Rosmarinic Acid from Eelgrass Shows Nematicidal and Antibacterial Activities against Pine Wood Nematode and Its Carrying Bacteria
Abstract
:1. Introduction
2. Results and Discussion
2.1. Nematicidal Activity of Eelgrass Extracts
2.2. Elucidation the Structure of Rosmarinic Acid
| Concentration (mg/mL) | Yield rate (%) | 5 | 10 | 15 | 20 | 25 | 30 |
|---|---|---|---|---|---|---|---|
| Petroleum ether fraction | 4.6 | 2.3 ± 0.12 d | 2.8 ± 0.14 c | 3.3 ± 0.55 c | 9.9 ± 0.43 d | 20.3 ± 0.43 d | 26.7 ± 1.10 d |
| n-Butanol fraction | 15.2 | 6.7 ± 0.44 c | 7.1 ± 0.02 b | 15.3 ± 1.98 b | 19.6 ± 0.27 c | 33.2 ± 0.98 c | 46.7 ± 1.46 c |
| Chloroform fraction | 7.4 | 7.3 ± 0.21 b | 7.7 ± 1.00 b | 13.5 ± 1.54 b | 29.2 ± 0.49 b | 47.6 ± 1.19 b | 65.4 ± 2.57 b |
| Ethyl acetate fraction | 21.3 | 12.0 ± 0.43 a | 23.7 ± 0.97 a | 57.4 ± 1.12 a | 87.6 ± 0.55 a | 100 ± 0.00 a | 100 ± 0.00 a |



2.3. Nematicidal Activity of RosA
| Concentration (mg/mL) | 24 h | 48 h | 72 h | |
|---|---|---|---|---|
| Rosmarinic acid | 0.5 | 29.83 ± 1.38 f | 33.41 ± 4.55 f | 37.81 ± 1.21 e |
| 1 | 43.23 ± 2.20 e | 50.26 ± 3.02 e | 54.65 ± 2.90 d | |
| 1.5 | 65.80 ± 0.85 d | 69.63 ± 2.02 d | 74.31 ± 2.02 c | |
| 2 | 73.25 ± 4.82 c | 84.66 ± 0.98 c | 89.35 ± 3.24 b | |
| 2.5 | 79.91 ± 3.89 b | 94.30 ± 0.65 b | 98.29 ± 0.87 a | |
| 3 | 86.84 ± 2.69 a | 99.40 ± 1.26 a | 100.00 ± 0.00 a | |
| Copper sulfate | 0.05 | 27.45 ± 0.31 f | 39.45 ± 0.39 f | 44.05 ± 0.86 e |
| 0.1 | 37.49 ± 0.02 e | 51.08 ± 2.20 e | 54.87 ± 2.20 d | |
| 0.15 | 44.70 ± 1.26 e | 58.78 ± 1.03 e | 78.04 ± 0.98 c | |
| 0.2 | 54.74 ± 0.92 d | 84.05 ± 0.87 c | 90.41 ± 1.02 b | |
| 0.25 | 78.88 ± 1.12 b | 99.91 ± 0.02 a | 100.00 ± 0.00 a | |
| 0.3 | 91.12 ± 1.00 a | 100.00 ± 0.00 a | 100.00 ± 0.00 a |
| t (h) | y = bx + a | r | LC50 (mg/mL) | CL of LC50 | |
|---|---|---|---|---|---|
| Rosmarinic acid | 24 | y = 0.230x + 0.229 | 0.971 | 1.18 | (1.09, 1.27) |
| 48 | y = 0.251x + 0.236 | 0.954 | 1.05 | (0.97, 1.13) | |
| 72 | y = 0.254x + 0.258 | 0.946 | 0.95 | (0.90, 1.00) | |
| Copper sulfate | 24 | y = 2.524x + 0.112 | 0.982 | 0.154 | (0.144, 0.164) |
| 48 | y = 3.081x + 0.205 | 0.981 | 0.096 | (0.090, 0.102) | |
| 72 | y = 3.245x + 0.263 | 0.989 | 0.073 | (0.069, 0.077) |
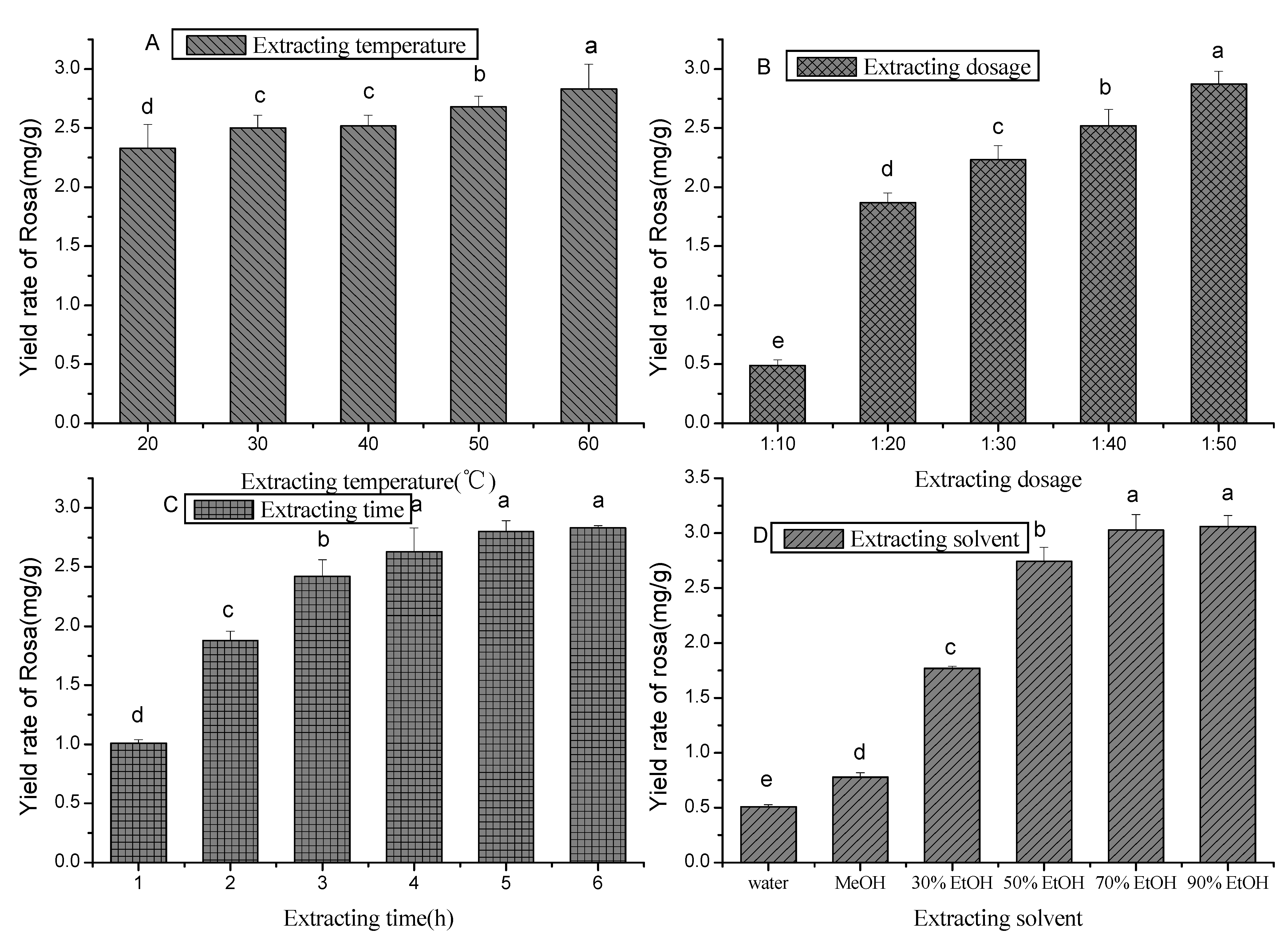
2.4. Optimization of RosA Extraction Conditions from Eelgrass

2.5. The Antibacterial Activity of Crude Eelgrass Extracts and RosA
| Experiment No. | Dosage | Time | Temperature | Solvent | Yield rate |
|---|---|---|---|---|---|
| (w:v) | (h) | (°C) | (%) | (mg/g) | |
| 1 | 1(1:30) | 1(3) | 1(30) | 1(30) | 2.29 |
| 2 | 1(1:30) | 2(4) | 2(40) | 2(50) | 2.53 |
| 3 | 1(1:30) | 3(5) | 3(50) | 3(70) | 2.80 |
| 4 | 2(1:40) | 1(3) | 2(40) | 3(70) | 2.89 |
| 5 | 2(1:40) | 2(4) | 3(50) | 1(30) | 2.35 |
| 6 | 2(1:40) | 3(5) | 1(30) | 2(50) | 2.64 |
| 7 | 3(1:50) | 1(3) | 3(50) | 2(50) | 2.72 |
| 8 | 3(1:50) | 2(4) | 1(30) | 3(70) | 2.78 |
| 9 | 3(1:50) | 3(5) | 2(40) | 1(30) | 2.46 |
| M1 | M11 = 2.540 | M12 = 2.633 | M13 = 2.570 | M14 = 2.367 | |
| M2 | M21 = 2.627 | M22 = 2.553 | M23 = 2.627 | M24 = 2.630 | |
| M3 | M31 = 2.653 | M32 = 2.633 | M33 = 2.623 | M34 = 2.823 |
| Factors | S | F | F ratio |
|---|---|---|---|
| Dosage | S1 = 0.021 | 2 | 0.434 |
| Time | S2 = 0.013 | 2 | 0.047 |
| Temperature | S3 = 0.006 | 2 | 0.124 |
| Solvent | S4 = 0.315 | 2 | 3.395 |
| error | 0.350 | 2 |
| Bacteria | Diameter of inhibitory rings (mm) | |||||
|---|---|---|---|---|---|---|
| Petroleum ether fraction (10 mg/mL) | n-Butanol fraction (10 mg/mL) | Chloroform fraction (10 mg/mL) | Ethyl acetate fraction (10 mg/mL) | RosA (1 mg/mL) | Oxolinic acid (0.1 mg/mL) | |
| Klebsiella sp. | 26 | 12 | 22 | 25 | 28 | 12 |
| Stenotrophomonas maltophilia | 13 | 0 | 12 | 16 | 19 | 10 |
| Streptomyces sp. | 16 | 8 | 20 | 30 | 26 | 10 |
| Pantoea agglomerans | 14 | 0 | 19 | 18 | 18 | 19 |
3. Experimental Section
3.1. Preparation of Eelgrass, Nematode and Bacteria
3.2. Preparation of Extraction of Z. marina
3.3. Nematicidal Activity of Crude Eelgrass Extracts
3.4. Isolation and Identification of Nematicidal Component
3.5. HPLC Analysis
3.6. Nematicidal Activity of RosA
3.7. Factors Influencing the Extraction of RosA
3.8. Inhibition Effects of Eelgrass Extracts and RosA on Four Bacterial Strains Carried by PWN
4. Conclusions
Acknowledgments
References
- Zhao, B.G.; Li, R.G. The roles of bacteria associated with the pine wood nematode in pathogenecity and toxin-production related to pine wilt. In Pine Wilt Disease; Zhao, B.G., Futai, K., Sutherland, J.R., Takeuchi, Y., Eds.; Springer: Tokyo, Japan, 2008; pp. 250–259. [Google Scholar]
- Zhao, B.G.; Wang, H.L.; Han, S.F.; Han, Z.M. Distribution and pathogenicity of bacteria species carried by Bursaphelenchus xylophilus in China. Nematology 2003, 5, 899–906. [Google Scholar] [CrossRef]
- Oh, W.S.; Jeong, P.Y.; Joo, H.J.; Lee, J.E.; Moon, Y.S.; Cheon, H.M.; Kim, J.H.; Lee, Y.U.; Shim, Y.H.; Paik, Y.K. Identification and characterization of a dual-acting antinematodal agent against the pinewood nematode, Bursaphelenchus xylophilus. PLoS One 2009, 4, e7593. [Google Scholar]
- Kim, J.; Seo, S.M.; Lee, S.G.; Shin, S.C.; Park, I.K. Nematicidal activity of plant essential oils and components from coriander (Coriandrum sativum), oriental sweetgum (Liquidambar orientalis), and valerian (Valeriana wallichii) essential oils against pine wood nematode (Bursaphelenchus xylophilus). J. Agric. Food Chem. 2008, 56, 7316–7320. [Google Scholar] [CrossRef]
- Park, I.K.; Kim, J.; Lee, S.G.; Shin, S.C. Nematicidal activity of plant essential oils and components from ajowan (Trachyspermum ammi), allspice (Pimenta dioica) and litsea (Litsea cubeba) essential oils against pine wood nematode (Bursaphelenchus xylophilus). J. Nematol. 2007, 39, 275–279. [Google Scholar]
- Shi, J.; Li, Z.; Nitoda, T.; Izumi, M.; Kanzakia, H.; Baba, N.; Kawazu, K.; Nakajima, S. Antinematodal activities of ingenane diterpenes from Euphorbia kansui and their derivatives against the pine wood nematode (Bursaphelenchus xylophilus). Z. Naturforsch. C 2008, 63, 59–65. [Google Scholar]
- Zhang, H.M.; Wang, G.L.; Bai, C.Q.; Liu, P.; Liu, Z.M.; Liu, Q.Z.; Wang, Y.Y.; Liu, Z.L.; Du, S.S.; Deng, Z.W. A new eudesmane sesquiterpene glucoside from Liriope muscari fibrous roots. Molecules 2008, 16, 9017–9024. [Google Scholar]
- Guo, Y.; Qin, L.; Qiao, C.; Guo, D.; Zhao, B.; Yue, T.; Li, R. Inhibition effects of extract of fennel (Foeniculum vulgare Mill) on pine wood nematode and bacteria it carries. Afr. J. Microbiol. Res. 2012, 6, 1837–1843. [Google Scholar]
- Seki, H.; Yokohama, Y. Experimental decay of eelgrass (Zostera marina) into detrital particles. Arch. Hydrobiol. 1978, 84, 109–119. [Google Scholar]
- Gavriljuk, V.B.; Gavriljuk, B.K. Preparation for preventing and treating capillary cutaneous lesions (teleangioectasias). Russia Patent RU2242217, 20 December 2004. [Google Scholar]
- Harrison, P.G. Control of microbial growth and of amphipod grazing by water-soluble compounds from leaves of Zostera marina. Mar. Biol. 1982, 67, 225–230. [Google Scholar] [CrossRef]
- Lu, Y.R.; Foo, L.Y. Rosmarinic acid derivatives from Salvia officinalis. Phytochemistry 1999, 51, 91–94. [Google Scholar]
- Park, S.R.; Li, W.T.; Kim, S.H.; Kim, J.W.; Lee, K.S. A comparison of methods for estimating the productivity of Zostera marina. J. Ecol. Field Biol. 2010, 33, 59–65. [Google Scholar] [CrossRef]
- Pilavtepe, M.; Sargin, S.; Celiktas, M.S.; Yesil-Celiktas, O. An integrated process for conversion of Zostera marina residues to bioethanol. J. Supercrit. Fluids 2012, 68, 117–122. [Google Scholar] [CrossRef]
- Dolgii, O.D.; Petrov, M.V.; Malenok, P.I.; Luzanov, M.E.H.; Mekhonoshin, A.A.; Pakhomov, A.I. Method of preparing pectin from sea algae. Russia Patent RU2132696C1, 10 July 1999. [Google Scholar]
- Loenko, Y.N.; Artyukov, A.A.; Kozlovskaya, E.P.; Miroshnichenko, V.A.; Elyakov, G.B. Zosterin; Dal’nauka: Vladivostok, Russia, 1977; pp. 41–145. [Google Scholar]
- Kawasaki, W.; Matsui, K.; Akakabe, Y.; Itai, N.; Kajiwar, T. Volatiles from Zostera marina. Phytochemistry 1998, 47, 27–29. [Google Scholar]
- Achamlale, S.; Rezzonico, B.; Grignon-Dubois, M. Rosmarinic acid from beach waste: Isolation and HPLC quantification in Zostera detritus from Arcachon lagoon. Food Chem. 2009, 113, 878–883. [Google Scholar] [CrossRef]
- Lin, Y.L.; Chang, Y.; Kuo, Y.H.; Shiao, M.S. Anti-lipid-peroxidative principles from Tournefortia sarmentosa. J. Nat. Prod. 2002, 65, 745–747. [Google Scholar] [CrossRef]
- Fujimoto, A.; Masuda, T. Antioxidation mechanism of rosmarinic acid, identification of an unstable quinone derivative by the addition of odourless thiol. Food Chem. 2012, 132, 901–906. [Google Scholar] [CrossRef]
- Swarup, V.; Ghosh, J.; Ghosh, S.; Saxena, A.; Basu, A. Antiviral and anti-inflammatory effects of rosmarinic acid in an experimental murine model of Japanese encephalitis. Antimicrob. Agents Chemother. 2007, 51, 3367–3370. [Google Scholar]
- Stephanie, D.; Nola, C.; Bhesh, B.; Gary, A.D. In vitro antibacterial activity of Australian native herb extracts against food-related bacteria. Food Control 2006, 17, 929–932. [Google Scholar] [CrossRef]
- Shan, B.; Cai, Y.Z.; Brooks, D. Antibacterial properties of Polygonum cuspidatum roots and their major bioactive constituents. Food Chem. 2008, 109, 530–537. [Google Scholar] [CrossRef]
- Parnham, M.J.; Kesselring, K. Rosmarinic acid. Drugs Future 1985, 10, 756–757. [Google Scholar]
- Lee, J.; Kim, Y.S.; Park, D. Rosmarinic acid induces melanogenesis through protein kinase A activation signaling. Biochem. Pharmacol. 2007, 74, 960–968. [Google Scholar]
- Ozturk, M.; Duru, M.E.; Ince, B.; Harmandar, M.; Topcu, G. A new rapid spectrophotometric method to determine the rosmarinic acid level in plant extracts. Food Chem. 2010, 123, 1352–1356. [Google Scholar] [CrossRef]
© 2012 by the authors; licensee MDPI, Basel, Switzerland. This article is an open-access article distributed under the terms and conditions of the Creative Commons Attribution license (http://creativecommons.org/licenses/by/3.0/).
Share and Cite
Wang, J.; Pan, X.; Han, Y.; Guo, D.; Guo, Q.; Li, R. Rosmarinic Acid from Eelgrass Shows Nematicidal and Antibacterial Activities against Pine Wood Nematode and Its Carrying Bacteria. Mar. Drugs 2012, 10, 2729-2740. https://doi.org/10.3390/md10122729
Wang J, Pan X, Han Y, Guo D, Guo Q, Li R. Rosmarinic Acid from Eelgrass Shows Nematicidal and Antibacterial Activities against Pine Wood Nematode and Its Carrying Bacteria. Marine Drugs. 2012; 10(12):2729-2740. https://doi.org/10.3390/md10122729
Chicago/Turabian StyleWang, Jingyu, Xueru Pan, Yi Han, Daosen Guo, Qunqun Guo, and Ronggui Li. 2012. "Rosmarinic Acid from Eelgrass Shows Nematicidal and Antibacterial Activities against Pine Wood Nematode and Its Carrying Bacteria" Marine Drugs 10, no. 12: 2729-2740. https://doi.org/10.3390/md10122729
APA StyleWang, J., Pan, X., Han, Y., Guo, D., Guo, Q., & Li, R. (2012). Rosmarinic Acid from Eelgrass Shows Nematicidal and Antibacterial Activities against Pine Wood Nematode and Its Carrying Bacteria. Marine Drugs, 10(12), 2729-2740. https://doi.org/10.3390/md10122729
