Next Article in Journal
A Mangifera indica L. Extract Could Be Used to Treat Neuropathic Pain and Implication of Mangiferin
Previous Article in Journal
Antidiabetic Properties and Mechanism of Action of Gynura procumbens Water Extract in Streptozotocin-Induced Diabetic Rats
 
 
Font Type:
Arial Georgia Verdana
Font Size:
Aa Aa Aa
Line Spacing:
Column Width:
Background:
Article

Synthesis and Biological Activity of Novel Phenyltriazolinone Derivatives

Key Laboratory of Pesticide and Chemical Biology of Ministry of Education, College of Chemistry, Central China Normal University, Wuhan 430079, Hubei, China
*
Author to whom correspondence should be addressed.
Molecules 2010, 15(12), 9024-9034; https://doi.org/10.3390/molecules15129024
Submission received: 27 October 2010 / Revised: 18 November 2010 / Accepted: 22 November 2010 / Published: 9 December 2010

Abstract

:
Phenyltriazolinones are one of the most important classes of herbicides targeting the protoporphyrinogen oxidase enzyme. A series of triazolinone derivatives containing a strobilurin pharmacophore were designed and synthesized with the aim of discovering new phenyltriazolinone analogues with high activity. The herbicidal activity of the synthesized compounds was assayed and some of the test compounds displayed moderate herbicidal activity at 150 g ai/ha.

1. Introduction

Triazolinones are attractive building blocks of considerable interest because of their unique properties and wide range of biological properties [1,2,3,4,5,6], such as human neurokinin-1 receptor antagonist [7] and angiotensin AII receptor antagonist [8,9] activity. In the past two decades, research on triazolinone herbicides has attracted continuous interest [10,11,12,13,14] since the discovery of sulfentrazone, the first commercialized phenyltriazolinone herbicide with excellent pre-emergence control of several broadleaf weeds as well as several selected grass weeds for the soybean market [15]. Carfentrazone-ethyl, a second commercial herbicide introduced by FMC only a few years after sulfentrazone was marketed, showed excellent post-emergence cereal and corn herbicidal activities [16]. Nowadays, phenyltriazolinone herbicides play an important role in the herbicide market. The mode of action of sulfentrazone and carfentrazone-ethyl is the inhibition of protoporphyrinogen oxidase (Protox), which causes the accumulation of protoporphyrin IX (Proto IX), which is involved in the light-dependent formation of singlet oxygen responsible for membrane peroxidation [17,18]. This unique mode of action, that makes phenyltriazolinones safe, high efficient and environmentally benign herbicides, has been actively pursued and Protox inhibitors have been used very effectively for many decades, although a biotype of Amaranthus tuberculatus has recently evolved resistance to these herbicides via a codon deletion mutation that affects the binding of the inhibitors to the enzyme [19,20].
Structure-activity relationship analysis indicated that the 2,4,5-trisubstituted phenyl structure plays an important role for their herbicidal activities of phenyltriazolinones. Among the phenyl substitution patterns investigated, F or Cl at C-2 and Cl at C-4 was identified as crucial for most the active compounds, while a wide range of substitutions at C-5 were acceptable. Additionally, among the N-4 substituents investigated, the CHF2 group always gave the highest herbicidal activity, although the success of azafenidin indicated that groups other than CHF2 are also acceptable at N-4 [21].
The strobilurins are a class of fungicidal compounds which have been applied as agricultural disinfectants in many countries. Most active strobilurin compounds contain the same biologically active moiety, that is, an acrylate, an acetate, or an acetamide chemical group with the E configuration about the double bond in the toxophore moiety [22,23,24]. We envisaged that, if the strobilurin pharmacophore was introduced into the phenyltriazolinone scaffold, the resulting product (Figure 1, compounds 1) should be an interesting lead structure for agrochemical development. In our previous studies [25], we have introduced the (E)-methyl 2-methoxyimino-2-o-tolylacetate toxophore into the N-4 position of sulfentrazone and the resulting compound Y5060 showed comparable herbicidal activity at 75-150 g of active ingredient/ha with the commercial product sulfentrazone. On the basis of test results of herbicidal spectrum and crop selectivity, compound Y5060 was verified as a promising candidate for further development as a postemergence herbicide. To further improve the herbicidal activity of this class of compounds and screen for valuable lead compounds, according to the bioisosteric principle, a series of new compounds were designed and synthesized.
Figure 1. Structures of sulfentrazone, carfentrazone-ethyl, azafenidin, Y5060 and the new compounds synthesized in this study.
Figure 1. Structures of sulfentrazone, carfentrazone-ethyl, azafenidin, Y5060 and the new compounds synthesized in this study.
Molecules 15 09024 g001

2. Results and Discussion

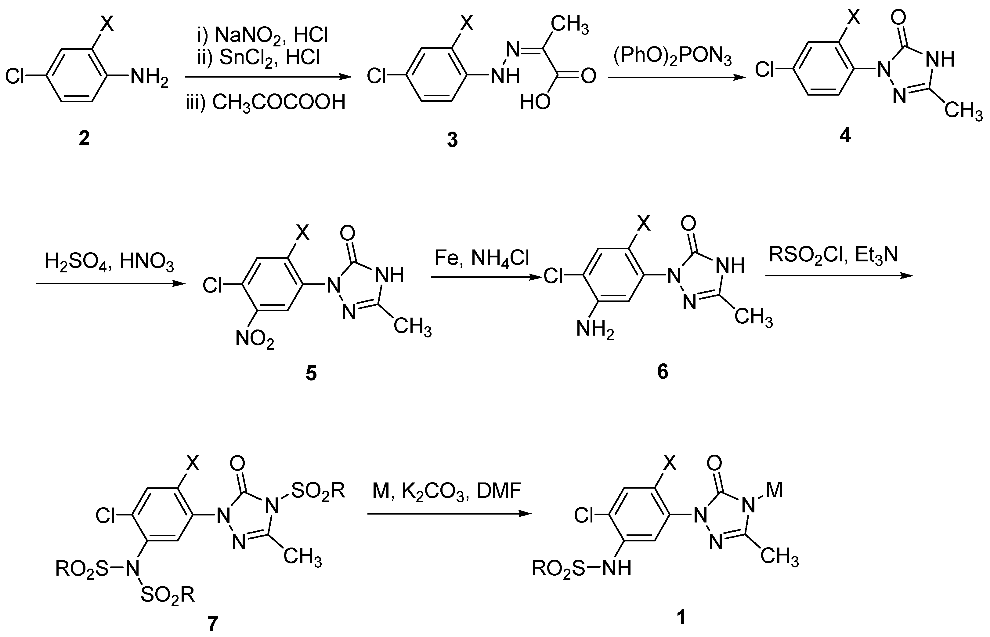
The preparation of the key intermediates 4 starts with an appropriately substituted aniline which is converted into the corresponding phenylhydrazine by diazotization with NaNO2 in concentrated HCl solution at low temperature and subsequently reduced with SnCl2 [10]. The phenylhydrazines were then treated with a ketocarboxylic acid without separation to afford phenylhydrazone 3, which undergoes a Schmidt rearrangement upon reaction with diphenylphosphoryl azide and is thus converted into the corresponding triazolinone 4. Thereafter, the benzene ring of the intermediate 4 is nitrated with the common mixed H2SO4 and HNO3 nitration reagent and the nitro group was then reduced with iron powder to form the aromatic amine 6, which is then treated with the corresponding sulfonyl chloride in the presence of a weak base such as triethylamine to provide sulfonyl amide 7. It was noticed that the hydrogen on 4-N position of the triazolinone ring is also replaced during the treatment with the chloride.
Scheme 1. Synthetic route of the target compound 1.
Scheme 1. Synthetic route of the target compound 1.
Molecules 15 09024 g002
Initially, we selected three typical strobilurin pharmacophores (M1-3) [26,27] as substituents to be introduced at the 4-N position of triazolinone 7 to investigate the effect of these substitution patterns on their herbicidal activity. The preparation of intermediate M1 was achieved in five steps with simple 2-o-tolylacetic acid as starting material (Scheme 2).
Scheme 2. Synthesis of the intermediate M1.
Scheme 2. Synthesis of the intermediate M1.
Molecules 15 09024 g003
The methyl 2-o-tolylacetate was treated with methyl formate in the presence of sodium methoxide to afford the mixed enol (E/Z), which can be methylated with dimethyl sulfate to give the desired E-isomer stereoselectively and successively brominated with NBS to afford the methoxymethyl acrylate M1 in excellent yield.
For the synthesis of intermediate M2 (Scheme 3), the selected starting material was 2-bromotoluene, which was first converted into the Grignard reagent and then underwent nuclophilic addition with dimethyl oxalate to form methyl 2-oxo-2-o-tolylacetate, which after treatment with methoxylamine provided a mixed oxime. The E/Z ratio in the crude mixture was determined by 1H-NMR spectroscopy as ca. 1:1. After further column chromatography purification, the pure E-isomer was obtained in 51% yield. Similarly, the bromination of the E-oxime with 1.2 equiv. NBS afford target intermediate M2 smoothly.
Scheme 3. Synthesis of the intermediate M2.
Scheme 3. Synthesis of the intermediate M2.
Molecules 15 09024 g004
The third intermediate M3 was prepared according to the procedure shown in Scheme 4. Firstly, 2-nitrotoluene was converted into N-hydroxy-2-methylbenzenamine by reduction with zinc in aqueous NH4Cl solution to give N-hydroxybenzenamine which undergoes nucleophilic substitution with methyl chloroformate to afford the N-acetylated product and subsequently the free N-hydroxy group was methylated with dimethyl sulfate to give the methoxycarbamate product, which was then transformed into intermediate M3 with NBS.
Scheme 4. Synthesis of the intermediate M3.
Scheme 4. Synthesis of the intermediate M3.
Molecules 15 09024 g005
With these key intermediates in hand, we then investigated the coupling reaction of these intermediates M1-3 with the sulfonyl group protected phenyltriazolinone 7. First, we tried a two-step synthetic procedure by treating compound 7 bearing three RSO2- groups with a base such as NaOH to obtain the 4-N deprotected product, which subsequently underwent nucleophilic substitution with intermediates M1-3 to give the desired products, albeit in very low yield (17 %). Meanwhile, if we combined the two-step reaction into a one-pot version, we found that the RSO2-group can be removed readily by treatment with a weak base such as K2CO3, after which the appropriate M substitution can be concomitantly introduced at the 4-N position of the triazolinone ring. Thus, compounds 1a1q were smoothly prepared in moderate to good yield (Table 1).
Table 1. Structure of the synthesized target molecules 1.
Table 1. Structure of the synthesized target molecules 1.
Molecules 15 09024 i001
No.XRMam.p. (°C)Yield (%)
1aFCH3-M1153-15552
1bFCH3CH2-M1167-16959
1cFPh-M1187-19039
1dClCH3-M1138-14078
1eClCH3CH2-M1168-17080
1fClPh-M1194-19648
1gFCH3-M2138-14075
1hFPh-M2164-16646
1iClCH3-M2150-15273
1jClCH3CH2-M2162-16479
1kClPh-M2190-19244
1lFCH3-M3186-18857
1mFCH3CH2-M3166-16855
1nFPh-M3oil41
1oClCH3SO2-M3189-19162
1pClCH3CH2SO2-M3174-17670
1qClPhSO2-M3oil46
Molecules 15 09024 i002
The herbicidal activities of compounds 1a1q against monocotyledon weeds such as Echinochloa crusgalli (EC), Digitaria sanguinalis (DS), Poa annua (PA) and dicotyledon weeds such as Brassica juncea (BJ), Amaranthus retroflexus (AR), and Eclipta prostrate (EP) were evaluated according to a previously reported procedure [28]. Sulfentrazone was selected as a control. Most of the test compounds did not show the desired herbicidal activity at 150 g of ai/ha. However, some compounds present a certain degree of herbicidal activity. For example, compounds 1k, 1l and 1m exhibited 70% activity against E. prostrate, compounds 1p and 1q displayed moderate herbicidal activity against E. crusgalli, D. sanguinalis and P. annua. In comparison, their herbicidal activity is lower than that of the lead compound Y5060.
In conclusion, several strobilurin type pharmacophores were introduced to the 4-N position of the phenyl triazolinone scaffold with the view of preparing and screening potentially highly herbicidal lead compounds. The herbicidal activity of these synthesized compounds against six weeds was investigated. Unfortunately, they did not display desired weeds control potential compared to the lead compound Y5060.

3. Experimental

3.1. General

Unless otherwise noted, all materials were commercially available and were used directly without further purification. All solvents were redistilled before use. 1H-NMR spectra were recorded at 400 MHz on a Mercury-Plus 400 spectrometer in CDCl3 (unless stated otherwise) with tetramethylsilane as the internal reference. MS spectra were determined using a Trace MS 2000 organic mass spectrometry. Elementary analyses were performed on a Vario EL III elementary analysis instrument. Melting points were taken on a Buchi B-545 melting point apparatus and uncorrected.

3.2. General Procedure for the Preparation of Phenylhydrazines 3

To a cold solution of the appropriate 2,4-disubstituted benzenamine (0.10 mol) in concentrated HCl (100 mL), aqueous NaNO2 (8.5 g, 0.10 mol) was added dropwise during a period of 0.5 h under Ar. The result solution was stirred for a further 1 h at −9 °C, then a solution of SnCl2 in conc. HCl (40 mL) was added slowly over 40 min. After stirring for an another 0.5 h at −9 °C, the ice-salt bath was removed and the reactants were allowed to slowly warm to room temperature and then stirred at room temperature for 2 h. Then water (80 mL) and pyruvate (8.8 g, 0.05 mol) in water (80 mL) were added. The result reaction mixture was stirred for 30 min. The precipitate was collected and dried to give the phenylhydrazine 3. 3a, X = F, yield, 83%, m.p., 176-178 °C (lit: 172-173 °C [29]), 3b, X = Cl, yield, 89%,m.p., 188-190 °C (lit: 193-194 °C [29]).

3.3. General Procedure for the Synthesis of Phenyltriazolinones 4

To a mixture of phenylhydrazone 3 (0.05 mol) and triethylamine (5.1 g, 0.05 mol) in toluene (30 mL) was slowly added diphenyl phosphorous azide (13.75 g, 0.05 mol). The mixture was refluxed until the reaction was complete according to the TLC monitoring. The reactants were cooled to room temperature and extracted with 1 M NaOH solution (50 mL). The water layer was separated and neutralized with concentrated HCl. The white precipitate was collected by filtration, washed with water and dried to afford the product 4. 4a, X = F, yield, 75%,m.p. 204-206 °C (lit: 201-203 °C [29]), 1H- NMR: δ 2.29 (s, 3H, CH3), 7.24 (q, 1H, ArH), 7.27 (d, 1H, ArH), 7.47 (t, 1H, ArH), 11.64 (s, 1H, NH); 4b, X = Cl, yield, 92%,m.p. 179-181 °C (lit: 174-175 °C [14]),1H-NMR: δ 2.18 (s, 3H, CH3), 7.35 (q, 1H, ArH), 7.47 (d, 1H, ArH), 7.27 (d, 1H, ArH), 11.49 (s, 1H, NH).

3.4. General Procedure for the Synthesis of Nitrophenyltriazolinones 5

To a stirred solution of phenyltriazolinone 4 (5.00 mol) in concentrated H2SO4 (10 mL) was added concentrated HNO3 (0.45 g) slowly at 0 °C. After stirring for 0.5 h at this temperature, the mixture was allowed to warm to room temperature and stirred for a further 1 h, then the reaction mixture was poured into ice water and the precipitate was collected and dried to afford the desired product 5. 5a, X = F, yield, 95%, 1H-NMR: δ 2.32 (s, 3H, CH3), 7.47 (d, 1H, J = 9.2 Hz, ArH), 8.30 (d, 1H, J = 6.8 Hz, ArH), 11.40 (s, 1H, NH); 5b, X = Cl,yield, 98%,1H-NMR: δ 2.13 (s, 3H, CH3), 6.84 (s, 1H, ArH), 7.45 (s, 1H, ArH), 11.61 (s, 1H, NH).

3.5. General Procedure for the Synthesis of Aminophenyltriazolinones 6

A mixture of nitrophenyltriazolinone 5 (0.01 mol) and NH4Cl (0.55 g) in ethanol (25 mL) and water (3 mL) was refluxed for 0.5 h. Iron powder (1.68 g, 0.03 mol) was then added to the refluxing solution in several portions. The reaction was monitored by TLC until the starting material was consumed. The reaction mixture was filtrated through diatomite and washed with ethanol. The combined filtrate was concentrated to a half volume and the precipitate was collected to afford the product. 6a, X = F, yield, 75%. 1H-NMR (DMSO): δ 2.15 (s, 3H, CH3), 5.41(s, 2H, NH2), 6.89 (d, 1H, J = 7.2 Hz, ArH), 7.32 (d, 1H, J = 10.4 Hz, ArH), 11.68 (s, 1H, NH); 6b, X = Cl, yield, 84%, 1H-NMR (DMSO): δ 2.12 (s, 3H, CH3), 5.77 (s, 2H, NH2), 6.86 (s, 1H, ArH), 7.44 (s, 1H, ArH), 11.73 (s, 1H, NH).

3.6. General Procedure for the Synthesis of Compound 7

To a solution of compound 6 (0.01 mol) and triethylamine (0.03 mol) in CH2Cl2 (25 mL) was added dropwise the appropriate sulfonyl chloride (0.03 mol) at 0 °C. The reaction mixture was kept at 0 °C for a further 1.5 h and then washed with water. The combined organic phase was dried with NaSO4 and evaporated on a rotary evaporator. The residue was chromatographed on silica gel with ethyl acetate/petroleum ether (1:4) to give product 7 in a yield of 75%~85%.

3.7. General Procedure for the Preparation of Target Molecules 1

A mixture of the appropriate intermediate M (0.006 mol), compound 7 (0.005 mol) and anhydrous K2CO3 (0.015 mol) in DMF (20 mL) was stirred at room temperature until the reaction was complete according to TLC. The reaction mixture was poured into ice water (200 mL) and extracted with ethyl acetate. The combined organic phase was dried with NaSO4 and evaporated on a rotary evaporator. The residue was chromatographed on silica gel with ethyl acetate/petroleum ether (1:5) as eluent to give the target product.
(E)-methyl 2-(2-((1-(4-chloro-2-fluoro-5-(methylsulfonamido)phenyl)-3-methyl-5-oxo-1H-1,2,4-triazol-4(5H)-yl)methyl)phenyl)-3-methoxyacrylate (1a): 1H-NMR: δ 1.92 (s, 3H, CH3), 3.11 (s, 3H, SO2CH3), 3.64 (s, 3H, OCH3), 3.88 (s, 3H, OCH3), 4.69(s, 1H, CH2), 4.98 (s, 1H, CH2), 6.80 (s, 1H, NH), 7.26 (d, 1H, J = 7.2Hz, ArH), 7.31-7.35 (m, 4H, ArH), 7.58 (d, 1H, CH=), 7.91(d, 1H, J = 6.6 Hz, ArH). EI-MS (m/z) 524 [M]+. Anal. Calcd. for C22H22ClFN4O6S: C, 50.34, H, 4.22, N, 10.67. Found: C, 50.82, H, 4.35, N, 10.32.
(E)-methyl 2-(2-((1-(4-chloro-5-(ethylsulfonamido)-2-fluorophenyl)-3-methyl-5-oxo-1H-1,2,4-triazol-4(5H)-yl)methyl)phenyl)-3-methoxyacrylate (1b): 1H-NMR: δ 1.40 (t, 3H, J = 7.2 Hz, CH3), 1.92 (s, 3H, CH3), 3.22 (q, 2H, J = 7.2 Hz, CH2), 3.64 (s, 3H, CO2CH3), 3.88 (s, 3H, OCH3), 4.77 (s, 1H, CH2), 4.98 (s, 1H, CH2), 6.84 (s, 1H, NH), 7.17 (d, 1H, J = 7.2, ArH), 7.25-7.35 (m, 4H, ArH), 7.58 (d, 1H, CH=), 7.91 (d, 1H, J = 6.6Hz, ArH). EI-MS (m/z) 538 [M]+. Anal. Calcd. for C23H24ClFN4O6S: C, 51.25, H, 4.49, N, 10.40. Found: C, 51.27, H, 4.63, N, 10.06.
(E)-methyl 2-(2-((1-(4-chloro-2-fluoro-5-(phenylsulfonamido)phenyl)-3-methyl-5-oxo-1H-1,2,4-triazol-4(5H)-yl)methyl)phenyl)-3-methoxyacrylate (1c): 1H-NMR: δ 1.94 (s, 3H, CH3), 3.66 (s, 3H, CO2CH3), 3.89 (s, 3H, OCH3), 4.73 (s, 1H, CH2), 4.95 (s, 1H, CH2), 6.88 (s, 1H, NH), 7.12-8.01 (m, 12H, ArH, CH=). EI-MS (m/z) 587 [M]+. Anal. Calcd. for C27H24ClFN4O6S: C, 55.24, H, 4.12, N, 9.54. Found: C, 55.56, H, 4.36, N, 9.46.
(E)-methyl 2-(2-((1-(2,4-dichloro-5-(methylsulfonamido)phenyl)-3-methyl-5-oxo-1H-1,2,4-triazol-4(5H)-yl)methyl)phenyl)-3-methoxyacrylate (1d): 1H-NMR: δ 1.92 (s, 3H, CH3), 3.17 (s, 3H, CH3), 3.66 (s, 3H, CO2CH3), 3.88 (s, 3H, OCH3), 4.72, (s, 1H, CH2), 4.98 (s, 1H, CH2), 6.95 (s, 1H, NH), 7.58 (d, 1H, CH=), 7.17-7.40 (m, 6H, ArH), 7.85 (s, 1H, Ar); EI-MS (m/z) 541 [M]+; Anal. Calcd. for C22H22Cl2N4O6S: C, 48.81; H, 4.10; N, 10.35. Found: C, 49.12; H, 4.65; N, 9.94.
(E)-methyl 2-(2-((1-(2,4-dichloro-5-(ethylsulfonamido)phenyl)-3-methyl-5-oxo-1H-1,2,4-triazol-4(5H)-yl)methyl)phenyl)-3-methoxyacrylate (1e): 1H-NMR: δ 1.40 (t, 3H, J = 7.2 Hz, CH3), 1.91 (s, 3H, CH3), 3.22 (q, 2H, J = 7.2 Hz, CH2), 3.64 (s, 3H, CO2CH3), 3.88 (s, 3H, OCH3), 4.64, (s, 1H, CH2), 4.97 (s, 1H, CH2), 6.89 (s, 1H, NH), 7.17-7.59 (m, 6H, ArH), 7.87 (s, 1H, CH=); EI-MS (m/z) 555 [M]+; Anal. Calcd. for C23H24Cl2N4O6S: C, 49.74; H, 4.36; N, 10.09. Found: C, 49.95; H, 4.76; N, 9.91.
(E)-methyl 2-(2-((1-(2,4-dichloro-5-(phenylsulfonamido)phenyl)-3-methyl-5-oxo-1H-1,2,4-triazol-4(5H)-yl)methyl)phenyl)-3-methoxyacrylate (1f): 1H-NMR: δ 1.96 (s, 3H, CH3), 3.66 (s, 3H, CO2CH3), 3.88 (s, 3H, OCH3), 4.66, (s, 1H, CH2), 4.97 (s, 1H, CH2), 6.79 (s, 1H, NH), 7.17-8.09 (m, 12H, ArH, CH=); EI-MS (m/z) 603 [M]+; Anal. Calcd. for C27H24Cl2N4O6S: C, 53.74; H, 4.01; N, 9.28. Found: C, 54.06; H, 4.37; N, 9.12.
(E)-methyl 2-(2-((1-(4-chloro-2-fluoro-5-(methylsulfonamido)phenyl)-3-methyl-5-oxo-1H-1,2,4-triazol-4(5H)-yl)methyl)phenyl)-2-(methoxyimino)acetate (1g): 1H-NMR: δ 2.00 (s, 3H, CH3), 3.06 (s, 3H, CH3), 3.84 (s, 3H, CO2CH3), 4.07 (s, 3H, NOCH3), 4.77 (s, 2H, CH2), 6.74 (s, 1H, NH), 7.17-7.95 (m, 6H, ArH); EI-MS (m/z) 525 [M]+; Anal. Calcd. for C21H21ClFN5O6S: C, 47.96; H, 4.12; N, 13.32. Found: C, 47.63; H, 4.5; N, 13.17.
(E)-methyl 2-(2-((1-(4-chloro-2-fluoro-5-(phenylsulfonamido)phenyl)-3-methyl-5-oxo-1H-1,2,4-triazol-4(5H)-yl)methyl)phenyl)-2-(methoxyimino)acetate (1h): 1H-NMR: δ 2.16 (s, 3H, CH3), 3.87 (s, 3H, OCH3), 4.06 (s, 3H, NOCH3), 4.78 (s, 2H, CH2), 6.76 (s, 1H, NH), 7.17-8.03 (m, 11H, ArH); EI-MS (m/z) 588 [M]+; Anal. Calcd. for C26H23ClFN5O6S: C, 53.11; H, 3.94; N, 11.91. Found: C, 53.00; H, 4.04; N, 11.35.
(E)-methyl 2-(2-((1-(2,4-dichloro-5-(methylsulfonamido)phenyl)-3-methyl-5-oxo-1H-1,2,4-triazol-4(5H)-yl)methyl)phenyl)-2-(methoxyimino)acetate (1i): 1H-NMR: δ 1.99 (s, 3H, CH3), 3.08 (s, 3H, CH3), 3.84 (s, 3H, OCH3), 4.07 (s, 3H, NOCH3), 4.78 (s, 2H, CH2), 6.74 (s, 1H, NH), 7.17-7.95 (m, 6H, ArH); EI-MS (m/z) 542 [M]+; Anal. Calcd. for C21H21Cl2N5O6S: C, 46.50; H, 3.90; N, 12.91. Found: C, 46.17; H, 4.01.; N, 12.46.
(E)-methyl 2-(2-((1-(2,4-dichloro-5-(ethylsulfonamido)phenyl)-3-methyl-5-oxo-1H-1,2,4-triazol-4(5H)-yl)methyl)phenyl)-2-(methoxyimino)acetate (1j): 1H-NMR: δ 1.40 (t, 3H, J = 7.2 Hz, CH3), 2.01 (s, 3H, CH3), 3.22 (q, 2H, J = 7.2 Hz, CH2), 3.86 (s, 3H, OCH3), 4.08 (s, 3H, NOCH3), 4.77 (s, 2H, CH2), 6.89 (s, 1H, NH), 7.17-7.87 (m, 6H, ArH); EI-MS (m/z) 556 [M]+; Anal. Calcd. for C22H23Cl2N5O6S: C, 47.49; H, 4.17; N, 12.59. Found: C, 47.37; H, 4.47; N, 12.50.
(E)-methyl 2-(2-((1-(2,4-dichloro-5-(phenylsulfonamido)phenyl)-3-methyl-5-oxo-1H-1,2,4-triazol-4(5H)-yl)methyl)phenyl)-2-(methoxyimino)acetate (1k): 1H-NMR: δ 2.02 (s, 3H, CH3), 3.68 (s, 3H, OCH3), 3.98 (s, 3H, NOCH3), 4.77 (s, 2H, CH2), 6.75 (s, 1H, NH), 7.17-8.16 (m, 11H, ArH); EI-MS (m/z) 604 [M]+; Anal. Calcd. for C26H23Cl2N5O6S: C, 51.66; H, 3.84; N, 11.59. Found: C, 51.78; H, 4.05; N, 11.15.
methyl 2-((1-(4-chloro-2-fluoro-5-(methylsulfonamido)phenyl)-3-methyl-5-oxo-1H-1,2,4-triazol-4(5H)-yl)methyl)phenyl(methoxy)carbamate (1l): 1H-NMR: δ 2.18 (s, 3H, CH3), 3.105 (s, 1H, CH3), 3.76 (s, 3H, CO2CH3), 3.84 (s, 3H, NOCH3), 4.94 (s, 2H, CH2), 6.83 (s, 1H, NH), 7.17-7.91 (m, 6H, ArH); EI-MS (m/z) 514 [M]+; Anal. Calcd. for C20H21ClFN5O6S: C, 46.74; H, 4.12; N, 13.63. Found: C, 47.09; H, 4.41; N, 13.36.
methyl 2-((1-(4-chloro-5-(ethylsulfonamido)-2-fluorophenyl)-3-methyl-5-oxo-1H-1,2,4-triazol-4(5H)-yl)methyl)phenyl(methoxy)carbamate (1m): 1H-NMR: δ 1.40 (t, 3H, J = 7.2 Hz, CH3), 2.18 (s, 3H, CH3), 3.16 (q, 2H, J = 7.2 Hz, CH2), 3.76 (s, 3H, OCH3), 3.84 (s, 3H, NOCH3), 4.94 (s, 2H, CH2), 6.78 (s, 1H, NH), 7.17-7.95 (m, 6H, ArH); EI-MS (m/z) 528 [M]+; Anal. Calcd. for C21H23ClFN5O6S: C, 47.77; H, 4.39; N, 13.27. Found: C, 47.87; H, 4.63; N, 12.97.
methyl 2-((1-(4-chloro-2-fluoro-5-(phenylsulfonamido)phenyl)-3-methyl-5-oxo-1H-1,2,4-triazol-4(5H)-yl)methyl)phenyl(methoxy)carbamate (1n): 1H-NMR: δ 2.18 (s, 3H, CH3), 3.68 (s, 3H, OCH3), 3.86 (s, 3H, NOCH3), 4.95 (s, 2H, CH2), 6.78 (s, 1H, NH), 7.17-7.95 (m, 11H, ArH); EI-MS (m/z) 576 [M]+; Anal. Calcd. for C25H23ClFN5O6S: C, 52.13; H, 4.02; N, 12.16. Found: C, 52.32; H, 4.34; N, 12.01.
methyl 2-((1-(2,4-dichloro-5-(methylsulfonamido)phenyl)-3-methyl-5-oxo-1H-1,2,4-triazol-4(5H)-yl)methyl)phenyl(methoxy)carbamate (1o): 1H-NMR: δ 2.18 (s, 3H, CH3), 3.69 (s, 3H, OCH3), 3.84 (s, 3H, NOCH3), 4.95 (s, 2H, CH2), 7.05 (s, 1H, NH), 7.17-7.84 (m, 6H, ArH); EI-MS (m/z) 530 [M]+; Anal. Calcd. for C20H21Cl2N5O6S: C, 45.29; H, 3.99; N, 13.20. Found: C, 45.53; H, 4.25; N, 12.94.
methyl 2-((1-(2,4-dichloro-5-(ethylsulfonamido)phenyl)-3-methyl-5-oxo-1H-1,2,4-triazol-4(5H)-yl)methyl)phenyl(methoxy)carbamate (1p): 1H-NMR: δ 1.40 (t, 3H, J = 7.2 Hz, CH3), 2.08 (s, 3H, CH3), 3.19 (q, 2H, J = 7.2 Hz, CH2), 3.68 (s, 3H, OCH3), 3.87 (s, 3H, NOCH3), 6.74 (s, 1H, NH), 7.17-7.95 (m, 6H, ArH); EI-MS (m/z) 544 [M]+; Anal. Calcd. for C21H23Cl2N5O6S: C, 46.33; H, 4.26; N, 12.86.Found: C, 46.59; H, 4.62; N, 12.49.
methyl 2-((1-(2,4-dichloro-5-(phenylsulfonamido)phenyl)-3-methyl-5-oxo-1H-1,2,4-triazol-4(5H)-yl)methyl)phenyl(methoxy)carbamate (1q): 1H-NMR: δ 2.18 (s, 3H, CH3), 3.78 (s, 3H, OCH3), 3.98 (s, 3H, NOCH3), 4.97 (s, 2H, CH2), 6.84 (s, 1H, NH), 7.17-8.02 (m, 11H, ArH); EI-MS (m/z) 592 [M]+; Anal. Calcd. for C25H23Cl2N5O6S: C, 50.68; H, 3.91; N, 11.82. Found: C, 50.91; H, 3.97; N, 11.46.

Acknowledgements

We thank the financial support from the National Nature Science Foundation of China (No. 21002038) and the self-determined research funds of CCNU from the colleges’ basic research and operation of MOE (No. CCNU09A01014).

References

  1. Kulkarni, S.V.; Desai, V.C.; Prasad, V.A.; Rivadeneira, E.; Jelich, K.A. A progress for the manufacture substituted triazolinoes. Eur. Pat. 1,113,010, 2001. [Google Scholar]
  2. Schmitzer, P.R.; Graupner, P.R.; Chapin, E.L.; Fields, S.C.; Gilbert, J.R.; Gray, J.A.; Peacock, C.L.; Gerwick, B.C. Ribofuranosyl triazolone: a natural product herbicide with activity on adenylosuccinate synthetase following phosphorylation. J. Nat. Prod. 2000, 63, 777–781. [Google Scholar] [CrossRef]
  3. Brown, R.J.; Sun, K.M.; Frasier, D.A. Dihydrotriazole compounds and their use for controlling fungal plant diseases. US Pat. 5,977,149, 1999. [Google Scholar]
  4. Watanabe, Y.; Usui, H.; Kobayashi, S.; Yoshiwara, H.; Shibano, T.; Tanaka, T.; Morishima, Y.; Yasuoka, M.; Kanao, M. Syntheses and 5-HT2 antagonist activity of bicyclic 1,2,4-triazol-3(2H)-one and 1,3,5-triazine-2,4(3H)-dione derivatives. J. Med. Chem. 1992, 35, 189–194. [Google Scholar] [CrossRef]
  5. Xu, Y.; Mayhugh, D.; Saeed, A.; Wang, X.; Thompson, R.C.; Dominianni, S.J.; Kauffman, R.F.; Singh, J.; Bean, J.S.; Bensch, W.R.; Barr, R.J.; Osborne, J.; Montrose-Rafizadeh, C.; Zink, R.W.; Yumibe, N.P.; Huang, N.; Luffer-Atlas, D.; Rungta, D.; Maise, D.E.; Mantlo, N.B. Design and synthesis of a potent and selective triazolone-based peroxisome proliferator-activated receptor alpha agonist. J. Med. Chem. 2003, 46, 5121–5124. [Google Scholar]
  6. Patil, B.S.; Krishnamurthy, G.; BhojyaNaik, H.S.; Latthe, P.R.; Ghate, M. Synthesis, characterization and antimicrobial studies of 2-(4-methoxy-phenyl)-5-methyl-4-(2-arylsulfanyl-ethyl)-2,4-dihydro-[1,2,4]triazolo-3-ones and their corresponding sulfones. Eur. J. Med. Chem. 2010, 45, 3329–3334. [Google Scholar] [CrossRef]
  7. Cowden, C.J.; Wilson, R.D.; Bishop, B.C.; Cottrell, I.F.; Davies, A.J.; Dolling, U.H. A new synthesis of 1,2,4-triazolin-5-ones: application to the convergent synthesis of an NK1 antagonist. Tetrahedron Lett. 2000, 41, 8661–8864. [Google Scholar] [CrossRef]
  8. Chang, L.L.; Ashton, W.T.; Flanagan, K.L.; Chen, T.B.; O'Malley, S.S.; Zingaro, G.J.; Siegl, P.K.S.; Kivlighn, S.D.; Lotti, V.J. Triazolinone biphenylsulfonamides as angiotensin II receptor antagonists with high affinity for both the AT1 and AT2 subtypes. J. Med. Chem. 1994, 37, 4464–4478. [Google Scholar] [CrossRef]
  9. Wolf, A.D. Substituierte bicyclesche triazole und diese enthaltende zusammensetzungen. DE Pat. 1978. 2,801,429. [Google Scholar]
  10. Theodoridis, G. Herbicidal aryl triazolinones. US Pat. 4,818,275, 1989. [Google Scholar]
  11. Meazza, G.; Bettarini, F.; La Porta, P.; Piccardi, P.; Signorini, E.; Portoso, D.; Fornara, L. Synthesis and herbicidal activity of novel heterocyclic protoporphyrinogen oxidase inhibitors. Pest Manag. Sci. 2004, 60, 1178–1188. [Google Scholar] [CrossRef]
  12. Hiraki, M.; Ohki, S.; Sato, Y.; Jablonkai, I.; Boger, P.; Wakaba-yashi, K. Protoporphyrinogen-IX Oxidase Inhibitors: Bioactivation of Thiadiazolidines. Pestic. Biochem. Phys. 2001, 70, 159–167. [Google Scholar] [CrossRef]
  13. Zhang, L.; Wan, J.; Yang, G.F. A DFT-based QSARs study of protoporphyrinogen oxidase inhibitors: phenyl triazolinones. Bioorg. Med. Chem. 2004, 12, 6183–6191. [Google Scholar] [CrossRef]
  14. Theodoridis, G.; Bahr, J.T.; Hotzman, F.W.; Sehgel, S.; Suarez, D.P. New generation of protox-inhibiting herbicides. Crop Protect. 2000, 19, 533–535. [Google Scholar] [CrossRef]
  15. Dayan, F.E.; Green, H.M.; Weete, J.D.; Hancock, H.G. Postemergence activity of sulfentrazone: Effects of surfactants and leaf surfaces. Weed Sci. 1996, 44, 797–803. [Google Scholar]
  16. Dayan, F.E.; Duke, S.O.; Weete, J.D.; Hancock, H.G. Selectivity and mode of action of carfentrazone-ethyl, a novel phenyl triazolinone herbicide. Pestic. Sci. 1997, 51, 65–73. [Google Scholar] [CrossRef]
  17. Dayan, F.E.; Duke, S.O. Phytotoxicity of protoporphyrinogen oxidase inhibitors: Phenomenology, mode of action and mechanisms of resistance. In Herbicide Activity: Toxicology, Biochemistry and Molecular Biology; Roe, R.M., Burton, J.D., Kuhr, R.J., Eds.; IOS Press: Washington, DC, USA, 1997; pp. 11–35. [Google Scholar]
  18. Dayan, F.E.; Duke, S.O. Protoporphyrinogen oxidase-inhibiting herbicides. In Haye's Handbook of Pesticide Toxicology, 3rd; Krieger, R., Doull, J., Hodgson, E., Maibach, H., Reiter, L., Ritter, L., Ross, J., Slikker, W.J., Van Hemmen, J., Eds.; Academic Press-Elsevier: San Diego, CA, USA, 2010; pp. 1733–1751. [Google Scholar]
  19. Patzoldt, W.L.; Hager, A.G.; McCormick, J.S.; Tranel, P.J. A codon deletion confers resistance to herbicides inhibiting protoporphyrinogen oxidase. Proc. Nat. Acad. Sci. USA 2006, 103, 12329–12334. [Google Scholar]
  20. Dayan, F.E.; Daga, P.R.; Duke, S.O.; Lee, R.M.; Tranel, P.J.; Doerksen, R.J. Biochemical and structural consequences of a glycine deletion in the α-8 helix of protoporphyrinogen oxidase. Biochim. Biophys. Acta 2010, 1804, 1548–1556. [Google Scholar] [CrossRef]
  21. Shapiro, R.; DiCosimo, R.; Hennessey, S.M.; Stieglitz, B.; Campopiano, O.; Chiang, G.C. Discovery and development of a commercial synthesis of azafenidin. Org. Process Res. Dev. 2001, 5, 593–598. [Google Scholar] [CrossRef]
  22. Sauter, H.; Steglich, W.; Anke, T. Strobilurins: Evolution of a new class of active substances. Angew. Chem. Int. Ed. 1999, 38, 1328–1349. [Google Scholar] [CrossRef]
  23. Li, M.; Liu, C.L.; Yang, J.C.; Zhang, J.B.; Li, Z.N.; Z, H.; Li, Z.M. Synthesis and biological activity of new (E)-alpha-(Methoxyimino)benzeneacetate derivatives containing a substituted pyrazole ring. J. Agric. Food Chem. 2010, 58, 2664–2667. [Google Scholar]
  24. Zhao, P.L.; Liu, C.L.; H, W.; Wang, Y.Z.; Yang, G.F. Synthesis and fungicidal evaluation of novel chalcone-based strobilurin analogues. J. Agric. Food Chem. 2007, 55, 5697–5700. [Google Scholar] [CrossRef]
  25. Luo, Y.P.; Jiang, L.L.; Wang, G.D.; Chen, Q.; Yang, G.F. Syntheses and herbicidal activities of novel triazolinone derivatives. J. Agric. Food Chem. 2008, 56, 2118–2124. [Google Scholar]
  26. Li, Y.; Zhang, H.Q.; Liu, J.; Yang, X.P.; Liu, Z.J. Stereoselective synthesis and antifungal activities of (E)-alpha-(methoxyimino)benzeneacetate derivatives containing 1,3,5-substituted pyrazole ring. J. Agric. Food Chem. 2006, 54, 3636–3640. [Google Scholar] [CrossRef]
  27. Beautement, K.; Clough, J.M.; de Fraine, P.J.; Godfrey, C.R.A. Fungicidal β-methoxyacrylates: From natural products to novel synthetic agricultural fungicides. Pestic. Sci. 1991, 31, 499–519. [Google Scholar] [CrossRef]
  28. Li, Y.X.; Luo, Y.P.; Xi, Z.; Niu, C.W.; He, Y.Z.; Yang, G.F. Design and syntheses of novel phthalazin-1(2H)-one derivatives as acetohydroxyacid synthase inhibitors. J. Agric. Food Chem. 2006, 54, 9135–9139. [Google Scholar] [CrossRef]
  29. Weckbecker, C.; Drauz, K. Process for the preparation of triazolinone herbicides. US Pat. 5,856,495, 1999. [Google Scholar]

Share and Cite

MDPI and ACS Style

Wu, Q.; Wang, G.; Huang, S.; Lin, L.; Yang, G. Synthesis and Biological Activity of Novel Phenyltriazolinone Derivatives. Molecules 2010, 15, 9024-9034. https://doi.org/10.3390/molecules15129024

AMA Style

Wu Q, Wang G, Huang S, Lin L, Yang G. Synthesis and Biological Activity of Novel Phenyltriazolinone Derivatives. Molecules. 2010; 15(12):9024-9034. https://doi.org/10.3390/molecules15129024

Chicago/Turabian Style

Wu, Qiongyou, Guodong Wang, Shaowei Huang, Long Lin, and Guangfu Yang. 2010. "Synthesis and Biological Activity of Novel Phenyltriazolinone Derivatives" Molecules 15, no. 12: 9024-9034. https://doi.org/10.3390/molecules15129024

APA Style

Wu, Q., Wang, G., Huang, S., Lin, L., & Yang, G. (2010). Synthesis and Biological Activity of Novel Phenyltriazolinone Derivatives. Molecules, 15(12), 9024-9034. https://doi.org/10.3390/molecules15129024

Article Metrics

Back to TopTop