google Scholar] [CrossRef]
- VITO. The Proba-V Instrument. Available online: http://www.esa.int/Our_Activities/Space_Engineering_Technology/Proba_Missions/Overview2 (accessed on 3 May 2016).
- Zhu, Z.; Woodcock, C.E. Automated cloud, cloud shadow, and snow detection in multitemporal Landsat data: An algorithm designed specifically for monitoring land cover change. Remote Sens. Environ. 2014, 152, 217–234. [Google Scholar] [CrossRef]
- Verbesselt, J.; Hyndman, R.; Newnham, G.; Culvenor, D. Detecting trend and seasonal changes in satellite image time series. Remote Sens. Environ. 2010, 114, 106–115. [Google Scholar] [CrossRef]
- Australian Geoscience Data Cube (AGDC). Available online: http://www.datacube.org.au/ (accessed on 3 June 2016).
- USGS-Land Cover Institute (USGS-LCI). Land Cover Insitute. Available online: http://landcover.usgs.gov/index.php (accessed on 3 June 2016).
- Global Land Cover Facility. Available online: http://glcf.umd.edu/ (accessed on 3 June 2016).
- Jun, C.; Ban, Y.; Li, S. China: Open access to earth land-cover map. Nature 2014, 514, 434. [Google Scholar] [CrossRef] [PubMed]
- Copernicus Global Land Operations. Dynamic land cover: Copernicus global land service. In Proceedings of the 2016 GEO BON Open Science Conference & All Hands Meeting, Leipzig, Germany, 4–8 July 2016.
- Hansen, M.C.; Potapov, P.V.; Moore, R.; Hancher, M.; Turubanova, S.A.; Tyukavina, A.; Thau, D.; Stehman, S.V.; Goetz, S.J.; Loveland, T.R.; et al. High-resolution global maps of 21st-century forest cover change. Science 2013, 342, 850–853. [Google Scholar] [CrossRef] [PubMed]
- Wu, W.; Hu, Q.; Lu, M.; Chen, D. Framing global cropland dynamics during 2000–2010. In Proceedings of the 2016 GLP Open Science Meeting, Beijing, China, 24–27 October 2016.

© 2016 by the authors; licensee MDPI, Basel, Switzerland. This article is an open access article distributed under the terms and conditions of the Creative Commons Attribution (CC-BY) license (http://creativecommons.org/licenses/by/4.0/).
Share and Cite
Herold, M.; See, L.; Tsendbazar, N.-E.; Fritz, S. Towards an Integrated Global Land Cover Monitoring and Mapping System. Remote Sens. 2016, 8, 1036. https://doi.org/10.3390/rs8121036
Herold M, See L, Tsendbazar N-E, Fritz S. Towards an Integrated Global Land Cover Monitoring and Mapping System. Remote Sensing. 2016; 8(12):1036. https://doi.org/10.3390/rs8121036
Chicago/Turabian StyleHerold, Martin, Linda See, Nandin-Erdene Tsendbazar, and Steffen Fritz. 2016. "Towards an Integrated Global Land Cover Monitoring and Mapping System" Remote Sensing 8, no. 12: 1036. https://doi.org/10.3390/rs8121036
APA StyleHerold, M., See, L., Tsendbazar, N.-E., & Fritz, S. (2016). Towards an Integrated Global Land Cover Monitoring and Mapping System. Remote Sensing, 8(12), 1036. https://doi.org/10.3390/rs8121036

