X-ray Computed Tomography Imaging of the Microstructure of Sand Particles Subjected to High Pressure One-Dimensional Compression
Abstract
:1. Introduction
2. Laboratory Investigation
2.1. Materials
2.2. Experimental Setup
2.3. Image Acquisition and Processing
3. Results and Discussions
3.1. Void Ratio vs. Logarithm of Vertical Stress (e-logσ’v) Plot
3.2. Evolution of Microstructure
3.2.1. Void Size Distributions with Vertical Stresses
3.2.2. Void Ratio Distributions
3.2.3. Particle Size Distributions
Initial Distributions
Load-Dependent Distributions
3.2.4. Particle Breakage
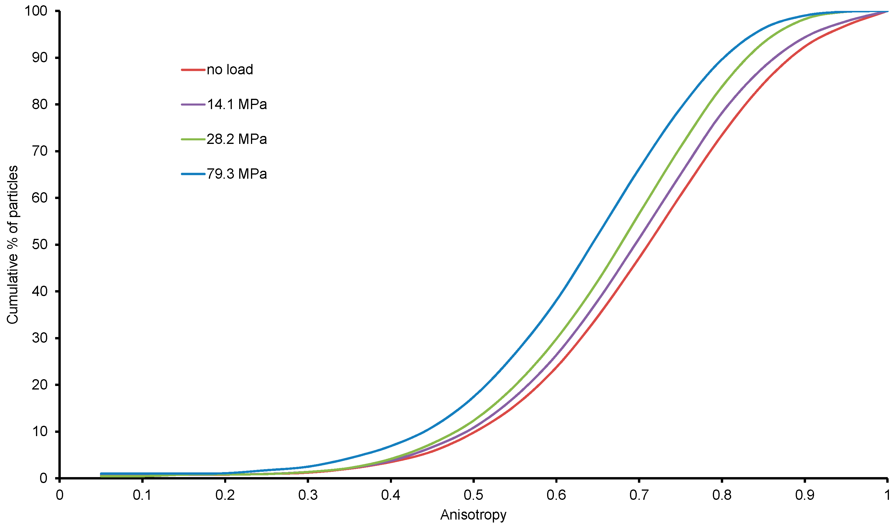
3.2.5. Particle Size Anisotropy
4. Conclusions
- The small-scale 1D compression apparatus setup designed for in situ X-ray CT imaging was found to produce comparable results for e-logσ’v variations including the yield strength obtained from the lab-scale 1D compression test performed by Nakata et al. [13] on uniformly graded sand particles of similar uniformity coefficients. The void ratios calculated for each load cases from the image analysis were in good agreement with the experimental data, including the initial bulk density of the sand particles tested.
- The increase of loads resulted in decreased global void ratios and pore volume sizes. Moreover, the void ratio variations along the height of the sample showed a gradual decrease until the yield stress and thereafter, a significant decrease instigated by marked particles crushing. With the increase of stresses, the sinusoidal variations of void ratios encountered along the height of the sample under low stresses were observed to diminish. A more uniform change of void ratio of sub-volumes (REV) located at peripheral positions was also observed.
- The initial particle size distributions of sand particles obtained from mechanical sieve analysis and that obtained from the image analysis using an equivalent sphere diameter were in reasonably good agreement. The evolution of particle size distributions resulting from the crushing of particles under incremental stresses could be captured using the non-destructive X-ray CT in situ imaging. Moreover, the specific size group of particles predominantly subjected to crushing or forming under different stresses could be identified. With increased stresses, the creation of more fine particles associated with reduced values of size anisotropy was evident.
- The crushing of sand particles in the pre-yield stress region was insignificant as supported by the near zero values of the relative breakage parameter. The value of the relative breakage parameter was found to increase at the onset of yielding and thereafter, a linear variation with logarithm of vertical pressure could be approximated.
Acknowledgments
Author Contributions
Conflicts of Interest
References
- Mitchell, J.K. Fundamentals of Soil Behaviour; Wiley: New York, NY, USA, 1976. [Google Scholar]
- Yamamuro, J.; Bopp, P.; Lade, P. One-dimensional compression of sands at high pressures. J. Geotech. Eng. 1996, 122, 147–154. [Google Scholar] [CrossRef]
- Terzaghi, K.; Peck, R.B. Soil Mechanics in Engineering Practice, 1st ed.; John Wiley & Sons, Inc.: New York, NY, USA, 1948. [Google Scholar]
- De Souza, J.M. Compressibility of Sand at High Pressure. Master’s Thesis, Massachusetts Institute of Technology, Cambridge, MA, USA, 1958. [Google Scholar]
- Chuhan, F.A.; Kjeldstad, A.; Bjorlykke, K.; Hoeg, K. Experimental compression of loose sands: Relevance to porosity reduction during burial in sedimentary basins. Can. Geotech. J. 2003, 40, 995–1011. [Google Scholar] [CrossRef]
- McDowell, G.R. On the yielding and plastic compression of sand. Soils Found. 2002, 42, 139–145. [Google Scholar] [CrossRef]
- Hendron, A.J. The Behavior of Sand in One-Dimensional Compression. Ph.D. Thesis, University of Illinois, Urbana, IL, USA, 1963. [Google Scholar]
- Hardin, B.O. Crushing of soil particles. J. Geotech. Eng. 1985, 111, 1177–1192. [Google Scholar] [CrossRef]
- Hagerty, M.M.; Hite, D.R.; Ullrich, C.R.; Hagerty, D.J. One-dimensional high pressure compression of granular material. J. Geotech. Geoenviron. Eng. 1993, 119, 1–18. [Google Scholar] [CrossRef]
- McDowell, G.R.; Bolton, M.D.; Robertson, D. The fractal crushing of granular materials. J. Mech. Phys. Solids 1996, 44, 2079–2102. [Google Scholar] [CrossRef]
- McDowell, G.; Bolton, M. On the micromechanics of crushable aggregates. Géotechnique 1998, 48, 667–679. [Google Scholar] [CrossRef]
- McDowell, G.R. A physical justification for e-logσ based on fractal crushing and particle kinematics. Géotechnique 2005, 55, 697–698. [Google Scholar] [CrossRef]
- Nakata, Y.; Hyodo, M.; Hyde, A.F.L.; Kato, Y.; Murata, H. Microscopic particle crushing of sand subjected to high pressure one-dimensional compression. Soils Found. 2001, 41, 69–82. [Google Scholar] [CrossRef]
- Altuhafi, F.N.; Coop, M.R. Changes to particle characteristics associated with the compression of sands. Géotechnique 2011, 61, 459–471. [Google Scholar] [CrossRef]
- Tengattini, A.; Das, A.; Einav, I. A constitutive modelling framework predicting critical state in sand undergoing crushing and dilation. Géotechnique 2016, 66, 695–710. [Google Scholar] [CrossRef]
- Muir Wood, D. Geomaterials with changing grading: A route towards modelling. In Geomechanics and Geotechnics of Particulate Media; Hyodo, M., Murata, H., Nakata, Y., Eds.; Taylor & Francis: London, UK, 2006; pp. 313–325. [Google Scholar]
- Muir Wood, D. Critical state and soil modelling. In Deformational Characteristics of Geomaterial; Burns, S.E., Mayne, P.W., Santamarina, J.C., Eds.; IOS Press: Amsterdam, The Netherlands, 2008; pp. 51–72. [Google Scholar]
- Bolton, M.D.; Nakata, Y.; Cheng, Y.P. Micro-and macro-mechanical behaviour of DEM crushable materials. Géotechnique 2008, 58, 471–480. [Google Scholar] [CrossRef]
- Cil, M.B.; Alshibli, K.A. 3D evolution of sand fracture under 1D compression. Géotechnique 2014, 64, 351–364. [Google Scholar] [CrossRef]
- Al-Raoush, R. Microstructure characterization of granular materials. Phys. A Stat. Mech. Appl. 2007, 377, 545–558. [Google Scholar] [CrossRef]
- Alshibli, K.; Druckrey, A.; Al-Raoush, R.; Weiskittel, T.; Lavrik, N. Quantifying morphology of sands using 3D imaging. J. Mater. Civ. Eng. 2014, 27, 04014275. [Google Scholar] [CrossRef]
- Druckrey, A.M.; Alshibli, K.A.; Al-Raoush, R.I. 3D characterization of sand particle-to-particle contact and morphology. Comput. Geotech. 2016, 74, 26–35. [Google Scholar] [CrossRef]
- Fonseca, J.; O’Sullivan, C.; Coop, M.R.; Lee, P.D. Non-invasive characterization of particle morphology of natural sands. Soils Found. 2012, 52, 712–722. [Google Scholar] [CrossRef]
- Karatza, Z.; Andò, E.; Papanicolopulos, S.A.; Ooia, J.Y.; Viggiani, G. Observing breakage in sand under triaxial and oedometric loading in 3D. In Deformation Characteristics of Geomaterials, Proceedings of the 6th International Symposium on Deformation Characteristics of Geomaterials, IS-Buenos Aires 2015, Buenos Aires, Argentina, 15–18 November 2015; IOS Press: Amsterdam, The Netherlands, 2015; Volume 6, p. 431. [Google Scholar]
- Hall, S.A.; Muir Wood, D.; Ibraim, E.; Viggiani, G. Localised deformation patterning in 2D granular materials revealed by digital image correlation. Granul. Matter. 2010, 12, 1–14. [Google Scholar] [CrossRef]
- Higo, Y.; Oka, F.; Sato, T.; Matsushima, Y.; Kimoto, S. Investigation of localized deformation in partially saturated sand under triaxial compression using microfocus X-ray CT with digital image correlation. Soils Found. 2013, 53, 181–198. [Google Scholar] [CrossRef]
- Hashemi, M.A.; Khaddour, G.; François, B.; Massart, T.J.; Salager, S. A tomographic imagery segmentation methodology for three-phase geomaterials based on simultaneous region growing. Acta Geotech. 2014, 9, 831–846. [Google Scholar] [CrossRef]
- Faessel, M.; Jeulin, D. Segmentation of 3D microtomographic images of granular materials with the stochastic watershed. J. Microsc. 2009, 239, 17–31. [Google Scholar] [CrossRef] [PubMed]
- Zhao, B.; Wang, J.; Coop, M.R.; Viggiani, G.; Jiang, M. An investigation of single sand particle fracture using X-ray micro-tomography. Géotechnique 2015, 65, 625–641. [Google Scholar] [CrossRef]
- Razavi, M.R.; Muhunthan, B.; Al Hattamleh, O. Representative elementary volume analysis of sands using X-ray computed tomography. Geotech. Test. J. 2007, 30, 1–8. [Google Scholar] [CrossRef]
- Standard Test Methods for One-Dimensional Consolidation Properties of Soils Using Incremental Loading; ASTM D2435/D2435M-11; ASTM International: West Conshohocken, PA, USA, 2011; Available online: http://www.astm.org (accessed on 2 November 2016).
- Microtest, version 6.13; Microtest materials testing modules; Deben UK Ltd.: Suffolk, UK, 2013.
- Xradia, XMReconstructor—Cone Beam-10, Xradia, Inc.: Pleasanton, CA, USA.
- Avizo 9.1.1, FEI Visualizations Sciences Group: Hillsboro, OR, USA, 2015.
- Hasan, A.; Alshibli, K.A. Experimental assessment of 3D particle-to-particle interaction within sheared sand using synchrotron microtomography. Géotechnique 2010, 60, 369–379. [Google Scholar] [CrossRef]
- Chowdhury, B.; Haque, A.; Muhunthan, B. New pressure-void ratio relationship for structured soils in the virgin compression range. J. Geotech. Geoenviron. Eng. 2014, 140, 1–5. [Google Scholar] [CrossRef]
- Islam, S.; Haque, A.; Wilson, S.; Ranjith, P. Time-dependent strength and mineralogy of Lime-GGBS treated naturally occurring acid sulfate soils. J. Mater. Civ. Eng. 2015, 28, 04015077. [Google Scholar] [CrossRef]
- Fonseca, J.; Sim, W.W.; Shire, T.; O’sullivan, C. Microstructural analysis of sands with varying degrees of internal stability. Géotechnique 2014, 64, 405–411. [Google Scholar] [CrossRef]
- Carpenter, F.G.; Deitz, V.R. Methods of sieve analysis with particular reference to bone char. J. Res. Natl. Bur. Stand. 1950, 45, 328–346. [Google Scholar] [CrossRef]
- Coop, M.R.; Lee, I.K. The behaviour of granular soils at elevated stresses. In Proceedings of the Wroth Memorial Symposium Predictive Soil Mechanics, Oxford, UK, 27–29 July 1992.
















| Parameter | Value/Description |
|---|---|
| Source to sample distance | 85 mm |
| Detector to sample distance | 322 mm |
| Voltage | 140 keV |
| Power | 10 W |
| Exposure time | 2.5 s |
| Camera binning | 2 |
| Lens | Macro (0.4×) |
| Mass-Volume-Density Relationships | Image Analysis |
|---|---|
| Initial bulk density (ρi) = 1.62 g/cm3 | Total volume of sand particles (Vs) = 0.09 cm3 |
| Specific gravity of sand particles (Gs) = 2.68 | |
| Mass of sand particles (Mc) = VsGsρw = 0.24 gm | |
| Bulk volume (Vb) = 0.15 cm3 | |
| Bulk density = Ms/Vb = 1.60 ≈ 1.62 g/cm3 |
© 2016 by the authors; licensee MDPI, Basel, Switzerland. This article is an open access article distributed under the terms and conditions of the Creative Commons Attribution (CC-BY) license (http://creativecommons.org/licenses/by/4.0/).
Share and Cite
Al Mahbub, A.; Haque, A. X-ray Computed Tomography Imaging of the Microstructure of Sand Particles Subjected to High Pressure One-Dimensional Compression. Materials 2016, 9, 890. https://doi.org/10.3390/ma9110890
Al Mahbub A, Haque A. X-ray Computed Tomography Imaging of the Microstructure of Sand Particles Subjected to High Pressure One-Dimensional Compression. Materials. 2016; 9(11):890. https://doi.org/10.3390/ma9110890
Chicago/Turabian StyleAl Mahbub, Asheque, and Asadul Haque. 2016. "X-ray Computed Tomography Imaging of the Microstructure of Sand Particles Subjected to High Pressure One-Dimensional Compression" Materials 9, no. 11: 890. https://doi.org/10.3390/ma9110890
APA StyleAl Mahbub, A., & Haque, A. (2016). X-ray Computed Tomography Imaging of the Microstructure of Sand Particles Subjected to High Pressure One-Dimensional Compression. Materials, 9(11), 890. https://doi.org/10.3390/ma9110890

