Workplace Violence and Job Performance among Community Healthcare Workers in China: The Mediator Role of Quality of Life
Abstract
:1. Introduction
2. Methods
2.1. Respondents and Procedure
2.2. Instruments
2.2.1. Workplace Violence Scale
2.2.2. Job Performance Scale
2.2.3. Quality of Life Scale
2.3. Data Analysis
3. Results


| Entire Sample (n = 1404) | Workplace Violence Cases (n = 725) a | Statistics | ||||
|---|---|---|---|---|---|---|
| n | % | n | % | χ2 | p | |
| Gender | 725 | 51.64 | 1.017 | 0.334 | ||
| Male | 375 | 26.71 | 202 | 53.87 | ||
| Female | 1029 | 73.29 | 523 | 50.83 | ||
| Age group, years | 12.713 | 0.005 | ||||
| 20~29 | 410 | 29.20 | 222 | 54.15 | ||
| 30~39 | 671 | 47.79 | 352 | 52.46 | ||
| 40~49 | 241 | 17.17 | 124 | 51.45 | ||
| ≥50 | 82 | 5.84 | 27 | 32.93 | ||
| Marital status | 1.004 | 0.605 | ||||
| Married | 1070 | 76.21 | 553 | 51.68 | ||
| Single | 310 | 22.08 | 162 | 52.26 | ||
| Divorce/widowed | 24 | 1.71 | 10 | 41.67 | ||
| Education level | 14.185 | 0.001 | ||||
| Professional school | 156 | 11.11 | 64 | 41.03 | ||
| Junior college | 444 | 31.26 | 214 | 48.20 | ||
| College or above | 804 | 57.26 | 447 | 55.60 | ||
| Occupation | 11.389 | 0.003 | ||||
| General practitioner | 568 | 40.46 | 306 | 53.87 | ||
| Nurse | 565 | 40.24 | 304 | 53.81 | ||
| Others | 271 | 19.30 | 115 | 42.44 | ||
| Employment | 1.721 | 0.423 | ||||
| Permanent | 526 | 37.46 | 275 | 52.28 | ||
| contract | 817 | 58.19 | 414 | 50.67 | ||
| Other | 61 | 4.34 | 36 | 59.02 | ||
| Monthly income, RMB | 15.349 | 0.002 | ||||
| <2000 | 122 | 8.69 | 49 | 40.16 | ||
| 2000~3999 | 539 | 38.39 | 262 | 48.61 | ||
| 4000~5999 | 444 | 31.62 | 238 | 53.60 | ||
| ≥6000 | 299 | 21.30 | 176 | 58.86 | ||
| Entire sample (n = 1404) | Workplace Violence Cases (n = 725) a | Non-Workplace Violence cases (n = 679) | Statistics | |||||
|---|---|---|---|---|---|---|---|---|
| m | sd | m | sd | m | sd | t | p | |
| Job performance | 76.02 | 10.22 | 74.64 | 10.84 | 77.48 | 9.30 | −5.257 | <0.001 |
| JD | 27.11 | 4.18 | 26.57 | 4.32 | 27.70 | 3.94 | −5.098 | <0.001 |
| TP | 24.09 | 3.64 | 23.69 | 3.88 | 24.52 | 3.32 | −4.267 | <0.001 |
| IF | 24.81 | 3.66 | 24.38 | 3.94 | 25.27 | 3.28 | −4.585 | <0.001 |
| Quality of life | 75.60 | 14.71 | 71.85 | 15.55 | 79.60 | 12.60 | −10.218 | <0.001 |
| PF | 89.78 | 11.97 | 88.57 | 12.81 | 91.07 | 10.86 | −3.935 | <0.001 |
| RP | 77.12 | 35.22 | 70.69 | 37.69 | 83.98 | 30.97 | −7.194 | <0.001 |
| BP | 87.95 | 13.80 | 85.73 | 14.74 | 90.32 | 12.29 | −6.320 | <0.001 |
| GH | 64.37 | 19.98 | 60.82 | 20.76 | 68.17 | 18.40 | −7.008 | <0.001 |
| VT | 66.88 | 16.52 | 63.42 | 16.86 | 70.57 | 15.32 | −8.293 | <0.001 |
| SF | 78.22 | 17.97 | 74.84 | 18.67 | 81.83 | 16.45 | −7.419 | <0.001 |
| RE | 74.00 | 37.00 | 66.80 | 38.80 | 81.69 | 33.34 | −7.686 | <0.001 |
| MH | 66.46 | 15.30 | 63.93 | 15.91 | 69.15 | 14.15 | −6.481 | <0.001 |
| Workplace Violence | Job Performance | Quality of Life | |
|---|---|---|---|
| Workplace violence | 1.0 | ||
| Job performance | −0.205 *** | 1.0 | |
| Quality of life | −0.313 *** | 0.365 *** | 1.0 |
| Independent Variable | Dependent Variable | β a | t | p | |
|---|---|---|---|---|---|
| Workplace violence | Job performance | −0.205 | −7.836 | <0.001 | |
| Job dedication | −0.197 | −7.524 | <0.001 | ||
| Task performance | −0.166 | −6.318 | <0.001 | ||
| Interpersonal facilitation | −0.181 | −6.908 | <0.001 | ||
| Workplace violence | Quality of life | −0.313 | −12.351 | <0.001 | |
| Workplace violence, Quality of life | Job performance b | −0.100 | −3.853 | <0.001 | |
| 0.333 | 12.795 | <0.001 | |||
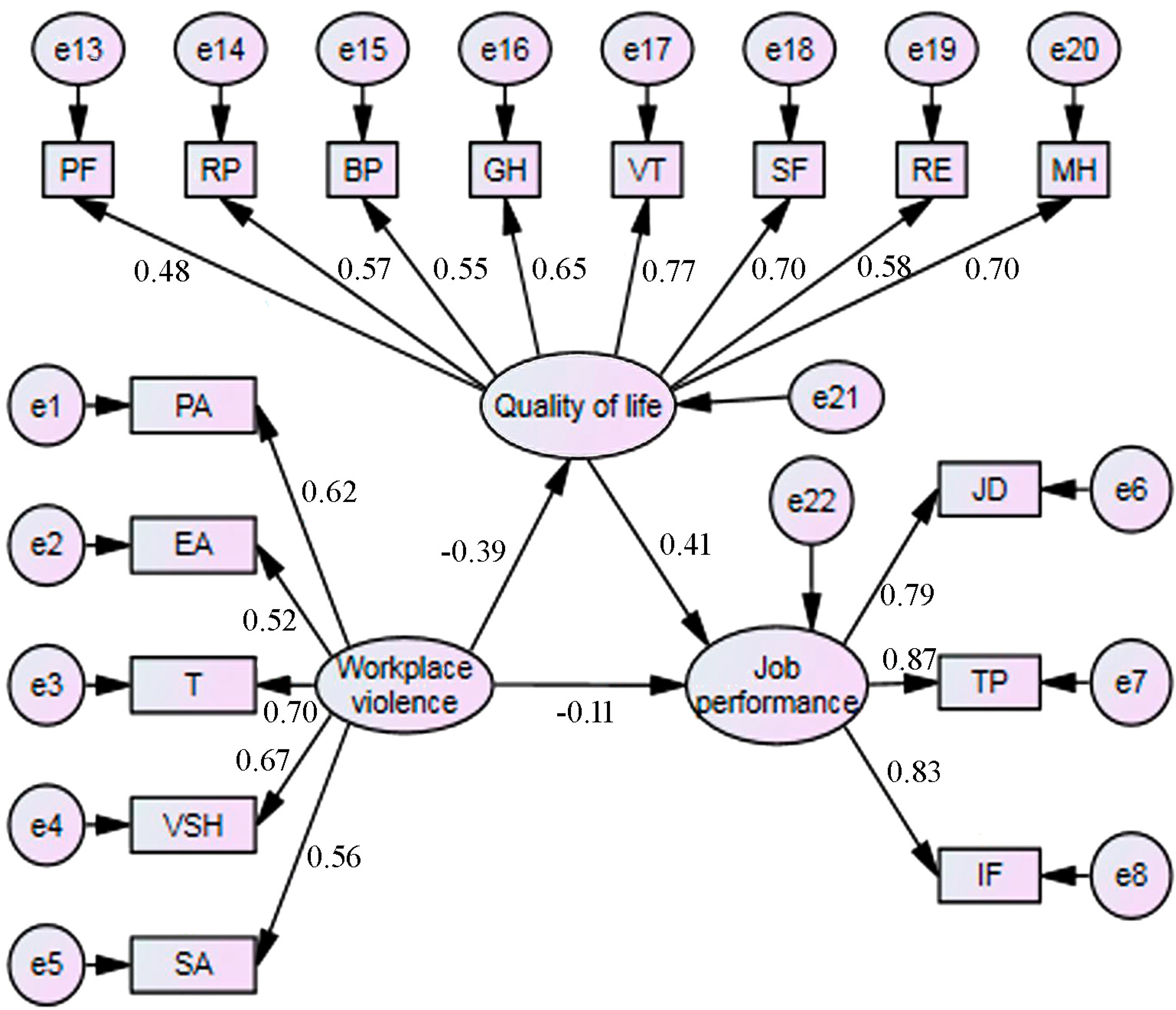
| Path | Before Correction | After Correction | ||||||
|---|---|---|---|---|---|---|---|---|
| β a | t | p | Β a | t | p | |||
| Quality of life | ← | Workplace violence | −0.391 | −9.435 | <0.001 | −0.313 | −7.660 | <0.001 |
| Job performance | ← | Workplace violence | −0.105 | −3.099 | 0.002 | −0.113 | −3.626 | <0.001 |
| Job performance | ← | Quality of life | 0.410 | 10.368 | <0.001 | 0.417 | 10.473 | <0.001 |
| χ2 | χ2/df | SRMR | RMSEA | GFI | NFI | TFI | CFI | |
|---|---|---|---|---|---|---|---|---|
| The original model | 1077.454 | 9.598 | 0.055 | 0.078 | 0.948 | 0.913 | 0.894 | 0.921 |
| The final model | 405.336 | 4.267 | 0.050 | 0.048 | 0.965 | 0.951 | 0.952 | 0.962 |
4. Discussion
4.1. Main Findings
4.2. Comparisons with Previous Findings
4.3. Strengths and Limitations
5. Conclusions
Acknowledgments
Author Contributions
Conflicts of Interest
Abbreviations
References
- Chen, Z. Launch of the health-care reform plan in China. Lancet 2009, 373, 1322–1324. [Google Scholar] [CrossRef]
- Ding, Y.; Qu, J.; Yu, X.; Wang, S. The mediating effects of burnout on the relationship between anxiety symptoms and occupational stress among community healthcare workers in China: A cross-sectional study. PLoS ONE 2014, 9. [Google Scholar] [CrossRef] [PubMed]
- Kuehn, B.M. Violence in health care settings on rise. JAMA 2010, 304, 511–512. [Google Scholar] [CrossRef] [PubMed]
- Silva, I.V.; Aquino, E.M.; Pinto, I.C. Workplace violence in the healthcare sector: The experience of State health employees in Bahia State, Brazil. Cad. Saude Publica 2014, 30, 2112–2122. [Google Scholar] [CrossRef] [PubMed]
- Muzembo, B.A.; Mbutshu, L.H.; Ngatu, N.R.; Malonga, K.F.; Eitoku, M.; Hirota, R.; Suganuma, N. Workplace violence towards Congolese health care workers: A survey of 436 healthcare facilities in Katanga province, Democratic Republic of Congo. J. Occup. Health 2015, 57, 69–80. [Google Scholar] [CrossRef] [PubMed]
- Centers for Disease Control and Prevention. Violence, Occupational Hazards in Hospitals. Centers for Disease Control and Prevention, NIOSH Publication: Atlanta, GA, USA, 2002; Vol. No.2002, p. 101. [Google Scholar]
- Wang, P.X.; Wang, M.Z.; Bai, Q.; Jia, C.F.; Lan, Y.J.; Wang, Z.M.; Luan, R.S. Path analysis on workplace violence affecting work ability, job satisfaction and turnover intent in health professionals in Shangqiu City. Wei Sheng Yan Jiu 2006, 35, 785–788. (In Chinese) [Google Scholar] [PubMed]
- Shields, M.; Wilkins, K. Factors related to on-the-job abuse of nurses by patients. Health Rep. 2009, 20, 7–19. [Google Scholar] [PubMed]
- Heponiemi, T.; Kouvonen, A.; Virtanen, M.; Vanska, J.; Elovainio, M. The prospective effects of workplace violence on physicians’ job satisfaction and turnover intentions: The buffering effect of job control. BMC Health Serv. Res. 2014, 14. [Google Scholar] [CrossRef] [PubMed]
- Magnavita, N. Workplace violence and occupational stress in healthcare workers: A chicken-and-egg situation-results of a 6-year follow-up study. J. Nurs. Scholarsh. 2014, 46, 366–376. [Google Scholar] [CrossRef] [PubMed]
- Wells, J.; Bowers, L. How prevalent is violence towards nurses working in general hospitals in the UK? J. Adv. Nurs. 2002, 39, 230–240. [Google Scholar] [CrossRef] [PubMed]
- Behnam, M.; Tillotson, R.D.; Davis, S.M.; Hobbs, G.R. Violence in the emergency department: A national survey of emergency medicine residents and attending physicians. J. Emerg. Med. 2011, 40, 565–579. [Google Scholar] [CrossRef] [PubMed]
- Uzun, O. Perceptions and experiences of nurses in Turkey about verbal abuse in clinical settings. J. Nurs. Scholarsh. 2003, 35, 81–85. [Google Scholar] [CrossRef] [PubMed]
- Hanqun, L.; Junhui, Y.; Jian, W.E.A. A survey on effect of workplace violence in hospital on work-related stress of medical staffs. Chongqi Med. 2012, 41, 590–592. (In Chinese) [Google Scholar]
- Schat, A.; Frone, M.R. Exposure to psychological aggression at work and job performance: The mediating role of job attitudes and personal health. Work Stress 2011, 25, 23–40. [Google Scholar] [CrossRef] [PubMed]
- Mankowski, E.S.; Galvez, G.; Perrin, N.A.; Hanson, G.C.; Glass, N. Patterns of work-related intimate partner violence and job performance among abusive men. J. Interpers. Violence 2013, 28, 3041–3058. [Google Scholar] [CrossRef] [PubMed]
- Schermehorn, J.R. Management for Productivity; Wiley: New York, NY, USA, 1989. [Google Scholar]
- Ware, J.E.; Kosinski, M.; Gandek, B. SF-36 Health Survey: Manual And Interpretation Guide; Quality Metric Inc.: Boston, USA, 2000. [Google Scholar]
- Teles, M.A.; Barbosa, M.R.; Vargas, A.M.; Gomes, V.E.; Ferreira, E.F.; Martins, A.M.; Ferreira, R.C. Psychosocial work conditions and quality of life among primary health care employees: A cross sectional study. Health Qual. Life Outcomes 2014, 12, 1–12. [Google Scholar] [CrossRef] [PubMed]
- Wu, S.; Lin, S.; Li, H.; Chai, W.; Zhang, Q.; Wu, Y.; Zhu, W. A study on workplace violence and its effect on quality of life among medical professionals in China. Arch. Environ. Occup. Health 2014, 69, 81–88. [Google Scholar] [CrossRef] [PubMed]
- Chen, W.C.; Huang, C.J.; Hwang, J.S.; Chen, C.C. The relationship of health-related quality of life to workplace physical violence against nurses by psychiatric patients. Qual. Life Res. 2010, 19, 1155–1161. [Google Scholar] [CrossRef] [PubMed]
- Rastegari, M.; Khani, A.; Ghalriz, P.; Eslamian, J. Evaluation of quality of working life and its association with job performance of the nurses. Iran J. Nurs. Midwifery Res. 2010, 15, 224–228. [Google Scholar] [PubMed]
- Wang, P.X. Study on Medical Workplace Violence and Theory Model; Sichuan University: Sichuan, China, 2006. (In Chinese) [Google Scholar]
- Van Scotter, J.R.; Motowidlo, S.J.; Cross, T.C. Effects of task performance and contextual performance on systemic rewards. J. Appl. Psychol. 2000, 85, 526–535. [Google Scholar] [CrossRef] [PubMed]
- Van Scotter, J.R.; Motowidlo, S.J. Interpersonal facilitation and job dedication as separate facets of contextual performance. J. Appl. Psychol. 1996, 81, 525–531. [Google Scholar] [CrossRef]
- Wang, R.; Wu, C.; Zhao, Y.; Yan, X.; Ma, X.; Wu, M.; Liu, W.; Gu, Z.; Zhao, J.; He, J. Health related quality of life measured by SF-36: A population-based study in Shanghai, China. BMC Public Health 2008, 8. [Google Scholar] [CrossRef] [PubMed]
- Li, L.; Wang, H.; Shen, Y. Development and psychometric tests of a Chinese version of the SF-36 health survey scales. Zhonghua Yu Fang Yi Xue Za Zhi 2002, 36, 109–113. (in Chinese). [Google Scholar] [PubMed]
- Hu, L.; Bentler, P.M. Cutoff criteria for fit indexes in covariance structure analysis: Conventional criteria versus new alternatives. Struct. Equ. Modeling 1999, 6, 1–55. [Google Scholar] [CrossRef]
- Gascon, S.; Martinez-Jarreta, B.; Gonzalez-Andrade, J.F.; Santed, M.A.; Casalod, Y.; Rueda, M.A. Aggression towards health care workers in Spain: A multi-facility study to evaluate the distribution of growing violence among professionals, health facilities and departments. Int. J. Occup. Environ. Health 2009, 15, 29–35. [Google Scholar] [CrossRef] [PubMed]
- Magnavita, N.; Heponiemi, T. Violence towards health care workers in a public health care facility in Italy: A repeated cross-sectional study. BMC Health Serv. Res. 2012, 12. [Google Scholar] [CrossRef] [PubMed]
- Roche, M.; Diers, D.; Duffield, C.; Catling-Paull, C. Violence toward nurses, the work environment, and patient outcomes. J. Nurs. Scholarsh. 2010, 42, 13–22. [Google Scholar] [CrossRef] [PubMed]
- Hegney, D.; Eley, R.; Plank, A.; Buikstra, E.; Parker, V. Workplace violence in Queensland, Australia: The results of a comparative study. Int. J. Nurs. Pract. 2006, 12, 220–231. [Google Scholar] [CrossRef] [PubMed]
- Zafar, W.; Siddiqui, E.; Ejaz, K.; Shehzad, M.U.; Khan, U.R.; Jamali, S.; Razzak, J.A. Health care personnel and workplace violence in the emergency departments of a volatile metropolis: Results from Karachi, Pakistan. J. Emerg. Med. 2013, 45, 761–772. [Google Scholar] [CrossRef] [PubMed]
- Hanson, G.C.; Perrin, N.A.; Moss, H.; Laharnar, N.; Glass, N. Workplace violence against homecare workers and its relationship with workers health outcomes: A cross-sectional study. BMC Public Health 2015, 15. [Google Scholar] [CrossRef] [PubMed]
- Zeng, J.Y.; An, F.R.; Xiang, Y.T.; Qi, Y.K.; Ungvari, G.S.; Newhouse, R.; Yu, D.S.; Lai, K.Y.; Yu, L.Y.; Ding, Y.M. Frequency and risk factors of workplace violence on psychiatric nurses and its impact on their quality of life in China. Psychiatr. Res. 2013, 210, 510–514. [Google Scholar] [CrossRef] [PubMed]
- Couto, M.T.; Lawoko, S.; Svanstrom, L. Exposure to workplace violence and quality of life among drivers and conductors in Maputo city, Mozambique. Int. J. Occup. Environ. Health 2009, 15, 299–304. [Google Scholar] [CrossRef] [PubMed]
- Gates, D.M.; Gillespie, G.L.; Succop, P. Violence against nurses and its impact on stress and productivity. Nurs. Econ. 2011, 29, 59–66. [Google Scholar] [PubMed]
- Mein, G.; Martikainen, P.; Stansfeld, S.A.; Brunner, E.J.; Fuhrer, R.; Marmot, M.G. Predictors of early retirement in British civil servants. Age Ageing 2000, 29, 529–536. [Google Scholar] [CrossRef] [PubMed]
- Occupational Safety and Health Administration. Guidelines for Preventing Workplace Violence for Healthcare and Social Service Workers; Occupational Safety and Health Administration: Washington, DC, USA, 2015.
- Morken, T.; Johansen, I.H.; Alsaker, K. Dealing with workplace violence in emergency primary health care: A focus group study. BMC Fam. Pract. 2015, 16. [Google Scholar] [CrossRef] [PubMed]
- Shahzad, A.; Malik, R.K. Workplace violence: An extensive issue for nurses in Pakistan: A qualitative investigation. J. Interpers. Violence 2014, 29, 2021–2034. [Google Scholar] [CrossRef] [PubMed]
© 2015 by the authors; licensee MDPI, Basel, Switzerland. This article is an open access article distributed under the terms and conditions of the Creative Commons Attribution license (http://creativecommons.org/licenses/by/4.0/).
Share and Cite
Lin, W.-Q.; Wu, J.; Yuan, L.-X.; Zhang, S.-C.; Jing, M.-J.; Zhang, H.-S.; Luo, J.-L.; Lei, Y.-X.; Wang, P.-X. Workplace Violence and Job Performance among Community Healthcare Workers in China: The Mediator Role of Quality of Life. Int. J. Environ. Res. Public Health 2015, 12, 14872-14886. https://doi.org/10.3390/ijerph121114872
Lin W-Q, Wu J, Yuan L-X, Zhang S-C, Jing M-J, Zhang H-S, Luo J-L, Lei Y-X, Wang P-X. Workplace Violence and Job Performance among Community Healthcare Workers in China: The Mediator Role of Quality of Life. International Journal of Environmental Research and Public Health. 2015; 12(11):14872-14886. https://doi.org/10.3390/ijerph121114872
Chicago/Turabian StyleLin, Wei-Quan, Jiang Wu, Le-Xin Yuan, Sheng-Chao Zhang, Meng-Juan Jing, Hui-Shan Zhang, Jia-Li Luo, Yi-Xiong Lei, and Pei-Xi Wang. 2015. "Workplace Violence and Job Performance among Community Healthcare Workers in China: The Mediator Role of Quality of Life" International Journal of Environmental Research and Public Health 12, no. 11: 14872-14886. https://doi.org/10.3390/ijerph121114872
APA StyleLin, W.-Q., Wu, J., Yuan, L.-X., Zhang, S.-C., Jing, M.-J., Zhang, H.-S., Luo, J.-L., Lei, Y.-X., & Wang, P.-X. (2015). Workplace Violence and Job Performance among Community Healthcare Workers in China: The Mediator Role of Quality of Life. International Journal of Environmental Research and Public Health, 12(11), 14872-14886. https://doi.org/10.3390/ijerph121114872

