Vibration and Noise Transmitted by Agricultural Backpack Powered Machines Critically Examined Using the Current Standards
Abstract
1. Introduction
2. Materials and Methods
2.1. The Examined Machines
2.2. Vibration
2.2.1. Measurement Chain
2.2.2. Back Vibration: Unweighted and Weighted VTVs (Vibration Total Values)
2.2.3. HAV: Unweighted and Weighted VTVs
2.3. Noise
2.3.1. Measurement Chain
2.3.2. Noise Measurement
2.3.3. Daily Exposure
2.4. Statistical Analysis
3. Results
3.1. Back Vibration
3.1.1. VTVs Analysis: Unweighted and Wc Weighted Accelerations
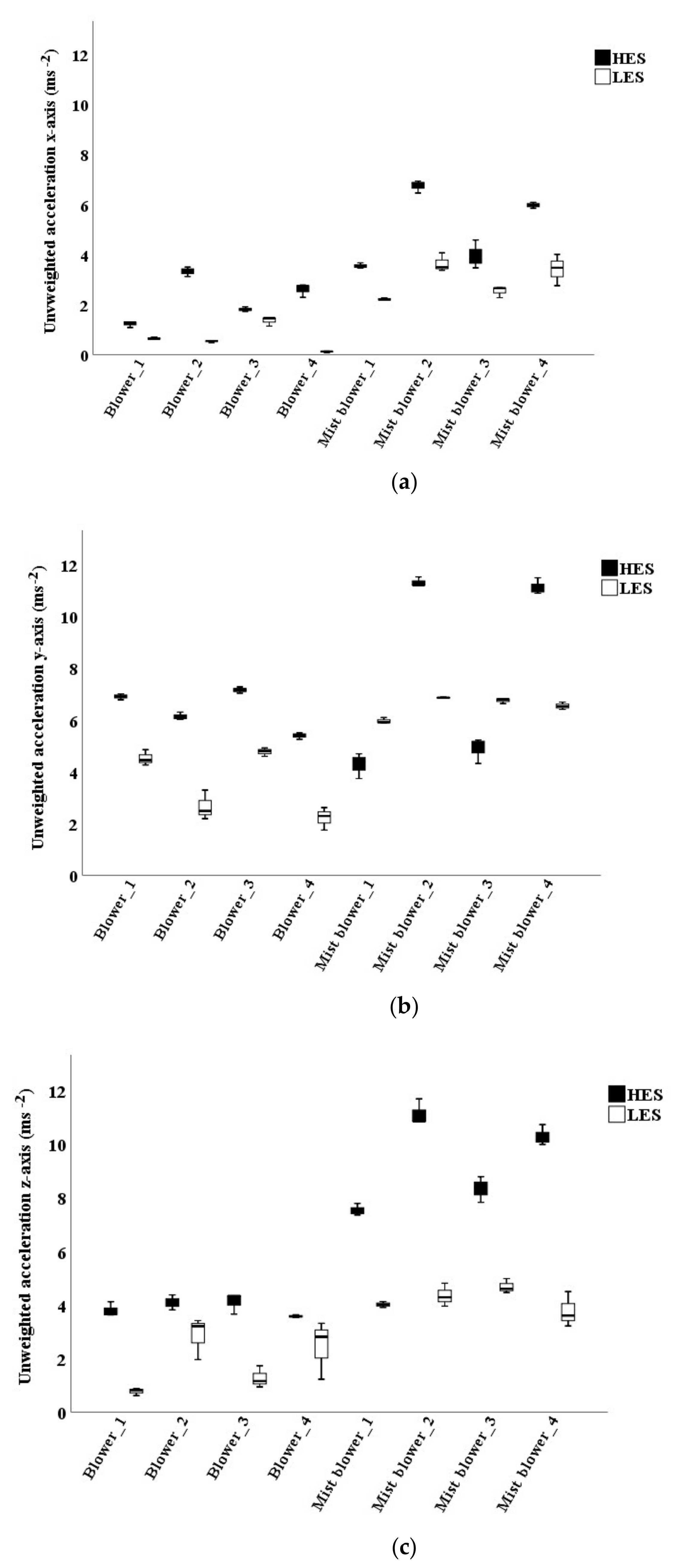
3.1.2. Back Unweighted Acceleration Analysis: x, y, and z-Axes
3.1.3. Frequency Analysis
3.2. HAV
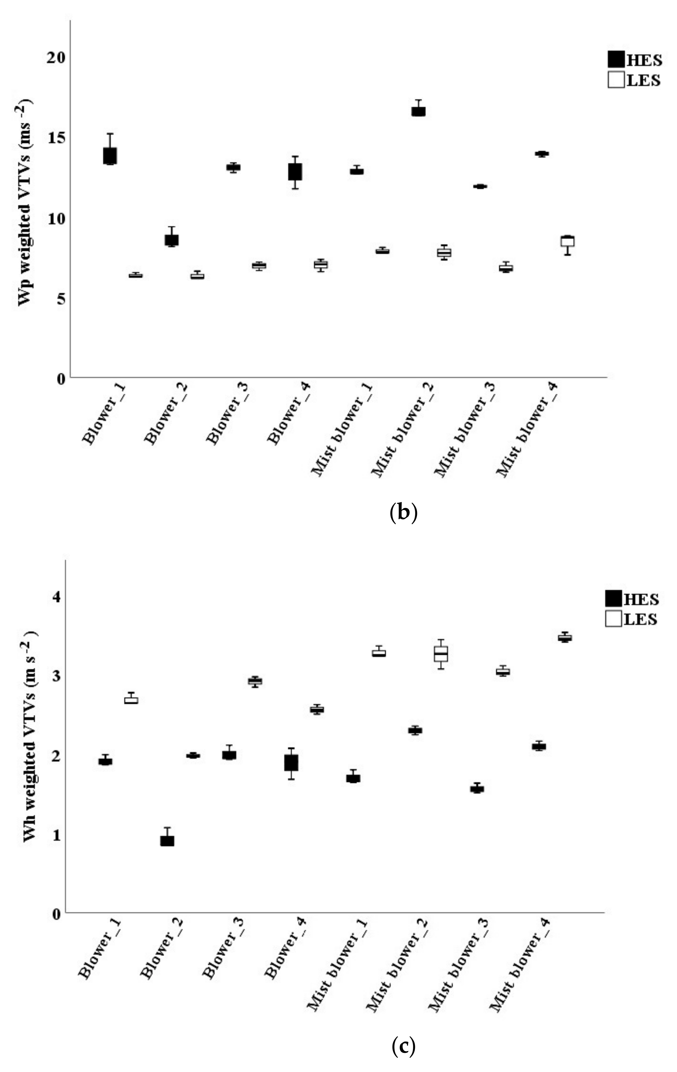
3.2.1. VTVs (Unweighted, Wh and Wp Weighted)
3.2.2. Accelerations Along x, y, and z-axes
3.2.3. Frequency Analysis
3.3. Noise
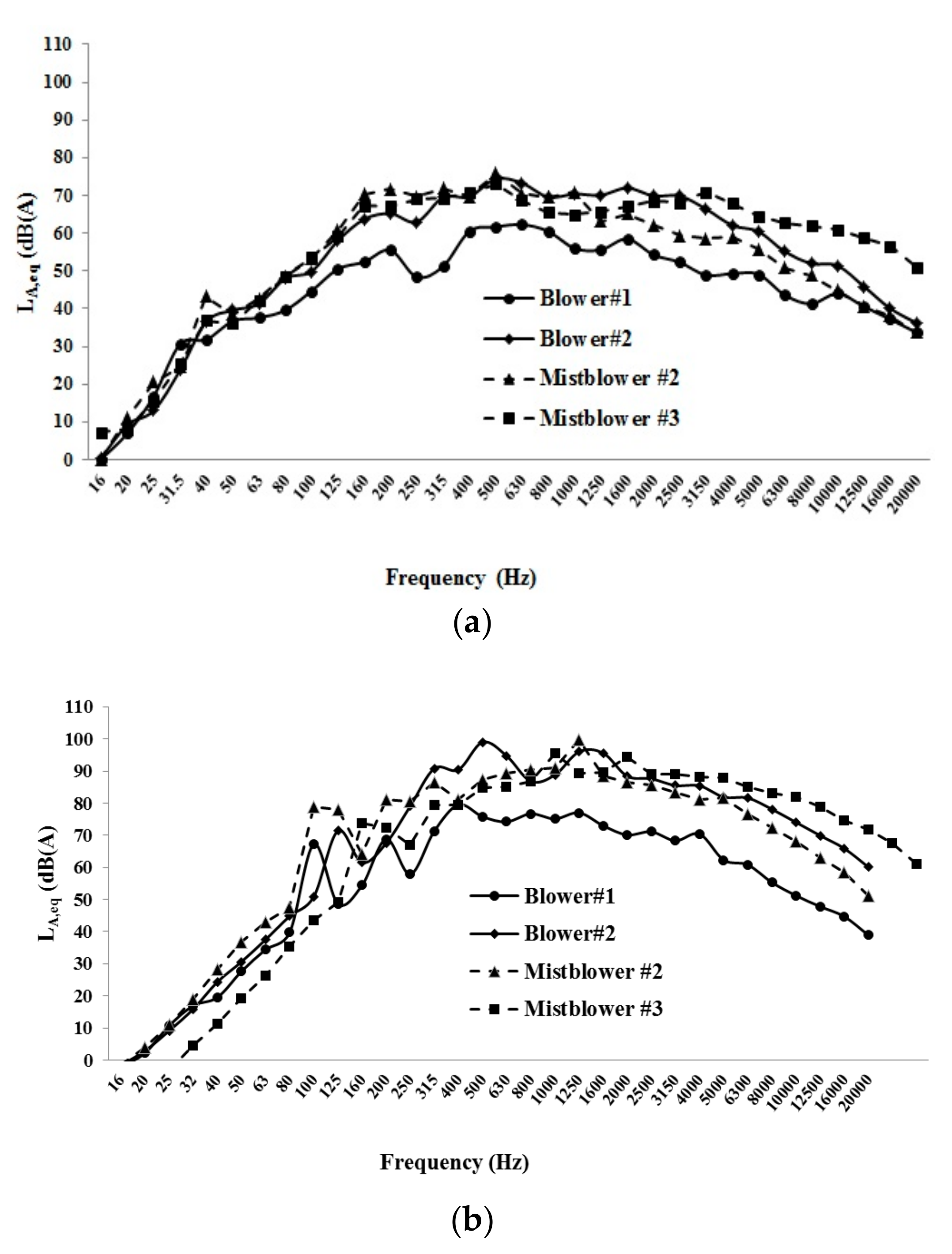
Noise Frequency Analysis
4. Discussion
5. Conclusions
Author Contributions
Funding
Conflicts of Interest
References
- EC Commission. European Directive 2002/44/EC; EC Commission: Luxembourg, 2002. [Google Scholar]
- EC Commission. European Directive 2003/10/EC; EC Commission: Luxembourg, 2003. [Google Scholar]
- ISO 2631-1. Mechanical Vibration and Shock—Evaluation of Human Exposure to whole-Body Vibration. Part 1: General Requirements; International Standard: Geneva, Switzerland, 2003.
- ISO 5349-1. Mechanical Vibration. Measurement and Evaluation of Human Exposure to Hand-Transmitted Vibration; International Standard: Geneva, Switzerland, 2001.
- ISO 9612. Acoustics. Determination of Occupational Noise Exposure. Engineering Method; International Standard: Geneva, Switzerland, 2009.
- Kovác, J.; Krilek, J.; Dado, M.M.; Beňo, P. Investigating the influence of design factors on noise and vibrations in the case of chainsaws for forestry work. FME Trans. 2018, 46, 513–519. [Google Scholar] [CrossRef]
- Calcante, A.; Facchinetti, D.; Pessina, D. Analysis of hazardous emissions of hand-operated forestry machines fuelled with standard mix or alkylate gasoline. Croat. J. For. Eng. 2018, 39, 109–116. [Google Scholar]
- Rukat, W.; Jakubek, R. The influence of the cutting tooth design and wear of a saw chain on the vibration level of a chainsaw. J. Vib. Phys. Syst. 2017, 28, 1–8. [Google Scholar]
- Azmir, N.A.; Yahya, M.N. Prevalence of hand-transmitted vibration exposure among grass-cutting workers using objective and subjective measures. IOP Conf. Ser. Mater. Sci. Eng. 2017, 165, 1–7. [Google Scholar] [CrossRef]
- Fonseca, A.; Aghazadeh, F.; de Hoop, C.; Ikuma, L.; Al-Qaisi, S. Effect of noise emitted by forestry equipment on workers’ hearing capacity. Int. J. Ind. Ergon. 2015, 46, 105–112. [Google Scholar] [CrossRef]
- Su, A.T.; Maeda, S.; Fukumoto, J.; Miyai, N.; Isahak, M.; Yoshioka, A.; Nakajima, R.; Bulgiba, A.; Miyashita, M. A cross sectional study on hand-arm vibration syndrome among a group of tree fellers in a tropical environment. Ind. Health 2014, 52, 367–376. [Google Scholar] [CrossRef] [PubMed]
- Sorică, E.; Vlăduţ, V.; Cârdei, P.; Sorică, C.; Brăcăcescu, C. Comparative analysis of the noise and vibration transmitted to the operator by a brush cutter. In Acoustics and Vibration of Mechanical Structures AVMS-2017; Springer Proceedings in Physics 198; Springer: Cham, Switzerland, 2018; pp. 165–172. [Google Scholar]
- Bernardi, B.; Quendler, E.; Benalia, S.; Mantella, A.; Zimbalatti, G. Occupational risks related to vibrations using a brush cutter for green area management. Ann. Agric. Environ. Med. 2018, 25, 255–258. [Google Scholar] [CrossRef] [PubMed]
- Calvo, A.; Deboli, R.; Preti, C. Operators exposure to noise and vibration in the grass cut tasks, comparison between private and public yards. Agric. Eng. Int. CIGR J. 2016, 18, 213–225. [Google Scholar]
- Uemura, M.; Yoshida, J.; Miyakawa, S.; Oono, T.; Ishikawa, D. Vibration reduction of brush cutter considering human response characteristic. In INTER-NOISE and NOISE-CON Congress and Conference Proceedings; Institute of Noise Control Engineering: Melbourne, Australia, 2014; pp. 2210–2218. [Google Scholar]
- Ko, Y.H.; Ean, O.L.; Ripin, Z.M. The design and development of suspended handles for reducing hand-arm vibration in petrol driven grass trimmer. Int. J. Ind. Ergon. 2011, 41, 459–470. [Google Scholar] [CrossRef]
- Meier, R.; Wayne, E.C.; Danuser, B.; Riediker, M. Exposure of highway maintenance workers to fine particulate matter and noise. Ann. Occup. Hyg. 2013, 57, 992–1004. [Google Scholar]
- Mallick, Z. Optimization of the operating parameters of a grass trimming machine. Appl. Ergon. 2010, 41, 260–265. [Google Scholar] [CrossRef] [PubMed]
- Silva, M.; Yanagi, J.T.; Schiassi, L.; Rossoni, D.F.; Barbosa, J.A.; Yanagi, S.M. Spatial variability of the noise level of a hedge trimmer and backpack blower. Revista Brasileira de Ciências Agrárias 2014, 9, 454–458. [Google Scholar] [CrossRef][Green Version]
- Pasanen, T.; Rytkönen, E.; Sorainen, E. Leaf blower noise. In Proceedings of the Joint Baltic-Nordic Acoustics Meeting, Mariehamn, Aland, 8–10 June 2004. [Google Scholar]
- Sasaki, R.S.; Furtado Júnior, M.R.; Leite, E.S.; Souza, A.P.; Teixeira, M.M.; Fernandes, H.C. Ergonomic evaluation of backpack mist blowers used in forestry. Revista Arvore 2014, 38, 331–337. [Google Scholar] [CrossRef]
- Deboli, R.; Calvo, A.; Rapisarda, V.; Preti, C.; Inserillo, M. Vibration transmitted to operator’s back by machines with back-pack power unit, a case study on blower and spraying machines. J. Agric. Eng. 2013, 44, 724–729. [Google Scholar] [CrossRef]
- Vilela, R.A.G.; Malagoli, M.E.; Morrone, L.C. Trabalhadores da saúdesobrisco, o uso de pulverizadores no controle de vetores. Revista Produção 2005, 15, 263–272. [Google Scholar]
- Calvo, A.; Preti, C.; Cutini, M.; Deboli, R. Vibration on the backs of mist blower operators, is it only a (dis)comfort question? Biosyst. Eng. 2019, in press. [Google Scholar] [CrossRef]
- Denkyirah, E.K.; Okoffo, E.D.; Taylor Adu, D.; Aziz, A.A.; Ofori, A. Modeling Ghanaian cocoa farmers’ decision to use pesticide and frequency of application, the case of Brong Ahafo Region. SpringerPlus 2016, 5, 1113. [Google Scholar] [CrossRef]
- ISO/TR 18570. Mechanical Vibration. Measurement and Evaluation of Human Exposure to hand-Transmitted Vibration. Supplementary Method for Assessing Risk of Vascular Disorder; International Standard: Geneva, Switzerland, 2017.
- ISO 10326-1. Mechanical Vibration. Laboratory Method for Evaluating Vehicle Seat Vibration. Part 1, Basic Requirements; International Standard: Geneva, Switzerland, 2016.
- EN ISO 20643. Mechanical Vibration—Hand-held and Hand-Guided Machinery—Principles for Evaluation of Vibration Emission; International Standard: Geneva, Switzerland, 2008.
- Brammer, A.J.; Pitts, P.M. Frequency weighting for vibration-induced white finger compatible with exposure-response models. Ind. Health. 2012, 50, 397–411. [Google Scholar] [CrossRef]
- CEN/TR 15350. Mechanical Vibration—Guideline for the Assessment of Exposure to Hand-Transmitted Vibration Using Available Information Including that Provided by Manufacturers of Machinery; International Standard: Geneva, Switzerland, 2013.
- IEC 61672-1. Electroacoustics. Sound Level Meters. Part 1, Specifications; Electrotechnical Commission: Geneva, Switzerland, 2013.
- Lunneborg, C.E. Data Analysis by Resampling, Concepts and Applications; Pacific Grove: Duxbury, CA, USA, 2000; pp. 120–131. [Google Scholar]
- Salibi´an-Barrera, M.; Van Aelst, S.; Willems, G. Fast and robust bootstrap. Stat. Methods Appl. 2008, 17, 41–71. [Google Scholar] [CrossRef]
- Bovenzi, M.; Pinto, I.; Picciolo, F.; Mauro, M.; Ronchese, F. Frequency weightings of hand-transmitted vibration for predicting vibration-induced white finger. Scand. J. Work Environ. Health 2011, 37, 244–252. [Google Scholar] [CrossRef]
- Tominaga, Y. New frequency weighting of hand-arm vibration. Ind. Health 2005, 43, 509–515. [Google Scholar] [CrossRef] [PubMed]
- Bovenzi, M. Epidemiological evidence for new frequency weightings of hand-transmitted vibration. Ind. Health 2012, 50, 377–387. [Google Scholar] [CrossRef] [PubMed]
- Tsujimura, H.; Taoda, K.; Kitahara, K. A field study of exposure to whole-body vibration due to agricultural machines in a full-time rice farmer over one year. J. Occup. Health 2015, 57, 378–387. [Google Scholar] [CrossRef] [PubMed]
- Solecki, L. Assessment of annual exposure of private farmers to whole body mechanical vibration on selected family farms of plant production profile. Ann. Agric. Environ. Med. 2010, 17, 243–250. [Google Scholar] [PubMed]
- Griffin, M.J. Negligent exposures to hand-transmitted vibration. Int. Arch. Occup. Environ Health. 2008, 81, 645–659. [Google Scholar] [CrossRef] [PubMed][Green Version]
- Huang, Y.; Griffin, M.J. The discomfort produced by noise and whole-body vertical vibration presented separately and in combination. Ergonomics 2014, 57, 1724–1738. [Google Scholar] [CrossRef] [PubMed]














| Operator | Age | Mass | Height | Operator | Age | Mass | Height |
|---|---|---|---|---|---|---|---|
| kg | m | kg | m | ||||
| #1 | 38 | 81 | 1.72 | #6 | 48 | 83 | 1.75 |
| #2 | 43 | 86 | 1.85 | #7 | 52 | 84 | 1.78 |
| #3 | 29 | 75 | 1.73 | #8 | 26 | 79 | 1.84 |
| #4 | 41 | 83 | 1.81 | #9 | 44 | 84 | 1.79 |
| #5 | 28 | 78 | 1.80 | #10 | 50 | 82 | 1.69 |
| Machine | Production | Displacement | Mass | Rotation Speed (LES) | Rotation Speed (HES) | Power | Tank Capacity | Air Volume at Nozzle ** |
|---|---|---|---|---|---|---|---|---|
| Year | cm3 | kg | rpm * | rpm * | kW | cm3 | m3 h−1 | |
| Mist blower #1 | 2010 | 77 | 12.2 | 2400 | 6160 | 3.6 | 11,000 | - |
| Mist blower #2 | 2006 | 77 | 12.2 | 2400 | 6200 | 3.6 | 17,000 | - |
| Mist blower #3 | 2015 | 72.4 | 12.5 | 2700 | 6100 | 3.7 | 14,000 | - |
| Mist blower #4 | 2016 | 63.3 | 12.8 | 3000 | 6800 | 2.9 | 13,000 | - |
| Blower #1 | 2010 | 77 | 12.2 | 2400 | 6160 | 3.6 | - | 1100 |
| Blower #2 | 2006 | 77 | 12.2 | 2400 | 6600 | 3.6 | - | 1140 |
| Blower #3 | 2016 | 63.3 | 10.8 | 2500 | 6900 | 2.9 | - | 1300 |
| Blower #4 | 2015 | 65.6 | 11.2 | 2200 | 7000 | 2.9 | - | 1320 |
| Machine | LES (ms−2) | HES (ms−2) | ||||||||||
|---|---|---|---|---|---|---|---|---|---|---|---|---|
| Statistic | Bias | SE | Lower | Upper | Statistic | Bias | SE | Lower | Upper | |||
| Unweighted | M | Mean | 8.33 | −0.01 | 0.15 | 8.06 | 8.58 | 13.34 | 0.03 | 1.02 | 11.24 | 15.71 |
| SD | 0.56 | 0.08 | 0.42 | 0.64 | 3.63 | 0.3 | 3.3 | 3.66 | ||||
| B | Mean | 4.29 | 0.00 | 0.19 | 3.88 | 4.68 | 7.87 | 0.00 | 0.17 | 7.47 | 8.21 | |
| SD | 0.72 | 0.12 | 0.51 | 0.83 | 0.58 | 0.11 | 0.4 | 0.67 | ||||
| Wc curve | M | Mean | 0.45 | 0.00 | 0.02 | 0.41 | 0.5 | 0.2 | 0.00 | 0.01 | 0.18 | 0.22 |
| SD | 0.09 | 0.01 | 0.06 | 0.1 | 0.03 | 0.00 | 0.02 | 0.04 | ||||
| B | Mean | 0.11 | 0.00 | 0.00 | 0.1 | 0.12 | 0.04 | 0.00 | 0.00 | 0.03 | 0.05 | |
| SD | 0.02 | 0.00 | 0.01 | 0.02 | 0.01 | 0.00 | 0.01 | 0.02 | ||||
| Machine | LES (ms−2) | HES (ms−2) | ||||||||||
|---|---|---|---|---|---|---|---|---|---|---|---|---|
| Statistic | Bias | SE | Lower | Upper | Statistic | Bias | SE | Lower | Upper | |||
| Unweighted | M | Mean | 8.21 | −0.01 | 0.21 | 7.85 | 8.61 | 14.86 | 0.00 | 0.59 | 13.87 | 15.94 |
| SD | 0.74 | 0.16 | 0.43 | 0.86 | 1.13 | 0.40 | 1.49 | 2.44 | ||||
| B | Mean | 6.95 | 0.00 | 0.15 | 6.68 | 7.24 | 12.95 | 0.02 | 0.60 | 11.57 | 14.08 | |
| SD | 0.53 | 0.11 | 0.34 | 0.64 | 2.15 | 0.42 | 1.47 | 2.46 | ||||
| Wh curve | M | Mean | 3.26 | 0.00 | 0.05 | 3.16 | 3.36 | 1.91 | 0.00 | 0.09 | 1.75 | 2.06 |
| SD | 0.18 | 0.02 | 0.15 | 0.20 | 0.31 | 0.04 | 0.27 | 0.33 | ||||
| B | Mean | 2.53 | 0.00 | 0.10 | 2.31 | 2.73 | 1.68 | 0.01 | 0.13 | 1.38 | 1.94 | |
| SD | 0.36 | 0.06 | 0.25 | 0.42 | 0.47 | 0.10 | 0.26 | 0.55 | ||||
| Wp curve | M | Mean | 7.70 | 0.00 | 0.20 | 7.32 | 8.05 | 13.81 | 0.00 | 0.52 | 12.90 | 14.76 |
| SD | 0.70 | 0.12 | 0.52 | 0.78 | 1.87 | 0.33 | 1.34 | 2.14 | ||||
| B | Mean | 6.64 | 0.00 | 0.11 | 6.43 | 6.85 | 12.09 | 0.03 | 0.63 | 10.64 | 13.27 | |
| SD | 0.40 | 0.06 | 0.30 | 0.45 | 2.26 | 0.47 | 1.50 | 2.60 | ||||
| Engine Speed | Ear | Machine | Statistic | Bias | SE | Lower | Upper | |
|---|---|---|---|---|---|---|---|---|
| LAeq (dB(A)) | ||||||||
| LES | L | M | Mean | 81.10 | 0.00 | 0.15 | 80.75 | 81.37 |
| SD | 0.52 | −0.04 | 0.10 | 0.35 | 0.60 | |||
| B | Mean | 78.30 | −0.01 | 1.76 | 74.73 | 81.68 | ||
| SD | 6.04 | −0.43 | 1.40 | 3.36 | 7.03 | |||
| R | M | Mean | 82.50 | 0.00 | 0.20 | 82.11 | 82.87 | |
| SD | 0.69 | −0.04 | 0.11 | 0.51 | 0.80 | |||
| B | Mean | 78.60 | −0.01 | 1.63 | 75.11 | 81.71 | ||
| SD | 5.61 | −0.43 | 1.39 | 3.26 | 6.46 | |||
| HES | L | M | Mean | 101.60 | 0.00 | 0.13 | 101.39 | 101.90 |
| SD | 0.45 | −0.02 | 0.06 | 0.37 | 0.48 | |||
| B | Mean | 97.40 | −0.02 | 1.89 | 93.44 | 101.03 | ||
| SD | 6.53 | −0.48 | 1.58 | 3.79 | 7.57 | |||
| R | M | Mean | 102.20 | 0.00 | 0.14 | 101.92 | 102.46 | |
| SD | 0.47 | −0.03 | 0.08 | 0.35 | 0.53 | |||
| B | Mean | 99.10 | −0.02 | 2.42 | 94.02 | 103.74 | ||
| SD | 8.34 | −0.61 | 2.00 | 4.92 | 9.66 | |||
© 2019 by the authors. Licensee MDPI, Basel, Switzerland. This article is an open access article distributed under the terms and conditions of the Creative Commons Attribution (CC BY) license (http://creativecommons.org/licenses/by/4.0/).
Share and Cite
Calvo, A.; Preti, C.; Caria, M.; Deboli, R. Vibration and Noise Transmitted by Agricultural Backpack Powered Machines Critically Examined Using the Current Standards. Int. J. Environ. Res. Public Health 2019, 16, 2210. https://doi.org/10.3390/ijerph16122210
Calvo A, Preti C, Caria M, Deboli R. Vibration and Noise Transmitted by Agricultural Backpack Powered Machines Critically Examined Using the Current Standards. International Journal of Environmental Research and Public Health. 2019; 16(12):2210. https://doi.org/10.3390/ijerph16122210
Chicago/Turabian StyleCalvo, Angela, Christian Preti, Maria Caria, and Roberto Deboli. 2019. "Vibration and Noise Transmitted by Agricultural Backpack Powered Machines Critically Examined Using the Current Standards" International Journal of Environmental Research and Public Health 16, no. 12: 2210. https://doi.org/10.3390/ijerph16122210
APA StyleCalvo, A., Preti, C., Caria, M., & Deboli, R. (2019). Vibration and Noise Transmitted by Agricultural Backpack Powered Machines Critically Examined Using the Current Standards. International Journal of Environmental Research and Public Health, 16(12), 2210. https://doi.org/10.3390/ijerph16122210

