Novel Biomarkers in Patients with Chronic Kidney Disease: An Analysis of Patients Enrolled in the GCKD-Study
Abstract
1. Introduction
2. Materials and Methods
2.1. Study Population
2.2. Blood Samples and Biomarker Analysis
2.3. Statistical Analysis
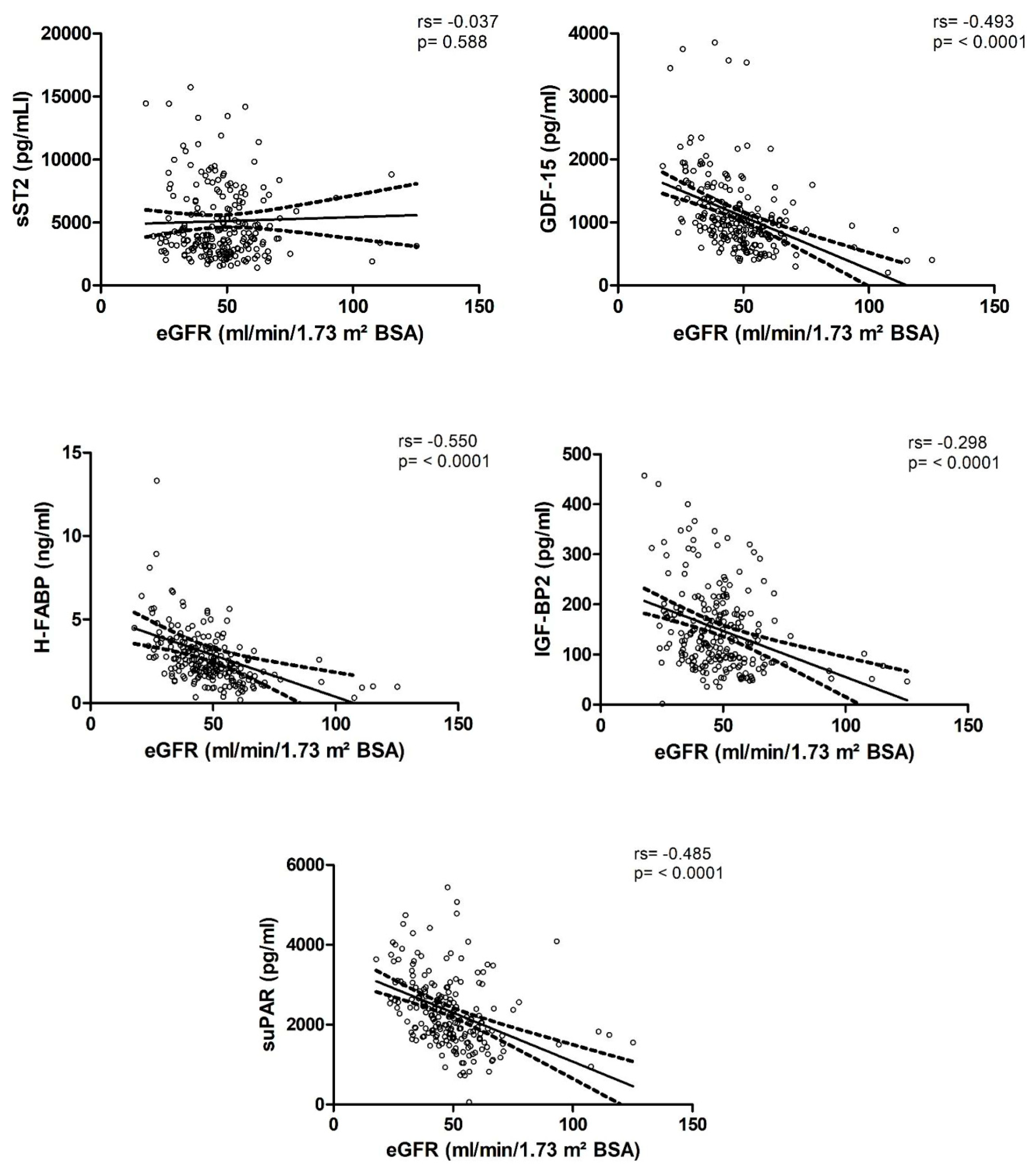
3. Results
3.1. Renal Function and Causes of Renal Disease
3.2. Biomarker Concentrations
3.3. Correlation Analyses and Multiple Linear Regression Analyses
3.4. Biomarker Concentrations in Patients with Albuminuria
4. Discussion
5. Conclusions
6. Limitations
Supplementary Materials
Author Contributions
Funding
Acknowledgments
Conflicts of Interest
Appendix A
| eGFR <30 mL/min/1.73 m² | eGFR 30–44 mL/min/1.73 m² | eGFR 45–59 mL/min/1.73 m² | eGFR 60–89 mL/min/1.73 m² | |||||
| Biomarker | median | IQR | median | IQR | median | IQR | median | IQR |
| sST2 (pg/mL) | 3998 | 3262–7949 | 3612 | 2997–5689 | 4167 | 2643–6620 | 3731 | 2660–6098 |
| GDF-15 (pg/mL) | 1816 | 1420–2139 | 1086 | 883.4–1567 | 843.8 | 602.5–1064 | 929.7 | 683.0–1084 |
| H-FABP (ng/mL) | 4.4 | 3.5–6.2 | 2.9 | 2.1–3.7 | 2.2 | 1.8–3.0 | 1.4 | 1.0–1.9 |
| IGF-BP2 (ng/mL) | 177.8 | 127.5–309.0 | 135.4 | 94.9–198.8 | 126.0 | 91.3–182.5 | 122.6 | 79.0–171.4 |
| suPAR (pg/mL) | 3342 | 2618–3977 | 2443 | 1936–2921 | 1898 | 1537–2382 | 1811 | 1422–2442 |
| eGFR ≥ 90 mL/min/1.73 m² | total cohort | |||||||
| median | IQR | median | IQR | p-value | ||||
| 5170 | 2820–11,952 | 3870 | 2898–6641 | 0.788 | ||||
| 506.3 | 348.3–896.4 | 975.4 | 745.5–1316 | <0.0001 | ||||
| 1.0 | 0.8–1.6 | 2.4 | 1.6–3.4 | <0.0001 | ||||
| 59.9 | 50.2–83.6 | 127 | 87.7–188.1 | 0.001 | ||||
| 1648 | 1364–2393 | 2153 | 1694–2801 | <0.0001 | ||||
| Dependent Variable: eGFR | Dependent Variable: UACR | ||||||||
|---|---|---|---|---|---|---|---|---|---|
| Adjustment for: Age, Gender, BMI, Hypertension, Diabetes | Adjustment for: Age, Gender, BMI, Hypertension, Diabetes | ||||||||
| Biomarker | r | Std. Error | 95% CI | p-Value | Biomarker | r | Std. Error | 95% CI | p-Value |
| sST2 (pg/mL) | 0.000 | 0.000 | 0.000–0.001 | 0.643 | sST2 (pg/mL) | 0.031 | 0.011 | 0.008–0.053 | 0.007 |
| GDF-15 (pg/mL) | −0.010 | 0.002 | −0.013–(−0.007) | <0.0001 | GDF-15 (pg/mL) | 0.179 | 0.071 | 0.040–0.319 | 0.012 |
| H-FABP (ng/mL) | −1.187 | 0.321 | −1.820–(−0.555) | <0.0001 | H-FABP (ng/mL) | 17.542 | 12.923 | −7.938–43.02 | 0.176 |
| IGF-BP2 (ng/mL) | −0.064 | 0.012 | −0.087–(−0.041) | <0.0001 | IGF-BP2 (ng/mL) | 2.086 | 0.464 | 1.170–3.001 | <0.0001 |
| suPAR (pg/mL) | −0.006 | 0.001 | −0.008–(−0.004) | <0.0001 | suPAR (pg/mL) | 0.084 | 0.045 | −0.004–0.171 | 0.062 |
References
- Levey, A.S.; Coresh, J. Chronic kidney disease. Lancet 2012, 379, 165–180. [Google Scholar] [CrossRef]
- Ardhanari, S.; Alpert, M.A.; Aggarwal, K. Cardiovascular disease in chronic kidney disease: Risk factors, pathogenesis, and prevention. Adv. Perit. Dial. 2014, 30, 40–53. [Google Scholar]
- Di Lullo, L.; House, A.; Gorini, A.; Santoboni, A.; Russo, D.; Ronco, C. Chronic kidney disease and cardiovascular complications. Heart Fail. Rev. 2015, 20, 259–272. [Google Scholar] [CrossRef] [PubMed]
- Suckling, R.; Gallagher, H. Chronic kidney disease, diabetes mellitus and cardiovascular disease: Risks and commonalities. J. Ren. Care 2012, 38, 4–11. [Google Scholar] [CrossRef] [PubMed]
- Kanderian, A.S.; Francis, G.S. Cardiac troponins and chronic kidney disease. Kidney Int. 2006, 69, 1112–1114. [Google Scholar] [CrossRef]
- Stacy, S.R.; Suarez-Cuervo, C.; Berger, Z.; Wilson, L.M.; Yeh, H.-C.; Bass, E.B.; Michos, E.D. Role of Troponin in Patients With Chronic Kidney Disease and Suspected Acute Coronary Syndrome. Ann. Intern. Med. 2014, 161, 502–512. [Google Scholar] [CrossRef]
- Takase, H.; Dohi, Y. Kidney function crucially affects B-type natriuretic peptide (BNP), N-terminal proBNP and their relationship. Eur. J. Clin. Investig. 2014, 44, 303–308. [Google Scholar] [CrossRef]
- Universal Protein Resource (UniProt). Interleukin-1 Receptor-Like 1. Available online: https://www.uniprot.org/uniprot/Q01638#structure (accessed on 6 March 2020).
- Dieplinger, B.; Januzzi, J.L.; Steinmair, M.; Gabriel, C.; Poelz, W.; Haltmayer, M.; Mueller, T. Analytical and clinical evaluation of a novel high-sensitivity assay for measurement of soluble ST2 in human plasma—The PresageTM ST2 assay. Clin. Chim. Acta 2009, 409, 33–40. [Google Scholar] [CrossRef]
- Mueller, T.; Dieplinger, B. Soluble ST2 and Galectin-3: What We Know and Don’t Know Analytically. EJIFCC 2016, 27, 224–237. [Google Scholar]
- Bhardwaj, A.; Januzzi, J.L., Jr. ST2: A novel biomarker for heart failure. Expert Rev. Mol. Diagn. 2010, 10, 459–464. [Google Scholar] [CrossRef]
- Dieplinger, B.; Egger, M.; Haltmayer, M.; Kleber, M.E.; Scharnagl, H.; Silbernagel, G.; de Boer, R.A.; Maerz, W.; Mueller, T. Increased Soluble ST2 Predicts Long-term Mortality in Patients with Stable Coronary Artery Disease: Results from the Ludwigshafen Risk and Cardiovascular Health Study. Clin. Chem. 2014, 60, 530–540. [Google Scholar] [CrossRef] [PubMed]
- Savic-Radojevic, A.; Pljesa-Ercegovac, M.; Matic, M.; Simic, D.; Radovanovic, S.; Simic, T. Novel Biomarkers of Heart Failure. In Advances in Clinical Chemistry; Elsevier: Amsterdam, The Netherlands, 2017; Volume 79, pp. 93–152. [Google Scholar]
- Universal Protein Resource (UniProt). Growth/Differentiation Factor 15. Available online: https://www.uniprot.org/uniprot/Q99988 (accessed on 6 March 2020).
- Liu, X.; Chi, X.; Gong, Q.; Gao, L.; Niu, Y.; Chi, X.; Cheng, M.; Si, Y.; Wang, M.; Zhong, J.; et al. Association of serum level of growth differentiation factor 15 with liver cirrhosis and hepatocellular carcinoma. PLoS ONE 2015, 10, e0127518. [Google Scholar] [CrossRef] [PubMed]
- George, M.; Jena, A.; Srivatsan, V.; Muthukumar, R.; Dhandapani, V.E. GDF 15—A Novel Biomarker in the Offing for Heart Failure. Curr. Cardiol. Rev. 2016, 12, 37–46. [Google Scholar] [CrossRef] [PubMed]
- Zeng, X.; Li, L.; Wen, H.; Bi, Q. Growth-differentiation factor 15 as a predictor of mortality in patients with heart failure. J. Cardiovasc. Med. 2017, 18, 53–59. [Google Scholar] [CrossRef] [PubMed]
- Wollert, K.C.; Kempf, T. Growth Differentiation Factor 15 in Heart Failure: An Update. Curr. Heart Fail. Rep. 2012, 9, 337–345. [Google Scholar] [CrossRef]
- Zhang, S.; Dai, D.; Wang, X.; Zhu, H.; Jin, H.; Zhao, R.; Jiang, L.; Lu, Q.; Yi, F.; Wan, X.; et al. Growth differentiation factor—15 predicts the prognoses of patients with acute coronary syndrome: A meta-analysis. BMC Cardiovasc. Disord. 2016, 16, 82. [Google Scholar] [CrossRef]
- Nair, V.; Robinson-Cohen, C.; Smith, M.R.; Bellovich, K.A.; Bhat, Z.Y.; Bobadilla, M.; Brosius, F.; de Boer, I.H.; Essioux, L.; Formentini, I.; et al. Growth Differentiation Factor-15 and Risk of CKD Progression. J. Am. Soc. Nephrol. 2017, 28, 2233–2240. [Google Scholar] [CrossRef]
- Universal Protein Resource (UniProt). Fatty Acid-Binding Protein, Heart. Available online: https://www.uniprot.org/uniprot/P05413 (accessed on 6 March 2020).
- Ishimura, S.; Furuhashi, M.; Watanabe, Y.; Hoshina, K.; Fuseya, T.; Mita, T.; Okazaki, Y.; Koyama, M.; Tanaka, M.; Akasaka, H.; et al. Circulating levels of fatty acid-binding protein family and metabolic phenotype in the general population. PLoS ONE 2013, 8, e81318. [Google Scholar] [CrossRef]
- Kakoti, A.; Goswami, P. Heart type fatty acid binding protein: Structure, function and biosensing applications for early detection of myocardial infarction. Biosens. Bioelectron. 2013, 43, 400–411. [Google Scholar] [CrossRef]
- Colli, A.; Josa, M.; Pomar, J.L.; Mestres, C.A.; Gherli, T. Heart Fatty Acid Binding Protein in the Diagnosis of Myocardial Infarction: Where Do We Stand Today? Cardiology 2007, 108, 4–10. [Google Scholar] [CrossRef]
- Otaki, Y.; Watanabe, T.; Kubota, I. Heart-type fatty acid-binding protein in cardiovascular disease: A systemic review. Clin. Chim. Acta 2017, 474, 44–53. [Google Scholar] [CrossRef] [PubMed]
- Boscheri, A.; Wunderlich, C.; Langer, M.; Schoen, S.; Wiedemann, B.; Stolte, D.; Elmer, G.; Barthel, P.; Strasser, R.H. Correlation of heart-type fatty acid-binding protein with mortality and echocardiographic data in patients with pulmonary embolism at intermediate risk. Am. Heart J. 2010, 160, 294–300. [Google Scholar] [CrossRef]
- Niizeki, T.; Takeishi, Y.; Arimoto, T.; Nozaki, N. Persistently Increased Serum Concentration of Heart-Type Fatty Acid-Binding Protein Predicts Adverse Clinical Outcomes in Patients with Chronic Heart Failure. Cric. J. 2008, 72, 109–114. [Google Scholar] [CrossRef] [PubMed]
- Universal Protein Resource (UniProt). Insulin-Like Growth Factor-Binding Protein 2. Available online: https://www.uniprot.org/uniprot/P18065 (accessed on 6 March 2020).
- Kendrick, Z.W.; Firpo, M.A.; Repko, R.C.; Scaife, C.L.; Adler, D.G.; Boucher, K.M.; Mulvihill, S.J. Serum IGFBP2 and MSLN as diagnostic and prognostic biomarkers for pancreatic cancer. HPB 2014, 16, 670–676. [Google Scholar] [CrossRef]
- Hoeflich, A.; Russo, V.C. Physiology and pathophysiology of IGFBP-1 and IGFBP-2—Consensus and dissent on metabolic control and malignant potential. Best Pract. Res. Clin. Endocrinol. Metab. 2015, 29, 685–700. [Google Scholar] [CrossRef] [PubMed]
- Rajpathak, S.N.; He, M.; Sun, Q.; Kaplan, R.C.; Muzumdar, R.; Rohan, T.E.; Gunter, M.J.; Pollak, M.; Kim, M.; Pessin, J.E.; et al. Insulin-like growth factor axis and risk of type 2 diabetes in women. Diabetes 2012, 61, 2248–2254. [Google Scholar] [CrossRef]
- Heald, A.; Kaushal, K.; Siddals, K.; Rudenski, A.; Anderson, S.; Gibson, J. Insulin-like Growth Factor Binding Protein-2 (IGFBP-2) is a Marker for the Metabolic Syndrome. Exp. Clin. Endocrinol. Diabetes 2006, 114, 371–376. [Google Scholar] [CrossRef]
- Vasylyeva, T.L.; Ferry, R.J. Novel roles of the IGF–IGFBP axis in etiopathophysiology of diabetic nephropathy. Diabetes Res. Clin. Pract. 2007, 76, 177–186. [Google Scholar] [CrossRef]
- Hoeflich, A.; David, R.; Hjortebjerg, R. Current IGFBP-Related Biomarker Research in Cardiovascular Disease-We Need More Structural and Functional Information in Clinical Studies. Front. Endocrinol. 2018, 9, 388. [Google Scholar] [CrossRef]
- Martin, R.M.; Gunnell, D.; Whitley, E.; Nicolaides, A.; Griffin, M.; Georgiou, N.; Davey Smith, G.; Ebrahim, S.; Holly, J.M.P. Associations of Insulin-Like Growth Factor (IGF)-I, IGF-II, IGF Binding Protein (IGFBP)-2 and IGFBP-3 with Ultrasound Measures of Atherosclerosis and Plaque Stability in an Older Adult Population. J. Clin. Endocrinol. Metab. 2008, 93, 1331–1338. [Google Scholar] [CrossRef][Green Version]
- Universal Protein Resource (UniProt). Urokinase Plasminogen Activator Surface Receptor. Available online: https://www.uniprot.org/uniprot/Q03405 (accessed on 6 March 2020).
- Chew-Harris, J.; Appleby, S.; Richards, A.M.; Troughton, R.W.; Pemberton, C.J. Analytical, biochemical and clearance considerations of soluble urokinase plasminogen activator receptor (suPAR) in healthy individuals. Clin. Biochem. 2019, 69, 36–44. [Google Scholar] [CrossRef] [PubMed]
- Huai, Q.; Mazar, A.P.; Kuo, A.; Parry, G.C.; Shaw, D.E.; Callahan, J.; Li, Y.; Yuan, C.; Bian, C.; Chen, L.; et al. Structure of human urokinase plasminogen activator in complex with its receptor. Science 2006, 311, 656–659. [Google Scholar] [CrossRef] [PubMed]
- Eapen, D.J.; Manocha, P.; Ghasemzadeh, N.; Patel, R.S.; Al Kassem, H.; Hammadah, M.; Hammadah, M.; Veledar, E.; Le, N.-A.; Pielak, T.; et al. Soluble Urokinase Plasminogen Activator Receptor Level Is an Independent Predictor of the Presence and Severity of Coronary Artery Disease and of Future Adverse Events. J. Am. Heart Assoc. 2014, 3, e001118. [Google Scholar] [CrossRef] [PubMed]
- Hayek, S.S.; Sever, S.; Ko, Y.A.; Trachtman, H.; Awad, M.; Wadhwani, S.; Altintas, M.M.; Wei, C.; Hotton, A.L.; French, A.L.; et al. Soluble Urokinase Receptor and Chronic Kidney Disease. N. Engl. J. Med. 2015, 373, 1916–1925. [Google Scholar] [CrossRef]
- Skorecki, K.L.; Freedman, B.I. A suPAR Biomarker for Chronic Kidney Disease. N. Engl. J. Med. 2015, 373, 1971–1972. [Google Scholar] [CrossRef]
- Wei, C.; Trachtman, H.; Li, J.; Dong, C.; Friedman, A.L.; Gassman, J.J.; McMahan, J.L.; Radeva, M.; Heil, K.M.; Trautmann, A.; et al. Circulating suPAR in Two Cohorts of Primary FSGS. J. Am. Soc. Nephrol. 2012, 23, 2051–2059. [Google Scholar] [CrossRef]
- Lee, J.M.; Yang, J.W.; Kronbichler, A.; Eisenhut, M.; Kim, G.; Lee, K.H.; Shin, J.I. Increased Serum Soluble Urokinase-Type Plasminogen Activator Receptor (suPAR) Levels in FSGS: A Meta-Analysis. J. Immunol. Res. 2019, 2019, 1–11. [Google Scholar] [CrossRef]
- Eckardt, K.U.; Bärthlein, B.; Baid-Agrawal, S.; Beck, A.; Busch, M.; Eitner, F.; Ekici, A.B.; Floege, J.; Gefeller, O.; Haller, H.; et al. The German Chronic Kidney Disease (GCKD) study: Design and methods. Nephrol. Dial. Transplant. 2012, 27, 1454–1460. [Google Scholar] [CrossRef]
- Titze, S.; Schmid, M.; Köttgen, A.; Busch, M.; Floege, J.; Wanner, C.; Kronenberg, F.; Eckardt, K.U.; Titze, S.; Prokosch, H.U.; et al. Disease burden and risk profile in referred patients with moderate chronic kidney disease: Composition of the German Chronic Kidney Disease (GCKD) cohort. Nephrol. Dial. Transplant. 2015, 30, 441–451. [Google Scholar] [CrossRef]
- Levey, A.S.; Greene, T.; Beck, G.J.; Caggiula, A.W.; Kusek, J.W.; Hunsicker, L.G.; Klahr, S. Dietary protein restriction and the progression of chronic renal disease: What have all of the results of the MDRD study shown? Modification of Diet in Renal Disease Study group. J. Am. Soc. Nephrol. 1999, 10, 2426–2439. [Google Scholar]
- Beck, H.; Titze, S.I.; Hübner, S.; Busch, M.; Schlieper, G.; Schultheiss, U.T.; Wanner, C.; Kronenberg, F.; Krane, V.; Eckardt, K.-U.; et al. Heart Failure in a Cohort of Patients with Chronic Kidney Disease: The GCKD Study. PLoS ONE 2015, 10, e0122552. [Google Scholar]
- Wheeler, D.C.; Winkelmayer, W.C.; Kidney Disease: Improving Global Outcomes (KDIGO) CKD-MBD Update Work Group. KDIGO 2017 Clinical Practice Guideline Update for the Diagnosis, Evaluation, Prevention, and Treatment of Chronic Kidney Disease–Mineral and Bone Disorder (CKD-MBD). Kidney Int. Suppl. 2017, 7, 1–59. [Google Scholar]
- Eriksson, H.; Caidahl, K.; Larsson, B.; Ohlson, L.O.; Welin, L.; Wilhelmsen, L.; Svärdsudd, K. Cardiac and pulmonary causes of dyspnea—Validation of a scoring test for clinical-epidemiological use: The Study of Men Born in 1913. Eur. Heart J. 1987, 8, 1007–1014. [Google Scholar] [CrossRef]
- Herzog, C.A.; Asinger, R.W.; Berger, A.K.; Charytan, D.M.; Díez, J.; Hart, R.G.; Eckardt, K.-U.; Kasiske, B.L.; McCullough, P.A.; Passman, R.S.; et al. Cardiovascular disease in chronic kidney disease. A clinical update from Kidney Disease: Improving Global Outcomes (KDIGO). Kidney Int. 2011, 80, 572–586. [Google Scholar] [CrossRef]
- Thongprayoon, C.; Kaewput, W.; Thamcharoen, N.; Bathini, T.; Watthanasuntorn, K.; Salim, S.A.; Ungprasert, P.; Lertjitbanjong, P.; Aeddula, N.R.; Torres-Ortiz, A.; et al. Acute Kidney Injury in Patients Undergoing Total Hip Arthroplasty: A Systematic Review and Meta-Analysis. J. Clin. Med. 2019, 8, 66. [Google Scholar] [CrossRef]
- Thongprayoon, C.; Kaewput, W.; Thamcharoen, N.; Bathini, T.; Watthanasuntorn, K.; Lertjitbanjong, P.; Sharma, K.; Salim, S.A.; Ungprasert, P.; Wijarnpreecha, K.; et al. Incidence and Impact of Acute Kidney Injury after Liver Transplantation: A Meta-Analysis. J. Clin. Med. 2019, 8, 372. [Google Scholar] [CrossRef] [PubMed]
- Salim, S.A.; Zsom, L.; Cheungpasitporn, W.; Fülöp, T. Benefits, challenges, and opportunities using home hemodialysis with a focus on Mississippi, a rural southern state. Semin. Dial. 2019, 32, 80–84. [Google Scholar] [CrossRef] [PubMed]
- Shulman, N.B.; Ford, C.E.; Hall, W.D.; Blaufox, M.D.; Simon, D.; Langford, H.G.; Schneider, K.A. Prognostic value of serum creatinine and effect of treatment of hypertension on renal function. Results from the hypertension detection and follow-up program. The Hypertension Detection and Follow-up Program Cooperative Group. Hypertension 1989, 13, I80–I93. [Google Scholar] [CrossRef] [PubMed]
- Foley, R.N.; Parfrey, P.S.; Sarnak, M.J. Epidemiology of cardiovascular disease in chronic renal disease. J. Am. Soc. Nephrol. 1998, 9, S16–S23. [Google Scholar] [CrossRef]
- Go, A.S.; Chertow, G.M.; Fan, D.; McCulloch, C.E.; Hsu, C. Chronic Kidney Disease and the Risks of Death, Cardiovascular Events, and Hospitalization. N. Engl. J. Med. 2004, 351, 1296–1305. [Google Scholar] [CrossRef]
- Sarnak, M.J.; Levey, A.S.; Schoolwerth, A.C.; Coresh, J.; Culleton, B.; Hamm, L.L.; McCullough, P.A.; Kasiske, B.L.; Kelepouris, E.; Klag, M.J.; et al. Kidney Disease as a Risk Factor for Development of Cardiovascular Disease. Circulation 2003, 108, 2154–2169. [Google Scholar] [CrossRef] [PubMed]
- Srisawasdi, P.; Vanavanan, S.; Charoenpanichkit, C.; Kroll, M.H. The Effect of Renal Dysfunction on BNP, NT-proBNP, and Their Ratio. Am. J. Clin. Pathol. 2010, 133, 14–23. [Google Scholar] [CrossRef] [PubMed]
- Colbert, G.; Jain, N.; de Lemos, J.A.; Hedayati, S.S. Utility of Traditional Circulating and Imaging-Based Cardiac Biomarkers in Patients with Predialysis CKD. Clin. J. Am. Soc. Nephrol. 2015, 10, 515. [Google Scholar] [CrossRef]
- Alam, M.L.; Katz, R.; Bellovich, K.A.; Bhat, Z.Y.; Brosius, F.C.; de Boer, I.H.; Gadegbeku, C.A.; Gipson, D.S.; Hawkins, J.J.; Himmelfarb, J.; et al. Soluble ST2 and Galectin-3 and Progression of CKD. Kidney Int. Rep. 2019, 4, 103–111. [Google Scholar] [CrossRef] [PubMed]
- Gregg, L.P.; Adams-Huet, B.; Li, X.; Colbert, G.; Jain, N.; de Lemos, A.J.; Hedayati, S.S. Effect modification of chronic kidney disease on the association of circulating and imaging cardiac biomarkers with outcomes. J. Am. Heart Assoc. 2017, 6, 7. [Google Scholar] [CrossRef] [PubMed]
- Ravassa, S.; Beaumont, J.; Cediel, G.; Lupón, J.; López, B.; Querejeta, R.; Díez, J.; Bayés-Genís, A.; González, A. Cardiorenal interaction and heart failure outcomes. A role for insulin-like growth factor binding protein 2? Rev. Esp. Cardiol. (Engl. Ed.) 2020. [Google Scholar] [CrossRef]
- Griesenauer, B.; Paczesny, S. The ST2/IL-33 Axis in Immune Cells during Inflammatory Diseases. Front. Immunol. 2017, 8, 475. [Google Scholar] [CrossRef]
- Stankovic, M.S.; Janjetovic, K.; Velimirovic, M.; Milenkovic, M.; Stojkovic, T.; Puskas, N.; Zaletel, I.; De Luka, S.R.; Jankovic, S.; Stefanovic, S.; et al. Effects of IL-33/ST2 pathway in acute inflammation on tissue damage, antioxidative parameters, magnesium concentration and cytokines profile. Exp. Mol. Pathol. 2016, 101, 31–37. [Google Scholar] [CrossRef]
- Chen, W.-Y.; Tsai, T.-H.; Yang, J.-L.; Li, L.-C. Therapeutic Strategies for Targeting IL-33/ST2 Signalling for the Treatment of Inflammatory Diseases. Cell. Physiol. Biochem. 2018, 49, 349–358. [Google Scholar] [CrossRef]
- Xu, H.; Turnquist, H.R.; Hoffman, R.; Billiar, T.R. Role of the IL-33-ST2 axis in sepsis. Mil. Med. Res. 2017, 4, 3. [Google Scholar] [CrossRef]
- Kunimura, A.; Ishii, H.; Uetani, T.; Harada, K.; Kataoka, T.; Takeshita, M.; Harada, K.; Okumura, S.; Shinoda, N.; Kato, B.; et al. Prognostic Value of Albuminuria on Cardiovascular Outcomes after Elective Percutaneous Coronary Intervention. Am. J. Cardiol. 2016, 117, 714–719. [Google Scholar] [CrossRef] [PubMed]
- Stephen, R.; Jolly, S.E.; Nally, J.V.; Navaneethan, S.D. Albuminuria: When urine predicts kidney and cardiovascular disease. Cleve. Clin. J. Med. 2014, 81, 41–50. [Google Scholar] [CrossRef]
- Januzzi, J.L.; Pascual-Figal, D.; Daniels, L.B. ST2 Testing for Chronic Heart Failure Therapy Monitoring: The International ST2 Consensus Panel. Am. J. Cardiol. 2015, 115, 70B–75B. [Google Scholar] [CrossRef] [PubMed]
- Gaggin, H.K.; Januzzi, J.L. Biomarkers and diagnostics in heart failure. Biochim. Biophys. Acta Mol. Basis Dis. 2013, 1832, 2442–2450. [Google Scholar] [CrossRef] [PubMed]
- Aimo, A.; Vergaro, G.; Ripoli, A.; Bayes-Genis, A.; Figal, D.A.P.; de Boer, R.A.; Lassus, J.; Mebazaa, A.; Gayat, E.; Breidthardt, T.; et al. Meta-Analysis of Soluble Suppression of Tumorigenicity-2 and Prognosis in Acute Heart Failure. JACC Heart Fail. 2017, 5, 287–296. [Google Scholar] [CrossRef] [PubMed]
- Dalal, J.J.; Digrajkar, A.; Das, B.; Bansal, M.; Toomu, A.; Maisel, A.S. ST2 elevation in heart failure, predictive of a high early mortality. Indian Heart J. 2018, 70, 822–827. [Google Scholar] [CrossRef]
- Mueller, T.; Leitner, I.; Egger, M.; Haltmayer, M.; Dieplinger, B. Association of the biomarkers soluble ST2, galectin-3 and growth-differentiation factor-15 with heart failure and other non-cardiac diseases. Clin. Chim. Acta 2015, 445, 155–160. [Google Scholar] [CrossRef]
- Bayes-Genis, A.; Zamora, E.; De Antonio, M.; Galán, A.; Vila, J.; Urrutia, A.; Díez, C.; Coll, R.; Altimir, S.; Lupón, J. Soluble ST2 serum concentration and renal function in heart failure. J. Card. Fail. 2013, 19, 768–775. [Google Scholar] [CrossRef]


| General | ||
| Age, mean (years) | 63 | ±9 |
| BMI, mean (kg/m²) | 30 | ±5.6 |
| Serum creatinine, median (mg/dl) | 1.5 | IQR 1.2–1.7 |
| eGFR, median (mL/min/1.73 m²) | 47.7 | IQR 38.2–55.7 |
| Urinary albumin/creatinine ratio (UACR), median (mg/g Crea) | 44 | IQR 7.4–216.7 |
| Comorbidities | % | (n) |
| Hypertension | 90.4 | 198 |
| Diabetes mellitus | 39.3 | 86 |
| Heart Failure | 26.0 | 57 |
| CKD stages | % | (n) |
| Stage G1 (≥ 90 mL/min/1.73 m²) | 2.7 | 6 |
| Stage G2 (eGFR 60–89 mL/min/1.73 m²) | 13.7 | 30 |
| Stage G3a (eGFR 45–59 mL/min/1.73 m²) | 41.6 | 91 |
| Stage G3b (eGFR 30–44 mL/min/1.73 m²) | 32.4 | 71 |
| Stages G4 and G5 (eGFR <30 mL/min/1.73 m²) | 9.6 | 21 |
| Urinary albumin/creatinine ratio (ACR) | % | (n) |
| A1 (<30 mg/g) | 43.8 | 96 |
| A2 (30–300 mg/g) | 32.0 | 70 |
| A3 (>300 mg/g) | 20.5 | 45 |
| Missing | 4.7 | 8 |
| Leading cause of renal disease | % | (n) |
| Vascular nephrosclerosis | 28.8 | 63 |
| Diabetic nephropathy | 17.4 | 38 |
| Interstitial nephropathy | 9.1 | 20 |
| IgA-nephritis | 4.1 | 9 |
| Autosomal dominant polycystic kidney disease | 4.1 | 9 |
| Membranous glomerulonephritis | 2.7 | 6 |
| Membranoproliferative glomerulonephritis | 1.4 | 3 |
| Other | 17.9 | 40 |
| Missing | 14.6 | 32 |
| Biomarker | BMI | Creatinine | eGFR | UACR | CRP | sST2 | GDF15 | H-FABP | IGF-BP2 | suPAR | |
|---|---|---|---|---|---|---|---|---|---|---|---|
| sST2 | rs | 0.890 | 0.125 | −0.037 | 0.139 | 0.087 | 0.133 | 0.348 | 0.151 | 0.082 | |
| p-value | 0.191 | 0.067 | 0.588 | 0.044 * | 0.200 | 0.049 | <0.0001 | 0.025 | 0.228 | ||
| GDF-15 | rs | 0.097 | 0.566 | −0.493 | 0.251 | 0.240 | 0.133 | 0.491 | 0.266 | 0.614 | |
| p-value | 0.151 | <0.0001 | <0.0001 | <0.0001 | 0.0004 | 0.049 | <0.0001 | <0.0001 | <0.0001 | ||
| H-FABP | rs | 0.314 | 0.584 | −0.550 | 0.100 | 0.162 | 0.348 | 0.491 | 0.194 | 0.516 | |
| p-value | <0.0001 | <0.0001 | < 0.0001 | 0.149 | 0.017 | <0.0001 | <0.0001 | 0.004 | <0.0001 | ||
| IGF-BP2 | rs | -0.343 | 0.267 | −0.298 | 0.192 | −0.071 | 0.151 | 0.266 | 0.194 | 0.180 | |
| p-value | <0.0001 | <0.0001 | <0.0001 | 0.005 | 0.296 | 0.025 | <0.0001 | 0.004 | 0.007 | ||
| suPAR | rs | 0.243 | 0.506 | −0.485 | 0.163 | 0.377 | 0.082 | 0.614 | 0.516 | 0.180 | |
| p-value | <0.0001 | <0.0001 | <0.0001 | 0.018 * | <0.0001 | 0.228 | <0.0001 | <0.0001 | 0.007 |
| Biomarker | Total Cohort | Normo-albuminuria (A1) | Micro-albuminuria (A2) | Macro-albuminuria (A3) | |||||
|---|---|---|---|---|---|---|---|---|---|
| median | IQR | median | IQR | median | IQR | median | IQR | p-Value | |
| sST2 (pg/mL) | 3870 | 2898–6641 | 3663 | 2726–6172 | 3647 | 2758–5793 | 4552 | 8587–3235 | 0.052 |
| GDF-15 (pg/mL) | 975.4 | 745.5–1316 | 892.2 | 675.6–1087 | 1035 | 780.9–861.7 | 1281 | 861.7–1635 | 0.002 |
| H-FABP (ng/mL) | 2.4 | 1.6–3.4 | 2.3 | 1.6–3.1 | 2.2 | 1.7–3.4 | 2.8 | 1.6–4.1 | 0.170 |
| IGF-BP2 (ng/mL) | 127 | 87.7–188.1 | 112.9 | 84.2–172.3 | 126.2 | 83.6–182.7 | 172.6 | 91.5–280.1 | 0.002 |
| suPAR (pg/mL) | 2153 | 1694–2801 | 1925 | 1653–2680 | 2197 | 1674–2723 | 2402 | 1918–2983 | 0.044 |
© 2020 by the authors. Licensee MDPI, Basel, Switzerland. This article is an open access article distributed under the terms and conditions of the Creative Commons Attribution (CC BY) license (http://creativecommons.org/licenses/by/4.0/).
Share and Cite
Mirna, M.; Topf, A.; Wernly, B.; Rezar, R.; Paar, V.; Jung, C.; Salmhofer, H.; Kopp, K.; Hoppe, U.C.; Schulze, P.C.; et al. Novel Biomarkers in Patients with Chronic Kidney Disease: An Analysis of Patients Enrolled in the GCKD-Study. J. Clin. Med. 2020, 9, 886. https://doi.org/10.3390/jcm9030886
Mirna M, Topf A, Wernly B, Rezar R, Paar V, Jung C, Salmhofer H, Kopp K, Hoppe UC, Schulze PC, et al. Novel Biomarkers in Patients with Chronic Kidney Disease: An Analysis of Patients Enrolled in the GCKD-Study. Journal of Clinical Medicine. 2020; 9(3):886. https://doi.org/10.3390/jcm9030886
Chicago/Turabian StyleMirna, Moritz, Albert Topf, Bernhard Wernly, Richard Rezar, Vera Paar, Christian Jung, Hermann Salmhofer, Kristen Kopp, Uta C. Hoppe, P. Christian Schulze, and et al. 2020. "Novel Biomarkers in Patients with Chronic Kidney Disease: An Analysis of Patients Enrolled in the GCKD-Study" Journal of Clinical Medicine 9, no. 3: 886. https://doi.org/10.3390/jcm9030886
APA StyleMirna, M., Topf, A., Wernly, B., Rezar, R., Paar, V., Jung, C., Salmhofer, H., Kopp, K., Hoppe, U. C., Schulze, P. C., Kretzschmar, D., Schneider, M. P., Schultheiss, U. T., Sommerer, C., Paul, K., Wolf, G., Lichtenauer, M., & Busch, M. (2020). Novel Biomarkers in Patients with Chronic Kidney Disease: An Analysis of Patients Enrolled in the GCKD-Study. Journal of Clinical Medicine, 9(3), 886. https://doi.org/10.3390/jcm9030886

