Concise Total Synthesis and Antifungal Activities of Fusaric Acid, a Natural Product
Abstract
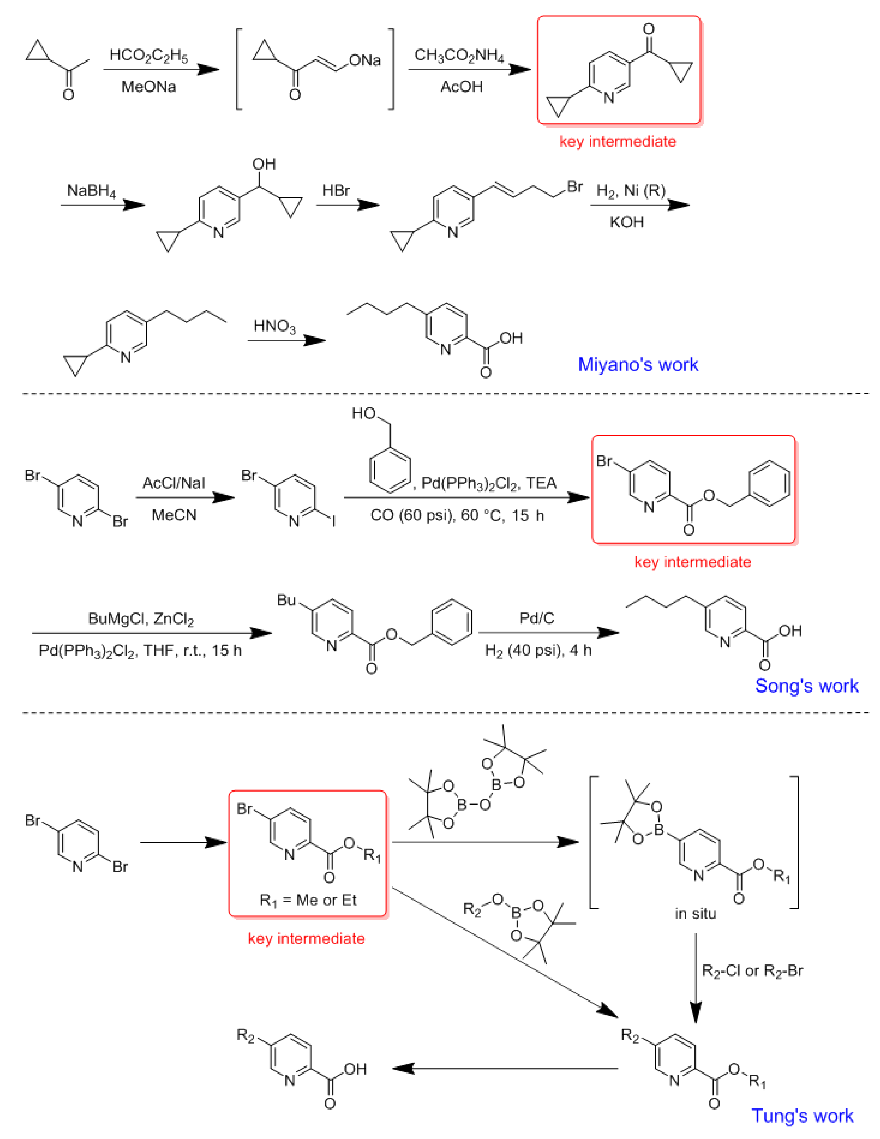
1. Introduction
2. Results and Discussion
2.1. Total Synthesis of FA
2.2. In Vitro Inhibitory Activities of FA against 14 Plant Pathogenic Fungi
3. Materials and Methods
3.1. General
3.2. Total Synthesis of FA
3.2.1. Synthesis of 2-Bromo-5-(but-1-en-1-yl)pyridine (4)
3.2.2. Synthesis of 2-Bromo-5-butylpyridine (3)
3.2.3. Synthesis of Methyl 5-butylpicolinate (2)
3.2.4. Synthesis of FA (1)
3.3. In Vitro Inhibitory Activities of FA against 14 Plant Pathogenic Fungi
4. Conclusions
Supplementary Materials
Author Contributions
Funding
Acknowledgments
Conflicts of Interest
References
- Zhao, J.-H.; Li, J.-Z. A Progress on the study of the agricultural microbial fungicides. Pesticides 2003, 42, 8–10. [Google Scholar]
- Hollomon, D.-W. Fungicide resistance: Facing the challenge. Plant Prot. Sci. 2015, 51, 170–176. [Google Scholar] [CrossRef]
- Wang, H.; Ng, T.-B. Pharmacological activities of fusaric acid (5-butylpicolinic acid). Life Sci. 1999, 65, 849–856. [Google Scholar] [CrossRef]
- Yabuta, T. Biochemistry of Fusarium heterosporium in rice plant, Part 1: Newly found product of fusaric acid. J. Agric. Chem. Soc. Jpn. 1934, 10, 1059–1068. [Google Scholar]
- Furuta, Y.; Washizaki, M. Effects of fusaric acid and its derivative on the cardiovascular system. Folia Pharm. Jpn. 1976, 72, 139–144. [Google Scholar] [CrossRef]
- Terasawa, F.; Ying, L.-H.; Kameyama, M. The hypotensive effect of fusaric acid: The results of long-term administration of fusaric acid in elderly hypertensive patients. Jpn. Circ. J. 1976, 40, 1017–1023. [Google Scholar] [CrossRef][Green Version]
- Fernandez-Pol, J.-A.; Klos, D.-J.; Hamilton, P.-D. Antiviral, cytotoxic and apoptotic activities of picolinic acid on human immunodeficiency virus-1 and human herpes simplex virus-2 infected cells. Anticancer Res. 2001, 21, 3773–3776. [Google Scholar]
- Li, J.-F.; Sun, W.-Y.; Guo, Z.-X.; Lu, C.-H.; Shen, Y.-M. Fusaric acid modulates type three secretion system of Salmonella enterica serovar Typhimurium. Biochem. Biophys. Res. Commun. 2014, 449, 455–459. [Google Scholar] [CrossRef]
- Vesonder, R.-F.; Gasdorf, H.; Peterson, R.-E. Comparison of the cytotoxicities of Fusarium metabolites and Alternaria metabolite AAL-toxin to cultured mammalian cell lines. Arch. Environ. Contam. Toxicol. 1993, 24, 473–477. [Google Scholar] [CrossRef]
- Fernandez-Pol, J.-A.; Klos, D.-J.; Hamilton, P.-D. Cytotoxic activity of fusaric acid on human adenocarcinoma cells in tissue culture. Anticancer Res. 1993, 13, 57–64. [Google Scholar]
- Herskovits, E.; Figueroa, G.-E. Effect of fusaric acid in Parkinson’s disease. Medicine 1973, 33, 51. [Google Scholar]
- Chase, T.-N. Fusaric acid in Parkinson’s disease. Neurology 1974, 24, 637–639. [Google Scholar] [CrossRef] [PubMed]
- Capasso, R.; Evidente, A.; Cutignano, A.; Vurro, M.; Zonno, M.-C.; Bottalico, A. Fusaric and 9, 10-dehydrofusaric acids and their methyl esters from Fusarium nygamai. Phytochemistry 1996, 41, 1035–1039. [Google Scholar] [CrossRef]
- Stipanovic, R.-D.; Puckhaber, L.-S.; Liu, J.; Bell, A.-A. Phytotoxicity of fusaric acid and analogs to cotton. Toxicon 2011, 57, 176–178. [Google Scholar] [CrossRef] [PubMed]
- Dowd, P.-F. Relative inhibition of insect phenoloxidase by cyclic fungal metabolites from insect and plant pathogens. Nat. Toxins 1999, 7, 337–341. [Google Scholar] [CrossRef]
- Kwon, H.-R.; Son, S.-W.; Han, H.-R.; Choi, G.-J.; Jang, K.-S.; Choi, Y.-H.; Lee, S.; Sung, N.-D.; Kim, J.-C. Nematicidal activity of bikaverin and fusaric acid isolated from Fusarium oxysporum against pine wood nematode, Bursaphelenchus xylophilus. Plant Pathol. J. 2007, 23, 318–321. [Google Scholar] [CrossRef][Green Version]
- Zheng, Y.; Wu, B.; Chen, Y.-W. Active ingredients from metabolite of Datura arborea entophytic fungi and its anti-dermal pathogenic fungi activities. J. Anhui Agric. Sci. 2011, 39, 1323–1324, 1329. [Google Scholar]
- Son, S.-W.; Kim, H.-Y.; Choi, G.-J.; Lim, H.-K.; Jang, K.-S.; Lee, S.-O.; Lee, S.; Sung, N.-D.; Kim, J.-C. Bikaverin and fusaric acid from Fusarium oxysporum show antioomycete activity against Phytophthora infestans. J. Appl. Microbiol. 2008, 104, 692–698. [Google Scholar] [CrossRef]
- Waldner, A. A short synthesis of fusaric acid and analogues. Synth Commun. 1989, 19, 2371–2374. [Google Scholar] [CrossRef]
- Sagi, M.; Amano, M.; Konno, S.; Yamanaka, H. Studies on as-triazine derivatives. XIII: A facile synthesis of fusaric acid from thienyl-as-triazine derivative. Heterocycles (Sendai) 1989, 29, 2249–2252. [Google Scholar]
- Koyama, J.; Ogura, T.; Tagahara, K. Diels-Alder reaction of 1, 2, 3-triazine with aldehyde enamine. Heterocycles (Sendai) 1994, 38, 1595–1600. [Google Scholar] [CrossRef]
- Renslo, A.-R.; Danheiser, R.-L. Synthesis of substituted pyridines via regiocontrolled [4 + 2] cycloadditions of oximinosulfonates. J. Org. Chem. 1998, 63, 7840–7850. [Google Scholar] [CrossRef]
- Vogt, H.; Mayer, H. Eine neue synthese der fusarinsäure. Tetrahedron Lett. 1966, 7, 5887–5888. [Google Scholar] [CrossRef]
- Tschesche, R.; Führer, W. Eine neue Synthese der 5-Butyl-2-pyridincarbonsäure (Fusarsäure) über die „Emmert-Reaktion”. Chem. Ber. 1978, 111, 3502–3505. [Google Scholar] [CrossRef]
- Langhals, E.; Langhals, H.; Rüchardt, C. Eine einfache neue synthese der fusarinsäure und anderer 5-Alkyl-2-pyridincarbonsäuren. Liebigs Ann. Chem. 1982, 930–949. [Google Scholar] [CrossRef]
- Miyano, K.; Sakasai, T.; Hamano, H. Synthesis of 5-(substituted alkyl) picolinic acids. the dopamine β-hydroxylase inhibitors. II. Chem. Pharm. Bull. 1978, 26, 2328–2333. [Google Scholar] [CrossRef]
- Song, J.-J.; Yee, N.-K. A concise synthesis of fusaric acid and-(+)-fusarinolic acid. J. Org. Chem. 2001, 66, 605–608. [Google Scholar] [CrossRef]
- Tung, T.-T.; Jakobsen, T.-H.; Dao, T.-T.; Fuglsang, A.-T.; Givskov, M.; Christensen, S.-B.; Nielsen, J. Fusaric acid and analogues as Gram-negative bacterial quorum sensing inhibitors. Eur. J. Med. Chem. 2017, 126, 1011–1020. [Google Scholar] [CrossRef]
- Chumakov, Y.-I.; Sherstyuk, V.-P. The synthesis of the fusarinic acid, its isomers and homologues. Tetrahedron Lett. 1965, 6, 129–135. [Google Scholar] [CrossRef]
- Shing, K.-P.; Liu, Y.-G.; Cao, B.; Chang, X.-T.; You, T.-J.; Che, C.-M. N-Heterocyclic Carbene Iron (III) Porphyrin-Catalyzed Intramolecular C (sp3)–H Amination of Alkyl Azides. Angew. Chem. Int. Ed. 2018, 57, 11947–11951. [Google Scholar] [CrossRef]
- Brenna, E.; Cosi, S.-L.; Ferrandi, E.-E.; Gatti, F.-G.; Monti, D.; Parmeggiani, F.; Sacchetti, A. Substrate scope and synthetic applications of the enantioselective reduction of α-alkyl-β-arylenones mediated by Old Yellow Enzymes. Org. Biomol. Chem. 2013, 11, 2988–2996. [Google Scholar] [CrossRef] [PubMed]
- Rabal, O.; Sánchez-Arias, J.-A.; Cuadrado-Tejedor, M.; De Miguel, I.; Pérez-González, M.; García-Barroso, C.; Ana Ugarte, A.; De Mendoza, A.-E.-H.; Sáez, E.; Espelosin, M.; et al. Multitarget approach for the treatment of Alzheimer’s disease: Inhibition of Phosphodiesterase 9 (PDE9) and Histone Deacetylases (HDACs) covering diverse selectivity profiles. ACS Chem. Neurosci. 2019, 10, 4076–4101. [Google Scholar] [CrossRef] [PubMed]
- Shyaka, C.; Xian, M.; Park, C.-M. Esterase-sensitive trithiane-based hydrogen sulfide donors. Org. Biomol. Chem. 2019, 17, 9999–10003. [Google Scholar] [CrossRef] [PubMed]
- Schareina, T.; Zapf, A.; Cotté, A.; Müller, N.; Beller, M. A bio-inspired copper catalyst system for practical catalytic cyanation of aryl bromides. Synthesis 2008, 2008, 3351–3355. [Google Scholar] [CrossRef]
- Barbero, M.; Degani, I.; Dughera, S.; Fochi, R. Hydrodediazoniation of dry arenediazonium o-benzenedisulfonimides with hydrogen peroxide. Synthesis 2004, 2004, 2386–2390. [Google Scholar] [CrossRef]
- Kumar, S.; Dixit, S.-K.; Awasthi, S.-K. An efficient one pot method for synthesis of carboxylic acids from nitriles using recyclable ionic liquid [bmim]HSO4. Tetrahedron Lett. 2014, 55, 3802–3804. [Google Scholar] [CrossRef]
- Chattapadhyay, T.-K.; Dureja, P. Antifungal activity of 4-methyl-6-alkyl-2H-pyran-2-ones. J. Agric. Food Chem. 2006, 54, 2129–2133. [Google Scholar] [CrossRef]
- Xu, W.-M.; He, J.; He, M.; Han, F.-F.; Chen, X.-H.; Pan, Z.-X.; Wang, J.; Tong, M.-G. Synthesis and antifungal activity of novel sulfone derivatives containing 1,3,4-oxadiazole moieties. Molecules 2011, 16, 9129–9141. [Google Scholar] [CrossRef]
- Wang, X.; Li, P.; Li, Z.-N.; Yin, J.; He, M.; Xue, W.; Chen, Z.-W.; Song, B.-A. Synthesis and bioactivity evaluation of novel arylimines containing a 3-aminoethyl-2-[(p-trifluoromethoxy)anilino]-4(3H)-quinazolinone moiety. J. Agric. Food Chem. 2013, 61, 9575–9582. [Google Scholar] [CrossRef]
- Dong, X.; Ling, N.; Wang, M.; Shen, Q.-R.; Guo, S.-W. Fusaric acid is a crucial factor in the disturbance of leaf water imbalance in Fusarium-infected banana plants. Plant Physiol. Biochem. 2012, 60, 171–179. [Google Scholar] [CrossRef]
- Dong, X.; Xiong, Y.-F.; Ling, N.; Shen, Q.-R.; Guo, S.-W. Fusaric acid accelerates the senescence of leaf in banana when infected by Fusarium. World J. Microbiol. Biotechnol. 2014, 30, 1399–1408. [Google Scholar] [CrossRef]
- Barna, B.; Györgyi, B. Resistance of young versus old tobacco leaves to necrotrophs, fusaric acid, cell wall-degrading enzymes and autolysis of membrane lipids. Physiol. Mol. Plant Pathol. 1992, 40, 247–257. [Google Scholar] [CrossRef]
- Jiao, J.; Zhou, B.-G.; Zhu, X.-P.; Gao, Z.-L.; Liang, Y.-C. Fusaric acid induction of programmed cell death modulated through nitric oxide signalling in tobacco suspension cells. Planta 2013, 238, 727–737. [Google Scholar] [CrossRef] [PubMed]
- Arias, J.-A. Secretory organelle and mitochondrial alterations induced by fusaric acid in root cells of Zea mays. Physiol. Plant Pathol. 1985, 27, 149–158. [Google Scholar] [CrossRef]
- Wu, H.-S.; Yin, X.-M.; Zhu, Y.-Y.; Guo, S.-W.; Wu, C.-L.; Lu, Y.-L.; Shen, Q.-R. Nitrogen metabolism disorder in watermelon leaf caused by fusaric acid. Physiol. Mol. Plant Pathol. 2007, 71, 69–77. [Google Scholar] [CrossRef]
- Wu, H.-S.; Yin, X.-M.; Liu, D.-Y.; Ling, N.; Bao, W.; Ying, R.-R.; Zhu, Y.-Y.; Guo, S.-W.; Shen, Q.-R. Effect of fungal fusaric acid on the root and leaf physiology of watermelon (Citrullus lanatus) seedlings. Plant Soil 2008, 308, 255–266. [Google Scholar] [CrossRef]
Sample Availability: Samples of the compounds 1, 2, 4 and 5 are available from the authors. |




| Plant Pathogenic Fungus | EC50 (95% CL) (μg/mL) | Toxic Regression Equation | Determination Coefficient |
|---|---|---|---|
| Colletotrichum higginsianum | 31.67 (26.72–37.30) | y = 1.954x + 2.068 | 0.9462 |
| Helminthosporium maydis | 130.25 (115.68–149.24) | y = 1.666x + 1.476 | 0.9703 |
| Pyricularia grisea | 120.39 (107.26–137.04) | y = 1.684x + 1.497 | 0.9999 |
| Thanatephorus cucumeris | 22.42 (10.20–34.24) | y = 1.334x + 3.199 | 0.9417 |
| Botrytis cinerea | 338.10 (258.80–484.10) | y = 1.166x + 2.051 | 0.9806 |
| Gliocladium catenulatum | 241.31 (193.89–367.29) | y = 2.726x − 1.494 | 0.9990 |
| Colletotrichum gloeosporioides | 90.80 (60.23–171.70) | y = 0.969x + 3.103 | 0.9745 |
| Pythium aphanidermatum | 173.46 (150.11–210.84) | y = 1.616x + 1.382 | 0.9897 |
| Valsa mal | – | ||
| Mycosphaerella arachidis | 187.60 (174.98–203.80) | y = 3.941x − 3.959 | 0.9530 |
| Sclerotinia sclerotiorum | 190.68 (158.70–262.93) | y = 2.703x − 1.163 | 0.9969 |
| Phytophthora capsici | 170.89 (147.58–208.44) | y = 1.570x + 1.494 | 0.9812 |
| Rhizoctonia solani | 221.17 (174.97–358.79) | y = 2.695x − 1.318 | 0.9893 |
| Alternaria longipes | – | ||
© 2020 by the authors. Licensee MDPI, Basel, Switzerland. This article is an open access article distributed under the terms and conditions of the Creative Commons Attribution (CC BY) license (http://creativecommons.org/licenses/by/4.0/).
Share and Cite
Huang, B.B.; Liu, Y.Y.; Zhu, P.F.; Jiang, Y.C.; Ouyang, M.-A. Concise Total Synthesis and Antifungal Activities of Fusaric Acid, a Natural Product. Molecules 2020, 25, 3859. https://doi.org/10.3390/molecules25173859
Huang BB, Liu YY, Zhu PF, Jiang YC, Ouyang M-A. Concise Total Synthesis and Antifungal Activities of Fusaric Acid, a Natural Product. Molecules. 2020; 25(17):3859. https://doi.org/10.3390/molecules25173859
Chicago/Turabian StyleHuang, Bin Bin, Ya Yi Liu, Peng Fei Zhu, Yi Cheng Jiang, and Ming-An Ouyang. 2020. "Concise Total Synthesis and Antifungal Activities of Fusaric Acid, a Natural Product" Molecules 25, no. 17: 3859. https://doi.org/10.3390/molecules25173859
APA StyleHuang, B. B., Liu, Y. Y., Zhu, P. F., Jiang, Y. C., & Ouyang, M.-A. (2020). Concise Total Synthesis and Antifungal Activities of Fusaric Acid, a Natural Product. Molecules, 25(17), 3859. https://doi.org/10.3390/molecules25173859
