Structural Crystalline Characterization of Sakuranetin — An Antimicrobial Flavanone from Twigs of Baccharis retusa (Asteraceae)
Abstract
:1. Introduction
2. Results and Discussion
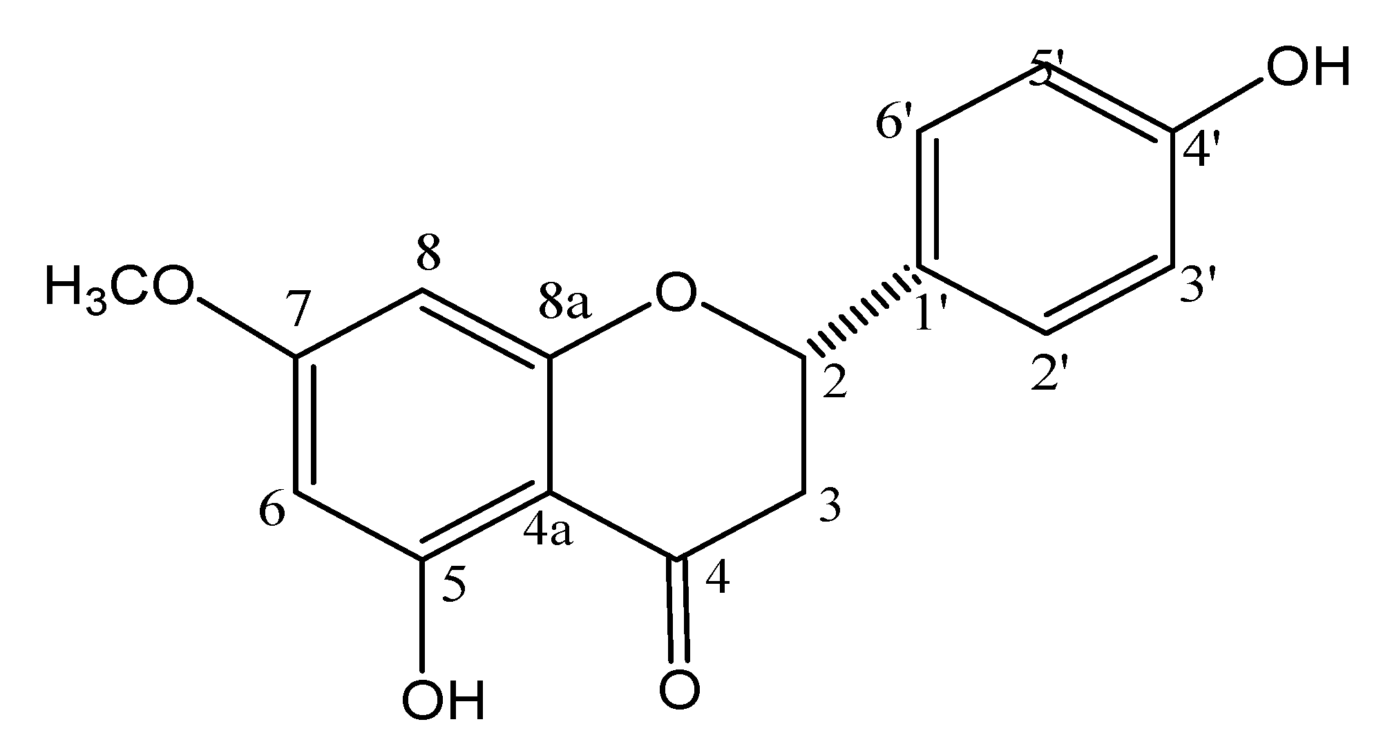
2.1. Chemical Characterization of Sakuranetin by NMR and MS

2.2. Structural Crystalline Characterization of Sakuranetin
| Empirical Formula | 2 (C16H14O5·H2O) |
|---|---|
| Formula weight | 602.53 |
| Temperature/K | 120(1) K |
| Wavelength/Å | 1.54180 |
| Crystal system | Monoclinic |
| Space group | P21 |
| Unit cell dimensions/Å and ° | a = 4.825(5), b = 13.978(5), c = 21.077(5) |
| β = 91.091(5) | |
| Volume/Å3 | 1421.3(16) |
| Z/Z' | 4/2 |
| Density (calculated)/Mg.m−3 | 1.422 |
| Absorption coefficient/mm−1 | 0.921 |
| F(000) | 640 |
| Crystal size | 0.28 × 0.14 × 0.02 mm3 |
| Theta range for data collection | 4.20 to 63.27° |
| Index ranges | −5 d h d 3, −15 d k d 15, −24 d l d 23 |
| Reflections collected | 4538 |
| Independent reflections | 3241 [R(int) = 0.0269] |
| Completeness to theta = 63.27° | 84.1% |
| Refinement method | Full-matrix least-squares on F2 |
| Data/restraints/parameters | 3241/1/395 |
| Goodness-of-fit on F2 | 1.040 |
| Final R index [I > 2 sigma(I)] | R1 = 0.0609, wR2 = 0.1601 |
| R index (all data) | R1 = 0.0917, wR2 = 0.1816 |
| Largest diff. peak and hole/e.Å−3 | 0.547 and −0.248 |


| Torsion Angle | (I)-Anhydrous † | (I)-Dihydrate † | (I)-MonohydrateMolecule A | (I)-MonohydrateMolecule B | ||
|---|---|---|---|---|---|---|
| conformer a | conformer b | conformer a | conformer b | |||
| φ1 | −66.43 | −66.13 | −41.04 | −82.46 | −46.04 | −78.78 |
| φ2 | 111.35 | 112.62 | 137.70 | 106.53 | 126.89 | 100.64 |
| φ3 | 56.27 | 56.07 | 85.38 | 43.96 | 76.62 | 43.89 |
| φ4 | −125.94 | −125.19 | −95.89 | −127.05 | −110.45 | −136.69 |

| D–H–A | d (D–H) | d (H–A) | d (D–A) | <(DHA) |
|---|---|---|---|---|
| O1-H1...O2 | 0.82 | 1.90 | 2.632(9) | 147.7 |
| O6-H6...O7 | 0.82 | 1.89 | 2.622(9) | 148.8 |
| O5-H5...O12 i | 0.82 | 2.18 | 2.97(1) | 161.5 |
| O10-H10a...O11 iv | 0.82 | 2.18 | 2.97(1) | 161.5 |
| O12-H12c...O1 | 1.056(6) | 1.783(6) | 2.839(9) | 179.5(5) |
| O12-H12d...O5 iv | 0.993(6) | 1.632(7) | 2.625(9) | 179.6(5) |
| O11-H11b...O6 | 1.096(5) | 1.830(6) | 2.926(8) | 179.6(4) |
| O11-H11a...O10 i | 1.105(6) | 1.826(7) | 2.93(1) | 179.9(4) |
| O1-H1...O7 vii | 0.82 | 2.41 | 2.87(1) | 116.3 |
| O6 vii-H6...O2 | 0.82 | 2.41 | 2.87(1) | 116.3 |

assemblies [21].


assembly is formed containing two bifurcated H bonds. The hydrogen bonds geometries are given in Table 2.
2.3. Antifungal Sensibility Test
| Species | Designation | Source * | MIC (µg/µL) Sakuranetin ** |
|---|---|---|---|
| Candida dubliniensis | ATCC 7978 | ATCC | 0.63 (99%) |
| Candida tropicalis | ATCC 13803 | ATCC | 0.63 (98%) |
| Candida glabrata | ATCC 90030 | ATCC | 0.63 (99%) |
| Candida parapsilosis | Clinical isolate 68 | CBMAI | 0.63 (98%) |
| Candida krusei | Clinical isolate 9602 | CBMAI | 0.63 (99%) |
| Candida albicans | CBMAI 560 | CBMAI | 0.32 (99%) |
| Cryptococcus neoformans | KN99α (serotype A) | LIMIc | 0.32 (99%) |
| Cryptococcus gattii | R265 (serotype B) | LIMIc | 0.32 (97%) |
| Cryptococcus gattii | NIH312 (serotype C) | LIMIc | 0.32 (97%) |
| Cryptococcus neoformans | JEC21 (serotype D) | LIMIc | 0.08 (98%) |
| Saccharomyces cerevisiae | BY4742 | LIMIc | 0.32 (99%) |
3. Experimental
3.1. General Experimental Procedures
3.2. Plant Material
3.3. Extraction and Isolation
3.4. 5,4'-Dihydroxy-7-methoxyflavanone (sakuranetin)
3.5. X-ray Crystallography
3.6. Disk Diffusion Assay
3.7. Minimum Inhibitory Concentration
4. Conclusions
Acknowledgments
Author Contributions
Conflicts of Interest
References
- Abad, M.J.; Latourrette, A.; Bermejo, P. Studies in Natural Products Chemistry; Atta-ur-Rahman, Ed.; Elsevier: Oxford, UK, 2005; pp. 1–383. [Google Scholar]
- Abad, M.J.; Bermejo, P. Baccharis (Compositae): A review update. Arkivoc 2007, VII, 76–96. [Google Scholar]
- Fullas, F.; Hussain, R.A.; Chai, H.B.; Pezzuto, J.M.; Soejarto, D.D.; Kinghorn, A.D. Cytotoxic constituents of Baccharis gaudichaudiana. J. Nat. Prod. 1994, 57, 801–807. [Google Scholar] [CrossRef]
- Torres, L.M.B.; Gamberini, M.T.; Roque, N.F.; Landman, M.T.L.; Souccar, C.; Lapa, A.J. Diterpene from Baccharis trimera with a relaxant effect on rat vascular smooth muscle. Phytochemistry 2000, 55, 617–619. [Google Scholar] [CrossRef]
- Moreira, F.P.M.; Coutinho, V.; Pimentel, A.B.; Caro, M.S.P.; Costa, I.M.; Pizzolatti, M.G.; Monache, F.D. Flavonóides e triterpenos de Baccharis pseudotenuifolia-bioatividade sobre Artemia salina. Quím. Nova 2003, 26, 309–311. [Google Scholar]
- Silva-Filho, A.A.; Resende, D.O.; Fukui, M.J.; Santos, F.F.; Pauletti, P.M.; Cunha, W.R.; Silva, M.L.; Gregório, L.E.; Bastos, J.K.; Nanayakkara, N.P. In vitro antileishmanial, antiplasmodial and cytotoxic activities of phenolics and triterpenoids from Baccharis dracunculifolia D. C. (Asteraceae). Fitoterapia 2009, 80, 478–482. [Google Scholar] [CrossRef]
- Bohm, B.A.; Stuessy, T.F. Flavonoids of the Sunflower Family (Asteraceae); Springer-Verlag: Vienna, Austria, 2001; pp. 1–840. [Google Scholar]
- Verdi, L.G.; Brighente, I.M.C.; Pizzolatti, M.G. Gênero Baccharis (Asteraceae): Aspectos químicos, econômicos e biológicos. Quím. Nova 2005, 28, 85–94. [Google Scholar]
- Grecco, S.S.; Ferreira, M.J.P.; Romoff, P.; Favero, O.A.; Lago, J.H.G. Phenolic derivatives from Baccharis retusa DC. (Asteraceae). Biochem. Syst. Ecol. 2012, 42, 21–24. [Google Scholar]
- Grecco, S.S.; Reimão, J.Q.; Tempone, A.G.; Sartorelli, P.; Romoff, P.; Ferreira, M.J.P.; Fávero, O.A.; Lago, J.H.G. Isolation of an antileishmanial and antitrypanosomal flavanone from the leaves of Baccharis retusa DC. (Asteraceae). Parasitol. Res. 2010, 106, 111–113. [Google Scholar]
- Grecco, S.S.; Reimão, J.Q.; Tempone, A.G.; Sartorelli, P.; Cunha, R.L.O.R.; Romoff, P.; Ferreira, M.J.P.; Favero, O.A.; Lago, J.H.G. In vitro antileishmanial and antitrypanosomal activities of flavanones from Baccharis retusa DC. (Asteraceae). Exp. Parasitol. 2012, 130, 141–145. [Google Scholar] [CrossRef]
- Toledo, A.C.; Sakoda, C.C.P.; Perini, A.; Pinheiro, N.M.; Magalhaes, R.M.; Grecco, S.S.; Tiberio, I.F.L.C.; Camara, N.O.; Martins, M.A.; Lago, J.H.G.; et al. Flavonone treatment reverses airway inflammation and remodelling in an asthma murine model. Br. J. Pharmacol. 2013, 168, 1736–1749. [Google Scholar] [CrossRef]
- Grande, M.; Piera, F.; Cuenca, A.; Torres, P.; Bellido, I.S. Flavonoids from Inula viscosa. Planta Med. 1985, 51, 414–419. [Google Scholar] [CrossRef]
- Agrawal, P.K. Carbon-13 NMR of Flavonoids; Elsevier Science Publishers: Amsterdan, The Netherlands, 1989; pp. 1–564. [Google Scholar]
- Shoja, M. 4',5-Dihydroxy-7-methoxyflavonone. Acta Cryst. C 1990, 46, 1969–1971. [Google Scholar] [CrossRef]
- Brito, I.; Bórquez, J.; Simirgiotis, M.; Cárdenas, A.; López-Rodríguez, M. 4',5-Dihydroxy-7-methoxyflavonone dihydrate. Acta Cryst. E 2012, 68, o32–o33. [Google Scholar]
- Hai-Ping, L.; Zhi-Mao, C.; Zhi-Gao, T.; Xiao-Yi, W.; Chun, W.; Wen, S. Isolation, crystal structure, and anti-inflammatory activity of sakuranetin from Populus tomentosa. Chin. J. Struct. Chem. 2013, 32, 173–178. [Google Scholar]
- Bruno, I.J.; Cole, J.C.; Kessler, M.; Luo, J.; Motherwell, W.D.S.; Purkis, L.H.; Smith, B.R.; Taylor, R.; Cooper, R.I.; Harris, S.E.; et al. Retrieval of crystallographically-derived molecular geometry information. J. Chem. Inf. Comput. Sci. 2004, 44, 2133–2144. [Google Scholar] [CrossRef]
- Allen, F.H. The Cambridge Structural Database: A quarter of a million crystal structures and rising. Acta Cryst. B 2002, 58, 380–388. [Google Scholar] [CrossRef]
- Kuleshova, L.N.; Antipin, M.Y.; Komkov, I.V. The role of-molecular association in the formation of crystals of Z' > 1 of some hydroxy-containing compounds. J. Mol. Struct. 2003, 647, 41–51. [Google Scholar] [CrossRef]
- Bernstein, J.; Davis, R.E.; Shimoni, L.; Chang, N.L. Patterns in hydrogen bonding: Functionality and graph set analysis in crystals. Angew. Chem. Int. Ed. Engl. 1995, 34, 1555–1573. [Google Scholar] [CrossRef]
- Danelutte, A.P.; Lago, J.H.G.; Young, M.C.M.; Kato, M.J. Antifungal prenylated hydroquinones and flavanones from Piper crassinervium. Phytochemistry 2003, 64, 555–559. [Google Scholar] [CrossRef]
- Pacciaroni, A.V.; Gette, M.A.; Derita, M.; Ariza-Espinar, L.; Gil, R.R.; Zacchino, S.A.; Silva, G.L. Antifungal activity of Heterothalamus alienus metabolites. Phytother. Res. 2008, 22, 524–528. [Google Scholar] [CrossRef]
- Agilent Technologies UK Ltd. CrysAlisPRO. Oxford Diffraction: Yarnton, UK, 2006. [Google Scholar]
- Altomare, A.; Cascarano, G.; Giacovazzo, C.; Guagliardi, A.; Burla, M.C.; Polidori, G.; Camalli, M. SIR92-A program for automatic solution of crystal structures by direct methods. J. Appl. Cryst. 1994, 27, 435. [Google Scholar]
- Sheldrick, G.M. A short history of SHELX. Acta Cryst. A 2008, 64, 112–122. [Google Scholar]
- Farrugia, L.J. WinGX and ORTEP for windows: An update. J. Appl. Cryst. 2012, 45, 849–854. [Google Scholar] [CrossRef]
- Farrugia, L.J. ORTEP-3 for windows-a version of ORTEP-III with a graphical user interface (GUI). J. Appl. Cryst. 1997, 30, 565. [Google Scholar] [CrossRef]
- Macrae, C.F.; Bruno, I.J.; Chisholm, J.A.; Edgington, P.R.; McCabe, P.; Pidcock, E.; Rodriguez-Monge, L.; Taylor, R.; van de Streek, J.; Wood, P.A. Mercury CSD 2.0-new features for the visualization and investigation of crystal structures. J. Appl. Cryst. 2008, 41, 466–470. [Google Scholar] [CrossRef]
- Cianci, M.; Helliwell, J.R.; Helliwell, M.; Kaucic, V.; Logar, N.Z.; Mali, G.; Tusar, N.N. Anomalous scattering in structural chemistry and biology. Crystallogr. Rev. 2005, 11, 245–335. [Google Scholar] [CrossRef]
- Narasimhachari, N.; Seshadri, T.R. Synthetic experiments in the benzopyrone series. Part IX. Partial demethylation of chalkones: A synthesis of sakuranetin. Proc. Indian Acad. Sci. A 1949, 29, 265–268. [Google Scholar]
- Atkinson, P.; Blakeman, J.P. Seasonal occurrence of an antimicrobial flavonone, sakuranetin, associated with glands on leaves of Ribes nigrum. New Phytol. 1992, 92, 63–74. [Google Scholar] [CrossRef]
- Silva, E.B.; Mariane, B.; Vallim, M.A.; Pascon, R.C.; Sartorelli, P.; Soares, M.G.; Lago, J.H.G. The seasonal variation in the chemical composition of essential oils from Porcelia macrocarpa R.E. Fries (Annonaceae) and their antimicrobial activity. Molecules 2013, 18, 13574–13587. [Google Scholar] [CrossRef]
- Lago, J.H.G.; Souza, E.D.; Mariane, B.; Pascon, R.C.; Vallim, M.A.; Martins, R.C.C.; Baroli, A.A.; Carvalho, B.A.; Soares, M.G.; Santos, R.T.; et al. Chemical and biological evaluation of essential oils from two species of Myrtaceae: Eugenia uniflora L. and Plinia trunciflora (O. Berg) Kausel. Molecules 2011, 16, 9827–9837. [Google Scholar] [CrossRef]
- Sample Availability: Sample of sakuranetin is available from the authors.
© 2014 by the authors. licensee MDPI, Basel, Switzerland. This article is an open access article distributed under the terms and conditions of the Creative Commons Attribution license ( http://creativecommons.org/licenses/by/3.0/).
Share and Cite
Dos S. Grecco, S.; Dorigueto, A.C.; Landre, I.M.; Soares, M.G.; Martho, K.; Lima, R.; Pascon, R.C.; Vallim, M.A.; Capello, T.M.; Romoff, P.; et al. Structural Crystalline Characterization of Sakuranetin — An Antimicrobial Flavanone from Twigs of Baccharis retusa (Asteraceae). Molecules 2014, 19, 7528-7542. https://doi.org/10.3390/molecules19067528
Dos S. Grecco S, Dorigueto AC, Landre IM, Soares MG, Martho K, Lima R, Pascon RC, Vallim MA, Capello TM, Romoff P, et al. Structural Crystalline Characterization of Sakuranetin — An Antimicrobial Flavanone from Twigs of Baccharis retusa (Asteraceae). Molecules. 2014; 19(6):7528-7542. https://doi.org/10.3390/molecules19067528
Chicago/Turabian StyleDos S. Grecco, Simone, Antônio C. Dorigueto, Iara M. Landre, Marisi G. Soares, Kevin Martho, Ricardo Lima, Renata C. Pascon, Marcelo A. Vallim, Tabata M. Capello, Paulete Romoff, and et al. 2014. "Structural Crystalline Characterization of Sakuranetin — An Antimicrobial Flavanone from Twigs of Baccharis retusa (Asteraceae)" Molecules 19, no. 6: 7528-7542. https://doi.org/10.3390/molecules19067528
APA StyleDos S. Grecco, S., Dorigueto, A. C., Landre, I. M., Soares, M. G., Martho, K., Lima, R., Pascon, R. C., Vallim, M. A., Capello, T. M., Romoff, P., Sartorelli, P., & Lago, J. H. G. (2014). Structural Crystalline Characterization of Sakuranetin — An Antimicrobial Flavanone from Twigs of Baccharis retusa (Asteraceae). Molecules, 19(6), 7528-7542. https://doi.org/10.3390/molecules19067528

