Versatile Biodegradable Poly(ester amide)s Derived from α-Amino Acids for Vascular Tissue Engineering
Abstract
:1. Introduction
2. Results and Discussion
2.1. Polymer synthesis and characterization




| Polymer | Sample Name | Yield (%) | Mn (g/mol) | Mw (g/mol) | PDI | Tg (°C) |
|---|---|---|---|---|---|---|
| l-phenylalanine, 1,4-butanediol, sebacoyl chloride | PEA-Ph48 | 85.15 | 45,070 | 70,596 | 1.56 | 39 |
| l-phenylalanine, 1,6-hexanediol, sebacoyl chloride | PEA-Ph68 | 81.03 | 32,538 | 45,008 | 1.38 | 28 |
| l-methionine,1,4-butanediol, sebacoyl chloride | PEA-Me48 | 63.21 | 27,974 | 37,050 | 1.32 | -2 |
| l-methionine, 1,6-hexanediol, sebacoyl chloride | PEA-Me68 | 78.09 | 35,913 | 49,481 | 1.38 | -1 |

2.2. Thermal analysis


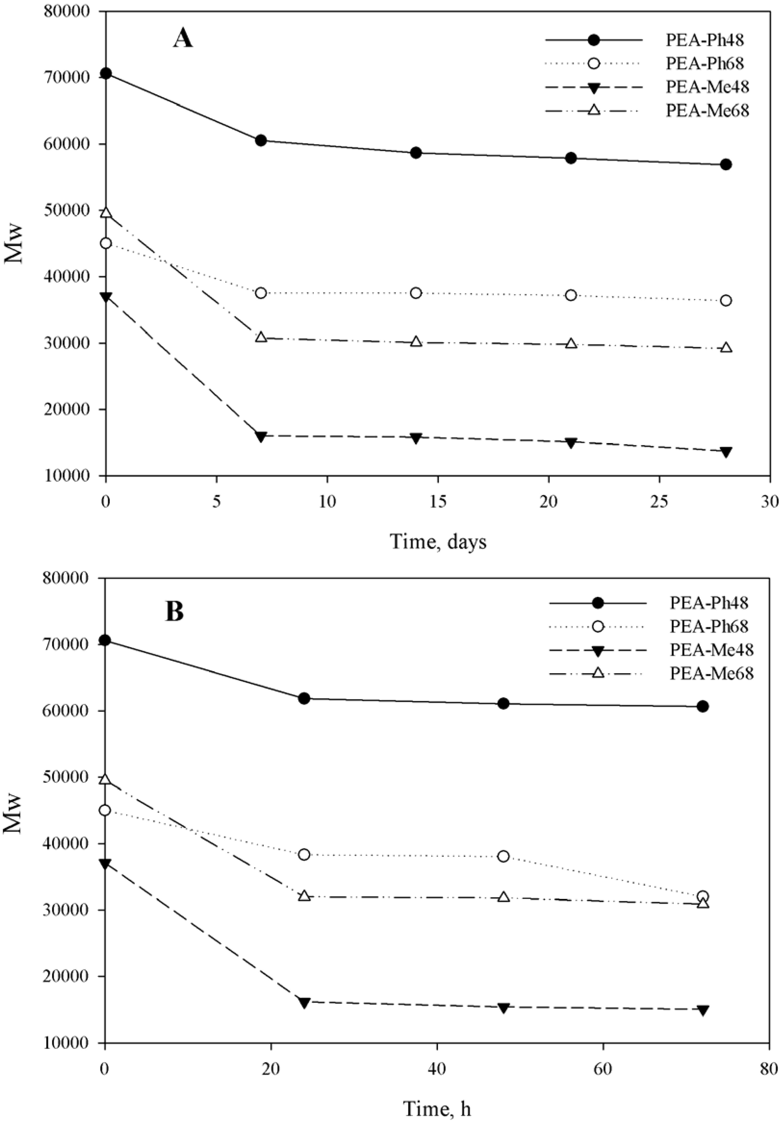
2.3. Biodegradation studies



2.4. Vascular smooth muscle cells interaction with PEAs

2.5. Scaffold fabrication

3. Experimental Section
3.1. Materials and methods
3.2. Synthesis of l-phenylalanine/l-methionine, and 1,4-butanediol/1,6-hexanediol diester p-toluene sulfonate.
3.3. Synthesis of PEAs by interfacial polymerization (Scheme 1)
3.4. Spectroscopic analyses
3.5. Gel permeation chromatography (GPC)
3.6. Differential scanning calorimetry (DSC)
3.7. Thermogravimetric analysis (TGA)
3.8. Biodegradation study
3.9. Sample preparation for cell culture
3.10. Cell culture and immunofluorescence microscopy
3.11. Scaffold fabrication
3.12. Scanning electron microscopy (SEM)
4. Conclusions
Acknowledgements
References and Notes
- Okada, M.; Yamada, M.; Yokoe, M.; Aoi, K. Biodegradable polymers based on renewable resources. V. Synthesis and biodegradation behavior of poly(ester amide)s composed of 1,4:3,6-dianhydro-D-glucitol, alpha-amino acid, and aliphatic dicarboxylic acid units. J. Appl. Polym. Sci. 2001, 81, 2721–2734. [Google Scholar] [CrossRef]
- Hasirci, V. Biodegradable polymers as scaffolds of tissue engineering: Performance and biocompatibility. FEBS J. 2006, 273, 31–31. [Google Scholar] [CrossRef]
- Martina, M.; Hutmacher, D.W. Biodegradable polymers applied in tissue engineering research: A review. Polym. Int. 2007, 56, 145–157. [Google Scholar] [CrossRef]
- Almontassir, A.; Gesti, S.; Franco, L.; Puiggali, J. Molecular packing of polyesters derived from 1,4-butanediol and even aliphatic dicarboxylic acids. Macromolecules 2004, 37, 5300–5309. [Google Scholar] [CrossRef]
- Nair, L.S.; Laurencin, C.T. Biodegradable polymers as biomaterials. Prog. Polym. Sci. 2007, 32, 762–798. [Google Scholar] [CrossRef]
- Puiggali, J.; Ikada, Y.; Tsuji, H.; Cartier, L.; Okihara, T.; Lotz, B. The frustrated structure of poly(l-lactide). Polymer 2000, 41, 8921–8930. [Google Scholar] [CrossRef]
- Wang, Y.; Ameer, G.A.; Sheppard, B.J.; Langer, R. A tough biodegradable elastomer. Nat. Biotechnol. 2002, 20, 602–606. [Google Scholar] [CrossRef] [PubMed]
- Vert, M. Aliphatic polyesters: Great degradable polymers that cannot do everything. Biomacromolecules 2005, 6, 538–546. [Google Scholar] [CrossRef] [PubMed]
- Zhang, L.L.; Xiong, C.D.; Deng, X.M. Biodegradable polyester blends for biomedical application. J. Appl. Polym. Sci. 1995, 56, 103–112. [Google Scholar] [CrossRef]
- Eglin, D.; Mortisen, D.; Alini, M. Degradation of synthetic polymeric scaffolds for bone and cartilage tissue repairs. Soft Matter 2009, 5, 938–947. [Google Scholar] [CrossRef]
- Hemmrich, K.; Salber, J.; Meersch, M.; Wiesemann, U.; Gries, T.; Pallua, N.; Klee, D. Three-dimensional nonwoven scaffolds from a novel biodegradable poly(ester amide) for tissue engineering applications. J. Mater. Sci. Mater. Med. 2008, 19, 257–267. [Google Scholar] [CrossRef] [PubMed]
- Paredes, N.; Rodriguez-Galan, A.; Puiggali, J. Synthesis and structural study of a new biodegradable copolymer of nylon-11 and L-alanine. Polymer 1996, 37, 4175–4181. [Google Scholar] [CrossRef]
- Anderson, J.M.; Gibbons, D.F.; Martin, R.L.; Hiltner, A.; Woods, R. The potential for poly-alpha-amino acids as biomaterials. J. Biomed. Mater. Res. 1974, 8, 197–207. [Google Scholar] [CrossRef] [PubMed]
- Gupta, A.S.; Lopina, S.T. L-tyrosine-based backbone-modified poly(amino acids). J. Biomater. Sci. Polym. Ed. 2002, 13, 1093–1104. [Google Scholar] [CrossRef] [PubMed]
- Puiggali, J.; Subirana, J.A. Synthetic polymers containing alpha-amino acids: From polyamides to poly(ester amide)s. J. Pept. Sci. 2005, 11, 247–249. [Google Scholar] [CrossRef] [PubMed]
- Tsitlanadze, G.; Kviria, T.; Katsarava, R.; Chu, C.C. In vitro enzymatic biodegradation of amino acid based poly(ester amide)s biomaterials. J. Mater. Sci. Mater. Med. 2004, 15, 185–190. [Google Scholar] [CrossRef] [PubMed]
- Saotome, Y.; Miyazawa, T.; Endo, T. Novel enzymatically degradable polymers comprising alpha-amino-acid, 1,2-ethanediol, and adipic acid. Chem. Lett. 1991, 20, 21–24. [Google Scholar] [CrossRef]
- Saotome, Y.; Tashiro, M.; Miyazawa, T.; Endo, T. Enzymatic degrading solubilization of a polymer comprising glycine, phenylalanine, 1,2-ethanediol, and adipic acid. Chem. Lett. 1991, 20, 153–154. [Google Scholar] [CrossRef]
- Paredes, N.; Rodriguez-Galan, A.; Puiggali, J. Synthesis and characterization of a family of biodegradable poly(ester amide)s derived from glycine. J. Polym. Sci. Polym. Chem. 1998, 36, 1271–1282. [Google Scholar] [CrossRef]
- Paredes, N.; Rodriguez-Galan, A.; Puiggali, J.; Peraire, C. Studies on the biodegradation and biocompatibility of a new poly(esteramide) derived from L-alanine. J. Appl. Polym. Sci. 1998, 69, 1537–1549. [Google Scholar] [CrossRef]
- Puiggali, J.; Aceituno, J.E.; Paredes, N.; Rodriguez-Galan, A.; Pelfort, M.; Subirana, J.A. Preliminary structural data on new biodegradable poly(esteramide)s derived from l- and l,d-alanine. Abstr. Paper. Am. Chem. Soc. 1998, 216, U858. [Google Scholar]
- Paredes, N.; Casas, M.T.; Puiggali, J.; Lotz, B. Structural data on the packing of poly(ester amide)s derived from glycine, hexanediol, and odd-numbered dicarboxylic acids. J. Polym. Sci. Polym. Phy. 1999, 37, 2521–2533. [Google Scholar] [CrossRef]
- Rodriguez-Galan, A.; Pelfort, M.; Aceituno, J.E.; Puiggali, J. Comparative studies on the degradability of poly(ester amide)s derived from l- and l,d-alanine. J. Appl. Polym. Sci. 1999, 74, 2312–2320. [Google Scholar] [CrossRef]
- Peredes, N.; Casas, M.T.; Puiggali, J. Packing of sequential poly(ester amide)s derived from diols, dicarboxylic acids, and amino acids. Macromolecules 2000, 33, 9090–9097. [Google Scholar] [CrossRef]
- Puiggali, J.; Almontassir, A.; Franco, L.; Casas, M.T. Structure of poly(ester amide)s derived from alpha-amino acids and related polyesters. Abstr. Paper. Am. Chem. Soc. 2002, 223, D48. [Google Scholar]
- Katsarava, R.; Beridze, V.; Arabuli, N.; Kharadze, D.; Chu, C.C.; Won, C.Y. Amino acid-based bioanalogous polymers. Synthesis, and study of regular poly(ester amide)s based on bis(alpha-amino acid) alpha,omega-alkylene diesters, and aliphatic dicarboxylic acids. J. Polym. Sci. Polym. Chem. 1999, 37, 391–407. [Google Scholar] [CrossRef]
- Markoishvili, K.; Tsitlanadze, G.; Katsarava, R.; Morris, J.G., Jr.; Sulakvelidze, A. A novel sustained-release matrix based on biodegradable poly(ester amide)s and impregnated with bacteriophages and an antibiotic shows promise in management of infected venous stasis ulcers and other poorly healing wounds. Int. J. Dermatol. 2002, 41, 453–458. [Google Scholar] [CrossRef] [PubMed]
- Yamanouchi, D.; Wu, J.; Lazar, A.N.; Craig Kent, K.; Chu, C.C.; Liu, B. Biodegradable arginine-based poly(ester-amide)s as non-viral gene delivery reagents. Biomaterials 2008, 29, 3269–3277. [Google Scholar] [CrossRef] [PubMed]
- Guo, K.; Chu, C.C. Biodegradable and injectable paclitaxel-loaded poly(ester amide)s microspheres: Fabrication and characterization. J. Biomed. Mater. Res. Appl. Biomater. 2009, 89, 491–500. [Google Scholar] [CrossRef]
- Fan, Y.J.; Kobayashi, M.; Kise, H. Synthesis and biodegradation of poly(ester amide)s containing amino acid residues: The effect of the stereoisomeric composition of L- and D-phenylalanines on the enzymatic degradation of the polymers. J. Polym. Sci. Polym. Chem. 2002, 40, 385–392. [Google Scholar] [CrossRef]
- Han, S.I.; Kim, B.S.; Kang, S.W.; Shirai, H.; Im, S.S. Cellular interactions and degradation of aliphatic poly(ester amide)s derived from glycine and/or 4-amino butyric acid. Biomaterials 2003, 24, 3453–3462. [Google Scholar] [CrossRef] [PubMed]
- Grenier, S.; Sandig, M.; Mequanint, K. Polyurethane biomaterials for fabricating 3D porous scaffolds and supporting vascular cells. J. Biomed. Mater. Res. A 2007, 82, 802–809. [Google Scholar] [CrossRef] [PubMed]
- Fan, Y.J.; Kobayashi, M.; Kise, H. Synthesis and biodegradability of new polyesteramides containing peptide linkages. Polym. J. 2000, 32, 817–822. [Google Scholar] [CrossRef]
- Odian, G. Principles of Polymerization, 4th ed.; John Wiley & Sons Inc: Hoboken, NJ, USA, 2004; Chapter 2. [Google Scholar]
- Arai, Y.; Watanabe, M.; Sanui, K.; Ogata, N. Effect of polycondensation methods on molecular weight distribution of nylon 6,10. J. Polym. Sci. Polym. Chem. 2003, 23, 3081–3093. [Google Scholar] [CrossRef]
- Guo, K.; Chu, C.C. Synthesis, characterization, and biodegradation of novel poly(ether ester amide)s based on l-phenylalanine and oligoethylene glycol. Biomacromolecules 2007, 8, 2851–2861. [Google Scholar] [CrossRef] [PubMed]
- De Wit, M.A.; Wang, Z.X.; Atkins, K.M.; Mequanint, K.; Gillies, E.R. Syntheses, characterization, and functionalization of poly(ester amide)s with pendant amine functional groups. J. Polym. Sci. Polym. Chem. 2008, 46, 6376–6392. [Google Scholar] [CrossRef]
- Gow, P.J.; Ghabrial, H.; Treepongkaruna, S.; Shulkes, A.; Smallwood, R.A.; Morgan, D.J.; Ching, M.S. Conjugation of para-nitrophenol by the isolated perfused neonatal sheep liver. J. Pharm. Sci. 2000, 89, 36–44. [Google Scholar] [CrossRef] [PubMed]
- Palys, L.H. Peroxide Cure Systems. In Rubber Technology: Compounding and Testing for Performance; Dick, J.S., Ed.; Hanser Gardner Publications: Cincinnati, OH, USA, 2001; pp. 411–437. [Google Scholar]
- Guo, K.; Chu, C.C.; Chkhaidze, E.; Katsarava, R. Synthesis and characterization of novel biodegradable unsaturated poly(ester amide)s. J. Polym. Sci. Polym. Chem. 2005, 43, 1463–1477. [Google Scholar] [CrossRef]
- Katsarava, R. Active polycondensation: From peptide chemistry to amino acid based biodegradable polymers. Macromol. Symp. 2003, 199, 419–429. [Google Scholar] [CrossRef]
- Tsitlanadze, G.; Machaidze, M.; Kviria, T.; Djavakhishvili, N.; Chu, C.C.; Katsarava, R. Biodegradation of amino-acid-based poly(ester amide)s: In vitro weight loss and preliminary in vivo studies. J. Biomater. Sci. Polym. Ed. 2004, 15, 1–24. [Google Scholar] [CrossRef] [PubMed]
- Hemmrich, K.; Meersch, M.; Wiesemann, U.; Salber, J.; Klee, D.; Gries, T.; Pallua, N. Polyesteramide-derived nonwovens as innovative degradable matrices support preadipocyte adhesion, proliferation, and differentiation. Tissue Eng. 2006, 12, 3557–3565. [Google Scholar] [CrossRef] [PubMed]
- Lips, P.A.; van Luyn, M.J.; Chiellini, F.; Brouwer, L.A.; Velthoen, I.W.; Dijkstra, P.J.; Feijen, J. Biocompatibility and degradation of aliphatic segmented poly(ester amide)s: In vitro and in vivo evaluation. J. Biomed. Mater. Res. A. 2006, 76, 699–710. [Google Scholar] [CrossRef] [PubMed]
- Neuss, S.; Apel, C.; Buttler, P.; Denecke, B.; Dhanasingh, A.; Ding, X.; Grafahrend, D.; Groger, A.; Hemmrich, K.; Herr, A.; Jahnen-Dechent, W.; Mastitskaya, S.; Perez-Bouza, A.; Rosewick, S.; Salber, J.; Woltje, M.; Zenke, M. Assessment of stem cell/biomaterial combinations for stem cell-based tissue engineering. Biomaterials 2008, 29, 302–313. [Google Scholar] [CrossRef] [PubMed]
© 2010 by the authors; licensee Molecular Diversity Preservation International, Basel, Switzerland. This article is an open-access article distributed under the terms and conditions of the Creative Commons Attribution license (http://creativecommons.org/licenses/by/3.0/).
Share and Cite
Karimi, P.; Rizkalla, A.S.; Mequanint, K. Versatile Biodegradable Poly(ester amide)s Derived from α-Amino Acids for Vascular Tissue Engineering. Materials 2010, 3, 2346-2368. https://doi.org/10.3390/ma3042346
Karimi P, Rizkalla AS, Mequanint K. Versatile Biodegradable Poly(ester amide)s Derived from α-Amino Acids for Vascular Tissue Engineering. Materials. 2010; 3(4):2346-2368. https://doi.org/10.3390/ma3042346
Chicago/Turabian StyleKarimi, Pooneh, Amin S. Rizkalla, and Kibret Mequanint. 2010. "Versatile Biodegradable Poly(ester amide)s Derived from α-Amino Acids for Vascular Tissue Engineering" Materials 3, no. 4: 2346-2368. https://doi.org/10.3390/ma3042346
APA StyleKarimi, P., Rizkalla, A. S., & Mequanint, K. (2010). Versatile Biodegradable Poly(ester amide)s Derived from α-Amino Acids for Vascular Tissue Engineering. Materials, 3(4), 2346-2368. https://doi.org/10.3390/ma3042346
