Three-Dimensional (3D) Imaging Technology to Monitor Growth and Development of Holstein Heifers and Estimate Body Weight, a Preliminary Study
Abstract
:1. Introduction
2. Materials and Methods
2.1. General Animal Management
2.2. Measurements
2.3. Analysis
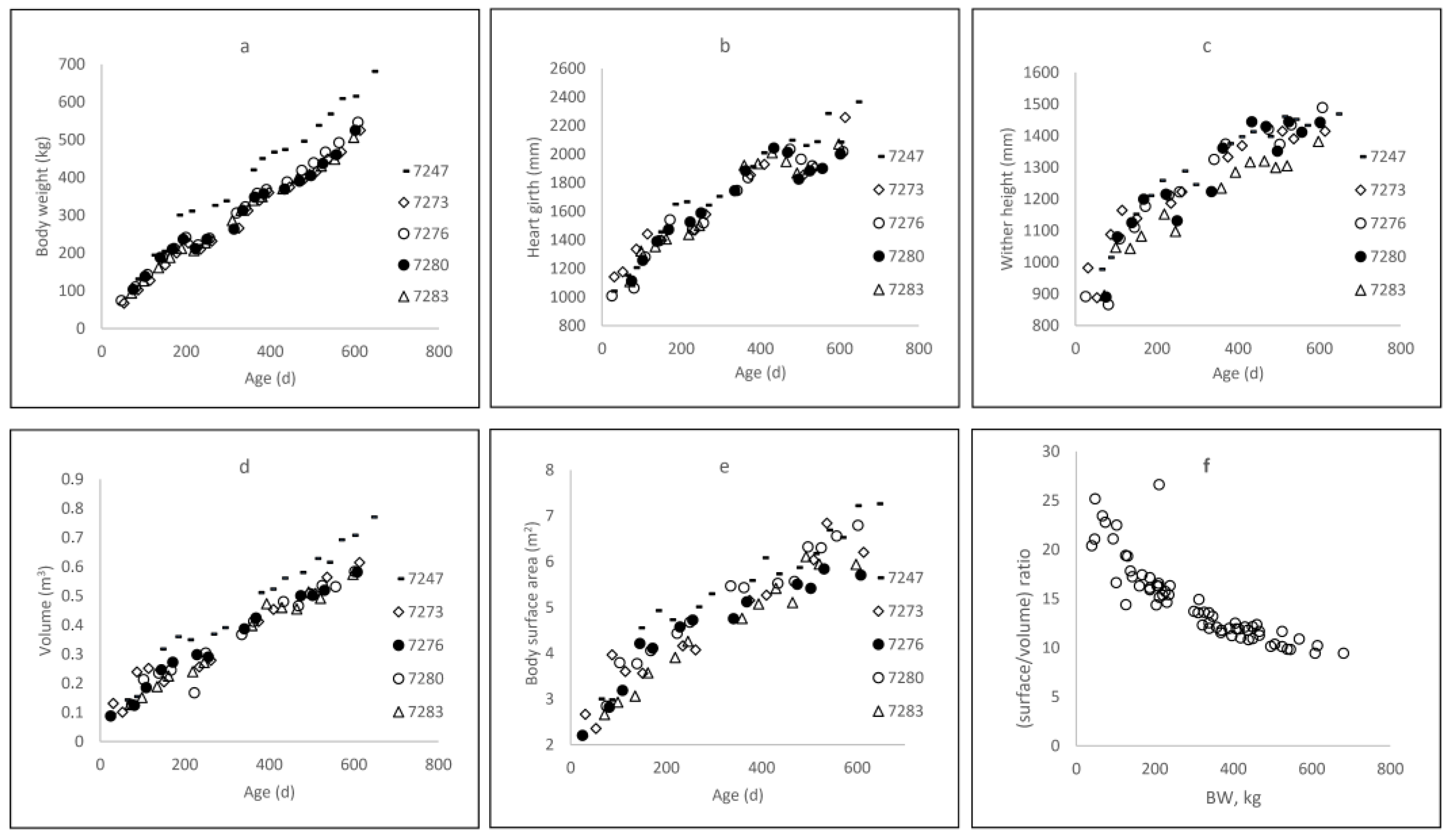
3. Results
4. Discussion
5. Conclusions
Author Contributions
Funding
Institutional Review Board Statement
Informed Consent Statement
Data Availability Statement
Acknowledgments
Conflicts of Interest
References
- Sicot, I.; Plouzin, D.; Bulot, N.; Mathieu, Y.; Cormier, H.; Bernard, E.; François, J.; Trou, G.; Le Lan, B.; Morin, P.; et al. Réussir L’élevage des Génisses Laitières, de la Naissance au Vêlage; Chambres d’agriculture de Bretagne, de Normandie et des Pays de la Loire, Institut de l’Elevage, INRA, AGROCAMPUS OUEST, Ouest Conseil Elevage et Bovins Croissance: Rennes, France, 2013; 76p. [Google Scholar]
- Tranel, L. Heifer Raising Costs in 2019. 2021. Available online: https://www.extension.iastate.edu/dairyteam/files/page/files/whats_it_cost_to_raise_heifers_2019_0.pdf (accessed on 21 September 2021).
- Le Cozler, Y.; Lollivier, V.; Lacasse, P.; Disenhaus, C. Rearing strategy and optimizing first calving targets in dairy heifers: A review. Animal 2008, 2, 1393–1404. [Google Scholar] [CrossRef] [PubMed] [Green Version]
- Reproscope. Age au 1er Vêlage Chez les Animaux de Race Holstein. 2022. Available online: www.reproscope.fr (accessed on 5 April 2022).
- Tozer, P.R.; Heinrichs, A.J. What affects the costs of raising replacement heifers: A multiple-component analysis? J. Dairy Sci. 2001, 84, 1836–1844. [Google Scholar] [CrossRef]
- Troccon, J.L.; Petit, M. Croissance des génisses de renouvellement et performances ultérieures. INRA Prod. Anim. 1989, 2, 55–64. [Google Scholar] [CrossRef]
- Heinrichs, A.J.; Rogers, G.W.; Cooper, J.B. Predicting body weight and wither height in Holstein heifers using body measurements. J. Dairy Sci. 1992, 75, 3576–3581. [Google Scholar] [CrossRef]
- Costigan, H.; Delaby, L.; Walsh, S.; Lahart, B.; Kennedy, E. The development of equations to predict live-weight from linear body measurements of pasture-based Holstein-Friesian and Jersey dairy heifers. Livest. Sci. 2021, 253, 104693. [Google Scholar] [CrossRef]
- Casanova, P. Body surface area in young cattle is well correlated with body length. J. Vet. Sci. Anim. Wel. 2019, 3, 1–4. [Google Scholar]
- Elting, E.C. A formula for estimating surface of dairy cattle. J. Agric. Res. 1926, 23, 269–279. [Google Scholar]
- Xavier, C.; Le Cozler, Y.; Depuille, L.; Caillot, A.; Allain, C.; Delouard, J.M.; Delattre, L.; Luginbuhl, T.; Faverdin, P.; Fischer, A. Estimation of body weight gain components and study of variation factor to estimate body weight of lactating dairy cows using 3D images technology. J. Dairy Sci. 2022, 105, 4508–4519. [Google Scholar] [CrossRef] [PubMed]
- Le Cozler, Y.; Allain, C.; Xavier, C.; Depuille, L.; Caillot, A.; Delouard, J.M.; Delattre, L.; Luginbuhl, T.; Faverdin, P. Volume and surface of Holstein dairy cows calculated from complete 3D shapes acquired using a high-precision scanning system: Interest for body weight estimation. Comp. Elect. Agric. 2019, 165, 104977. [Google Scholar] [CrossRef]
- Le Cozler, Y.; Allain, C.; Caillot, A.; Delouard, J.M.; Delattre, L.; Luginbuhl, T.; Faverdin, P. High-precision scanning system for complete 3D cow body shape imaging and analysis of morphological traits. Comp. Elect. Agric. 2019, 157, 447–453. [Google Scholar] [CrossRef]
- Agabriel, J.; Meschy, F. Alimentation des veaux et des génisses d’élevage. In Alimentation des Ruminants. Besoins des Animaux et Valeur des Aliments; Editions Quae: Versailles, France, 2007; pp. 75–87. [Google Scholar]
- Abeni, F.; Petrera, F.; Le Cozler, Y. Effects of feeding treatment on growth rates, metabolic profiles, and age at puberty, and their relationships in dairy heifers. Animal 2019, 13, 1020–1029. [Google Scholar] [CrossRef] [PubMed]
- Kazhdan, M.; Hoppe, H. Screened Poisson surface reconstruction. ACM Trans. Graph. 2013, 32, 29. [Google Scholar] [CrossRef] [Green Version]
- Cignoni, P.; Callieri, M.; Corsini, M.; Dellepiane, M.; Ganovelli, F.; Ranzuglia, G. MeshLab: An Open-Source Mesh Processing Tool. In Proceedings of the Sixth Eurographics Italian Chapter Conference, Salerno, Italy, 2–4 July 2008; pp. 129–136. [Google Scholar]
- Wickham, H.; Chang, W.; Henry, L.; Pedersen, T.L.; Takahashi, K.; Wilke, C.; Woo, K.; Yutani, H. RStudio, Ggplot 2 (3.2.1) [Logiciel]. 2019. Available online: https://cran.r-project.org/web/packages/ggplot2/index.html (accessed on 15 September 2021).
- R Core Team. R: A Language and Environment for Statistical Computing; Version 3.2.4.; R Foundation for Statistical Computing: Vienna, Austria, 2019; Available online: https:// www.r-project.org/ (accessed on 1 April 2016).
- Mitchell, H.H. Check Formulas for Surface Area of Sheep. A Year’s Progress in Solving Farm Problems in Illinois; Annual Report of the Agricultural Experimental Station; University of Illinois: Urbana, IL, USA, 1928; pp. 155–158. [Google Scholar]
- Brody, S. Bioenergetics and Growth with Special Reference to the Energetic Efficiency Complex in Domestic Animals; Reinhold Publ.: New York, NY, USA, 1945; pp. 354–403. [Google Scholar]
- Johnson, H.D.; Ragsdale, A.C.; Sikes, J.D.; Kennedy, J.I.; O’Bannon, E.B.; Hartman, D. Environmental Physiology and Shelter Engineering LVII. Surface Area Determinations of Beef and Dairy Calves during Growth at 50°F and 80°F Environmental Temperatures; Agricultural Experiment Station Research Bulletin 770; University of Missouri: Columbia, MO, USA, 1961. [Google Scholar]
- Xavier, C.; Driesen, C.; Siegenthaler, R.; Dohme-Meier, F.; Le Cozler, Y.; Lerch, S. Estimation of Empty Body and Carcass Chemical Composition of Lactating and Growing Cattle: Comparison of Imaging, Adipose Cellularity, and Rib Dissection Methods. Transl. Anim. Sci. 2022, 6, txac066. [Google Scholar] [CrossRef] [PubMed]





| Item 1 Stage of Growth, Age in Months | CMR1 (0 to 2–4) | TMR1 (4 to 6–8) | CMR2 (9 to 11) | TMR2 (11 to 15) |
|---|---|---|---|---|
| Ingredients (%, unless noted) | ||||
| Maize silage | 47.5 | 72.0 | 80.0 | 79.0 |
| Soybean meal | - | 8.0 | 20.0 | 21.0 |
| 18% CP alfalfa pellets | 5.0 | - | - | - |
| Urea | - | - | - | |
| Vitamins and minerals | - | - | - | - |
| Concentrate 1 2 | 47.5 | 20.0 | - | |
| Concentrate 2 3 (kg/head/day) | - | - | 1.0 | 1.0 |
| Estimated chemical composition | ||||
| DM (%) | 51.4 | 42.0 | 42.2 | 42.1 |
| PDIE (g/kg DM) | 93.0 | 93.1 | 104.5 | 106.2 |
| PDIN (g/kg DM) | 79.8 | 84.0 | 108.7 | 111.3 |
| UFL (g/kg DM) | 0.96 | 0.96 | 0.98 | 0.99 |
| Note | 1 | 2 | 3 | 4 |
|---|---|---|---|---|
| Animal aged less than 6 mo | ![]() | ![]() | ||
| Animal aged 6 mo or more | ![]() | ![]() | ![]() | ![]() |
| Stage of Growth | Age, days | BW, kg | BSA, m2 | Volume, m3 | HW, mm | CD, mm | HG, mm | KW, mm |
|---|---|---|---|---|---|---|---|---|
| 2 months | 62.0 (11.8) | 84.5 (16.8) | 2.73 (0.24) | 0.12 (0.01) | 903.0 (42.9) | 423.8 (13.9) | 1122.3 (43.5) | 205.5 (13.5) |
| 4 months | 136.4 (13.0) | 173.6 (30.3) | 3.84 (0.57) | 0.25 (0.05) | 1118.8 (47.3) | 543.1 (19.9) | 1406.6 (41.5) | 283.4 (27.7) |
| 6 months | 171.0 (9.6) | 227.5 (49.5) | 4.16 (0.56) | 0.28 (0.06) | 1167.1 (58.3) | 585.0 (31.0) | 1517.3 (104.3) | 299.5 (15.3) |
| 8 months | 246.8 (8.8) | 228.0 (13.0) | 4.45 (0.29) | 0.28 (0.02) | 1159.1 (55.7) | 588.9 (14.7) | 1518.5 (51.3) | 343.1 (15.4) |
| 12 months | 369.2 (8.6) | 366.8 (47.2) | 5.21 (0.32) | 0.43 (0.05) | 1335.3 (58.9) | 718.1 (27.3) | 1881.2 (37.1) | 403.2 (28.9) |
| 15 months | 455.8 (19.3) | 393.8 (20.6) | 5.48 (0.23) | 0.49 (0.04) | 1405.1 (49.2) | 743.1 (45.4) | 2018.1 (42.5) | 424.6 (23.1) |
| 20 months | 604.8 (6.3) | 543.4 (42.5) | 6.37 (0.62) | 0.61 (0.06) | 1431.1 (39.4) | 786.1 (17.9) | 2085.5 (101.6) | 508.6 (11.8) |
Publisher’s Note: MDPI stays neutral with regard to jurisdictional claims in published maps and institutional affiliations. |
© 2022 by the authors. Licensee MDPI, Basel, Switzerland. This article is an open access article distributed under the terms and conditions of the Creative Commons Attribution (CC BY) license (https://creativecommons.org/licenses/by/4.0/).
Share and Cite
Le Cozler, Y.; Brachet, E.; Bourguignon, L.; Delattre, L.; Luginbuhl, T.; Faverdin, P. Three-Dimensional (3D) Imaging Technology to Monitor Growth and Development of Holstein Heifers and Estimate Body Weight, a Preliminary Study. Sensors 2022, 22, 4635. https://doi.org/10.3390/s22124635
Le Cozler Y, Brachet E, Bourguignon L, Delattre L, Luginbuhl T, Faverdin P. Three-Dimensional (3D) Imaging Technology to Monitor Growth and Development of Holstein Heifers and Estimate Body Weight, a Preliminary Study. Sensors. 2022; 22(12):4635. https://doi.org/10.3390/s22124635
Chicago/Turabian StyleLe Cozler, Yannick, Elodie Brachet, Laurianne Bourguignon, Laurent Delattre, Thibaut Luginbuhl, and Philippe Faverdin. 2022. "Three-Dimensional (3D) Imaging Technology to Monitor Growth and Development of Holstein Heifers and Estimate Body Weight, a Preliminary Study" Sensors 22, no. 12: 4635. https://doi.org/10.3390/s22124635
APA StyleLe Cozler, Y., Brachet, E., Bourguignon, L., Delattre, L., Luginbuhl, T., & Faverdin, P. (2022). Three-Dimensional (3D) Imaging Technology to Monitor Growth and Development of Holstein Heifers and Estimate Body Weight, a Preliminary Study. Sensors, 22(12), 4635. https://doi.org/10.3390/s22124635






