Tunable Nanosensor Based on Fano Resonances Created by Changing the Deviation Angle of the Metal Core in a Plasmonic Cavity
Abstract
:1. Introduction
2. Structure Model and Design
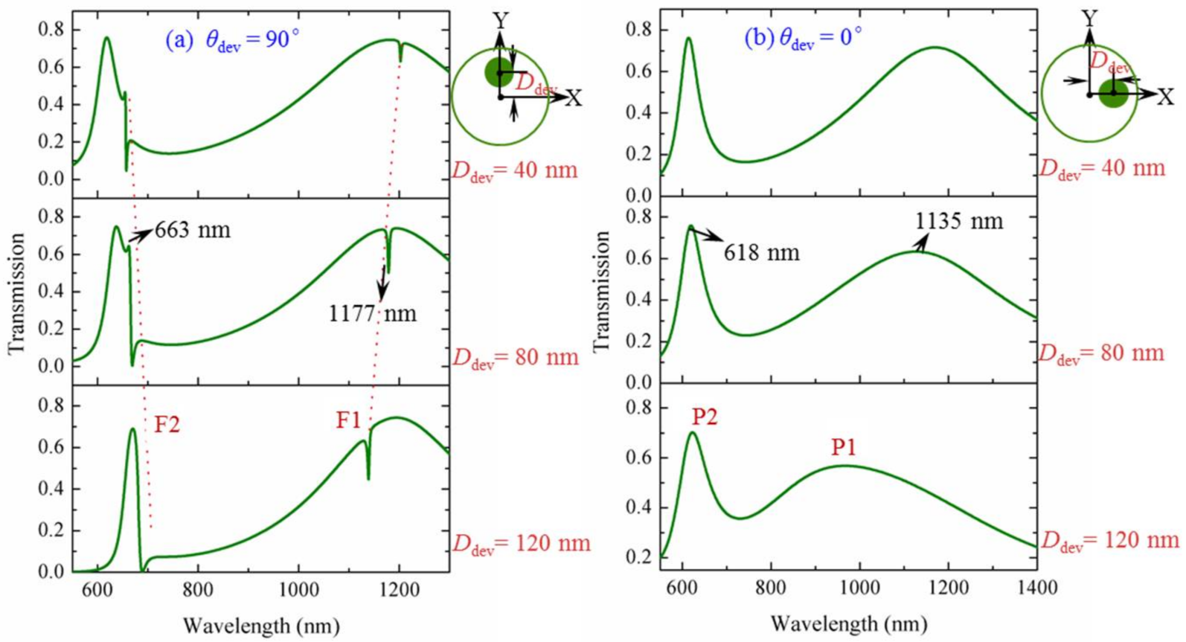
3. Results and Discussion
4. Conclusions
Acknowledgments
Author Contributions
Conflicts of Interest
References
- Chen, J.; Yang, J.; Chen, Z.; Fang, Y.J.; Zhan, P.; Wang, Z.L. Plasmonic reflectors and high-Q nano-cavities based on coupled metal-insulator-metal waveguides. AIP Adv. 2012, 2, 012145. [Google Scholar] [CrossRef]
- Han, Z.; Van, V.; Herman, W.N.; Ho, P.T. Aperture-coupled MIM plasmonic ring resonators with sub-diffraction modal volumes. Opt. Express 2009, 17, 12678–12684. [Google Scholar] [CrossRef] [PubMed]
- Giannini, V.; Francescato, Y.; Amrania, H.; Phillips, C.C.; Maier, S.A. Fano resonances in nanoscale plasmonic systems: A parameter-free modeling approach. Nano Lett. 2011, 11, 2835–2840. [Google Scholar] [CrossRef] [PubMed]
- Lu, F.; Li, G.Y.; Li, K.; Wang, Z.H.; Xu, A.S. A compact wavelength demultiplexing structure based on arrayed MIM plasmonic nano-disk cavities. Opt. Commun. 2012, 285, 5519–5523. [Google Scholar] [CrossRef]
- Zhang, Z.; Shi, F.H.; Chen, Y.H. Tunable multichannel plasmonic filter based on coupling-induced mode splitting. Plasmonics 2015, 10, 139–144. [Google Scholar] [CrossRef]
- Wang, T.B.; Wen, X.W.; Yin, C.P.; Wang, H.Z. The transmission characteristics of surface plasmon polaritons in ring resonator. Opt. Express 2009, 17, 24096–24101. [Google Scholar] [CrossRef] [PubMed]
- Zafar, R.; Salim, M. Wideband slow light achievement in MIM plasmonic waveguide by controlling Fano resonance. Infrared Phys. Technol. 2014, 67, 25–29. [Google Scholar] [CrossRef]
- Chen, J.J.; Sun, C.W.; Gong, Q.H. Fano resonances in a single defect nanocavity coupled with a plasmonic waveguide. Opt. Lett. 2014, 39, 52–55. [Google Scholar] [CrossRef] [PubMed]
- Zhang, Z.D.; Wang, H.Y.; Zhang, Z.Y. Fano resonance in a gear-shaped nanocavity of the metal–insulator–metal waveguide. Plasmonics 2013, 8, 797–801. [Google Scholar] [CrossRef]
- Zafar, R.; Salim, M. Analysis of asymmetry of Fano resonance in plasmonic metal-insulator-metal waveguide. Photonics Nanostruct. Fundam. Appl. 2017, 23, 1–6. [Google Scholar] [CrossRef]
- Chen, Z.; Yu, L.; Wang, L.L.; Duan, G.Y.; Zhao, Y.F.; Xiao, J.H. A refractive index nanosensor based on Fano resonance in the plasmonic waveguide system. IEEE Photonics Technol. Lett. 2015, 27, 1695–1698. [Google Scholar] [CrossRef]
- Zhang, Z.D.; Luo, L.; Xue, C.Y.; Zhang, W.D.; Yan, S.B. Fano resonance based on metal-insulator-metal waveguide-coupled double rectangular cavities for plasmonic nanosensors. Sensors 2016, 16, 642. [Google Scholar] [CrossRef] [PubMed]
- Tang, Y.; Zhang, Z.D.; Wang, R.B.; Hai, Z.Y.; Xue, C.Y.; Zhang, W.D.; Yan, S.B. Refractive index sensor based on Fano resonances in metal-insulator-metal waveguides coupled with resonators. Sensors 2017, 17, 784. [Google Scholar] [CrossRef] [PubMed]
- Broido, D.A.; Sham, L.J. Valence-band coupling and Fano-resonance effects on the excitonic spectrum in undoped quantum wells. Phys. Rev. B 1986, 34, 3917–3923. [Google Scholar] [CrossRef]
- Kobayashi, K.; Aikawa, H.; Sano, A.; Katsumoto, S.; Iye, Y. Fano resonance in a quantum wire with a side-coupled quantum dot. Phys. Rev. B 2004, 70, 035319. [Google Scholar] [CrossRef]
- Luk’yanchuk, B.; Zheludev, N.I.; Maier, S.A.; Halas, N.J.; Peter Nordlander, P.; Giessen, H.; Chong, C.T. The Fano resonance in plasmonic nanostructures and metamaterial nature materials. Nat. Mater. 2010, 9, 707–715. [Google Scholar] [CrossRef] [PubMed]
- Lassiter, J.B.; Sobhani, H.; Fan, J.A.; Kundu, J.; Capasso, F.; Nordlander, P.; Halas, N.J. Fano resonances in plasmonic nanoclusters: Geometrical and chemical tunability. Nano Lett. 2010, 10, 3184–3189. [Google Scholar] [CrossRef] [PubMed]
- Miroshnichenko, A.E.; Kivshar, Y.S. Fano resonance in quadratic waveguide arrays. Opt. Lett. 2005, 30, 872–874. [Google Scholar] [CrossRef] [PubMed]
- Limonov, M.F.; Rybin, M.V.; Poddubny, A.N.; Kivshar, Y.S. Fano resonances in photonics. Nat. Photonics 2017, 11, 543–554. [Google Scholar] [CrossRef]
- Ren, X.B.; Ren, K.; Cai, Y.X. Tunable compact nanosensor based on Fano resonance in a plasmonic waveguide system. Appl. Opt. 2017, 56, H1–H9. [Google Scholar] [CrossRef] [PubMed]
- Qi, J.W.; Chen, Z.Q.; Chen, J.; Li, Y.D.; Qiang, W.; Xu, J.J.; Sun, Q. Independently tunable double Fano resonances in asymmetric MIM waveguide structure. Opt. Express 2014, 22, 14688–14695. [Google Scholar] [CrossRef] [PubMed]
- Li, S.L.; Zhang, Y.Y.; Song, X.K.; Wang, Y.L.; Yu, L. Tunable triple Fano resonances based on multimode interference in coupled plasmonic resonator system. Opt. Express 2016, 24, 15351–15361. [Google Scholar] [CrossRef] [PubMed]
- Deng, Y.; Cao, G.T.; Yang, H.; Li, G.H.; Chen, X.S.; Lu, W. Tunable and high-sensitivity sensing based on Fano resonance with coupled plasmonic cavities. Sci. Rep. 2017, 7, 10639. [Google Scholar] [CrossRef] [PubMed]
- Chen, Z.; Hu, R.; Cui, L.N.; Yu, L.; Wang, L.L.; Xiao, J.H. Plasmonic wavelength demultiplexers based on tunable Fano resonance in coupled-resonator systems. Opt. Commun. 2014, 320, 6–11. [Google Scholar] [CrossRef]
- Zhao, X.F.; Zhang, Z.D.; Yan, S.B. Tunable fano resonance in asymmetric MIM waveguide structure. Sensors 2017, 17, 1494. [Google Scholar] [CrossRef] [PubMed]
- Jankovic, N.; Cselyuszka, N. Multiple fano-like MIM plasmonic structure based on triangular resonator for refractive index sensing. Sensors 2018, 18, 287. [Google Scholar] [CrossRef] [PubMed]
- Zhan, S.P.; Peng, Y.Y.; He, Z.H.; Li, B.X.; Chen, Z.Q.; Xu, H.; Li, H.J. Tunable nanoplasmonic sensor based on the asymmetric degree of Fano resonance in MDM waveguide. Sci. Rep. 2016, 6, 22428. [Google Scholar] [CrossRef] [PubMed]
- Fu, Q.H.; Zhang, F.L.; Fan, Y.C.; He, X.; Qiao, T.; Kong, B.T. Electrically tunable Fano-type resonance of an asymmetric metal wire pair. Opt. Express 2016, 24, 11708–11715. [Google Scholar] [CrossRef] [PubMed]
- Sun, B.; Zhao, L.X.; Wang, C.; Yi, X.Y.; Liu, Z.Q.; Wang, G.H.; Li, J.M. Tunable Fano resonance in E-shape plasmonic nanocavities. J. Phys. Chem. C 2014, 118, 25124–25131. [Google Scholar] [CrossRef]
- Yuan, B.H.; Zhou, W.J.; Wang, J.Q. Novel H-shaped plasmon nanoresonators for efficient dual-band SERS and optical sensing applications. J. Opt. 2014, 16, 105013. [Google Scholar] [CrossRef]
- Hao, F.; Sonnefraud, Y.; Van Dorpe, P.; Maier, S.A.; Halas, N.J.; Nordlander, P. Symmetry breaking in plasmonic nanocavities: Subradiant LSPR sensing and a tunable Fano resonance. Nano Lett. 2008, 8, 3983–3988. [Google Scholar] [CrossRef] [PubMed]
- Hao, F.; Nordlander, P.; Sonnefraud, Y.; Van Dorpe, P.; Maier, S.A. Tunability of subradiant dipolar and Fano-type plasmon resonances in metallic ring/disk cavities: Implications for nanoscale optical sensing. ACS Nano 2009, 3, 643–652. [Google Scholar] [CrossRef] [PubMed]
- Li, S.L.; Wang, Y.L.; Jiao, R.Z.; Wang, L.L.; Duan, G.Y.; Yu, L. Fano resonances based on multimode and degenerate mode interference in plasmonic resonator system. Opt. Express 2017, 25, 3525–3533. [Google Scholar] [CrossRef] [PubMed]
- Liu, Q.; Bibbó, L.; Albin, S.; Wang, Q.; Lin, M.; Lu, H.H.; Ouyang, Z.B. Plasmonic waveguide design for the enhanced forward stimulated Brillouin scattering in diamond. Sci. Rep. 2018, 8, 88. [Google Scholar] [CrossRef] [PubMed]
- Chen, F.; Yao, D.Z. Realizing of plasmon Fano resonance with a metal nanowall moving along MIM waveguide. Opt. Commun. 2016, 369, 72–78. [Google Scholar] [CrossRef]
- Chen, J.J.; Wang, C.; Zhang, R.; Xiao, J.H. Multiple plasmon-induced transparencies in coupled-resonator systems. Opt. Lett. 2012, 37, 5133–5135. [Google Scholar] [CrossRef] [PubMed]
- Zhang, X.G.; Shao, M.Z.; Zeng, X.Q. High quality plasmonic sensors based on Fano resonances created through cascading double asymmetric cavities. Sensors 2016, 16, 1730. [Google Scholar] [CrossRef] [PubMed]
- Chen, Z.; Song, X.K.; Duan, G.Y.; Wang, L.L.; Yu, L. Multiple Fano resonances control in MIM side-coupled cavities systems. IEEE Photonics J. 2015, 24, 33012. [Google Scholar] [CrossRef]
- Zhang, B.H.; Wang, L.L.; Li, H.J.; Zhai, X.; Xia, S.X. Two kinds of double Fano resonances induced by an asymmetric MIM waveguide structure. J. Opt. 2016, 18, 065001. [Google Scholar] [CrossRef]
- Chen, J.J.; Li, Z.; Lei, M.; Fu, X.L.; Xiao, J.H.; Gong, Q.H. Plasmonic Y-splitters of high wavelength resolution based on strongly coupled-resonator effects. Plasmonics 2012, 7, 441–445. [Google Scholar] [CrossRef]
- Fan, S.H. Sharp asymmetric line shapes in side-coupled waveguide-cavity systems. Appl. Phys. Lett. 2002, 80, 908–910. [Google Scholar] [CrossRef]
- Xu, Y.; Li, Y.; Lee, R.K.; Yariv, A. Scattering-theory analysis of waveguide-resonator coupling. Phys. Rev. E 2000, 62, 7389–7404. [Google Scholar] [CrossRef]
- Miroshnichenko, A.E.; Flach, S.; Kivshar, Y.S. Fano resonances in nanoscale structures. Rev. Mod. Phys. 2009, 82, 2257–2298. [Google Scholar] [CrossRef]
- Cheng, F.; Liu, H.F.; Li, B.H.; Han, J.; Xiao, H.; Han, X.F.; Gu, C.Z.; Qiu, X.G. Tuning asymmetry parameter of Fano resonance of spoof surface plasmons by modes coupling. Appl. Phys. Lett. 2012, 100, 131110. [Google Scholar] [CrossRef]









© 2018 by the authors. Licensee MDPI, Basel, Switzerland. This article is an open access article distributed under the terms and conditions of the Creative Commons Attribution (CC BY) license (http://creativecommons.org/licenses/by/4.0/).
Share and Cite
Wang, Q.; Ouyang, Z.; Sun, Y.; Lin, M.; Liu, Q.; Zheng, G.; Fan, J. Tunable Nanosensor Based on Fano Resonances Created by Changing the Deviation Angle of the Metal Core in a Plasmonic Cavity. Sensors 2018, 18, 1026. https://doi.org/10.3390/s18041026
Wang Q, Ouyang Z, Sun Y, Lin M, Liu Q, Zheng G, Fan J. Tunable Nanosensor Based on Fano Resonances Created by Changing the Deviation Angle of the Metal Core in a Plasmonic Cavity. Sensors. 2018; 18(4):1026. https://doi.org/10.3390/s18041026
Chicago/Turabian StyleWang, Qiong, Zhengbiao Ouyang, Yiling Sun, Mi Lin, Qiang Liu, Guoliang Zheng, and Junxing Fan. 2018. "Tunable Nanosensor Based on Fano Resonances Created by Changing the Deviation Angle of the Metal Core in a Plasmonic Cavity" Sensors 18, no. 4: 1026. https://doi.org/10.3390/s18041026
APA StyleWang, Q., Ouyang, Z., Sun, Y., Lin, M., Liu, Q., Zheng, G., & Fan, J. (2018). Tunable Nanosensor Based on Fano Resonances Created by Changing the Deviation Angle of the Metal Core in a Plasmonic Cavity. Sensors, 18(4), 1026. https://doi.org/10.3390/s18041026
