Impact of Recycled Water Irrigation on Soil Salinity and Its Remediation
Abstract
:1. Introduction
2. Materials and Methods
2.1. Case Study Area
2.2. Irrigation Water
- Recycled water;
- Tap water; and
- Synthetic saline water.
2.3. Continuous Laboratory Column Study
2.4. Goodness of Fit Indices
3. Results and Discussion
3.1. Impact of Irrigation Water Salinity on the Salt Mass Balance
3.2. Impact of Irrigation Water Salinity on Continuous Real-Time Monitoring of Salt Accumulation
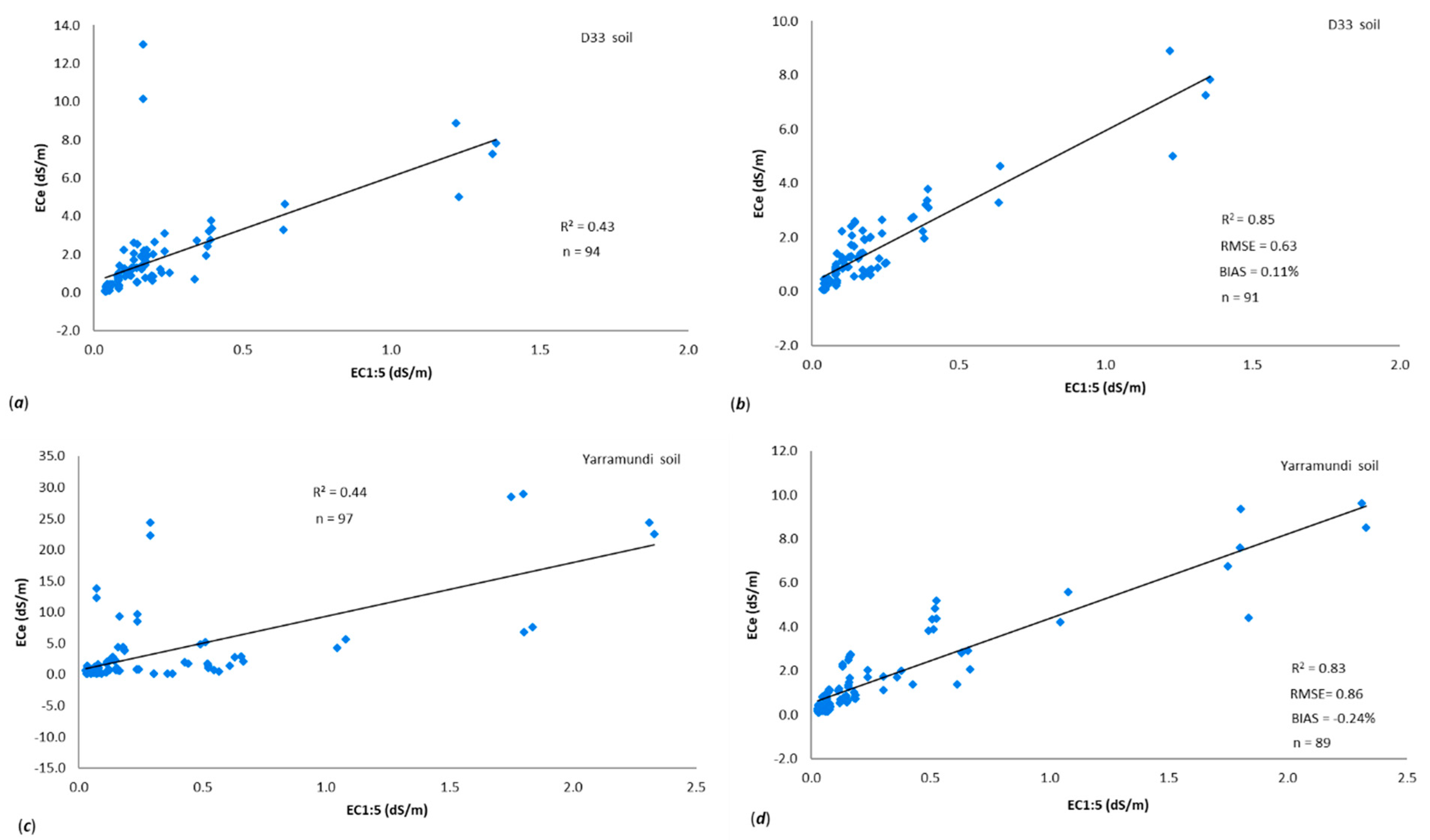
3.3. Impact of Irrigation Water Salinity on EC1:5 and ECe
Relationship between ECe and EC1:5
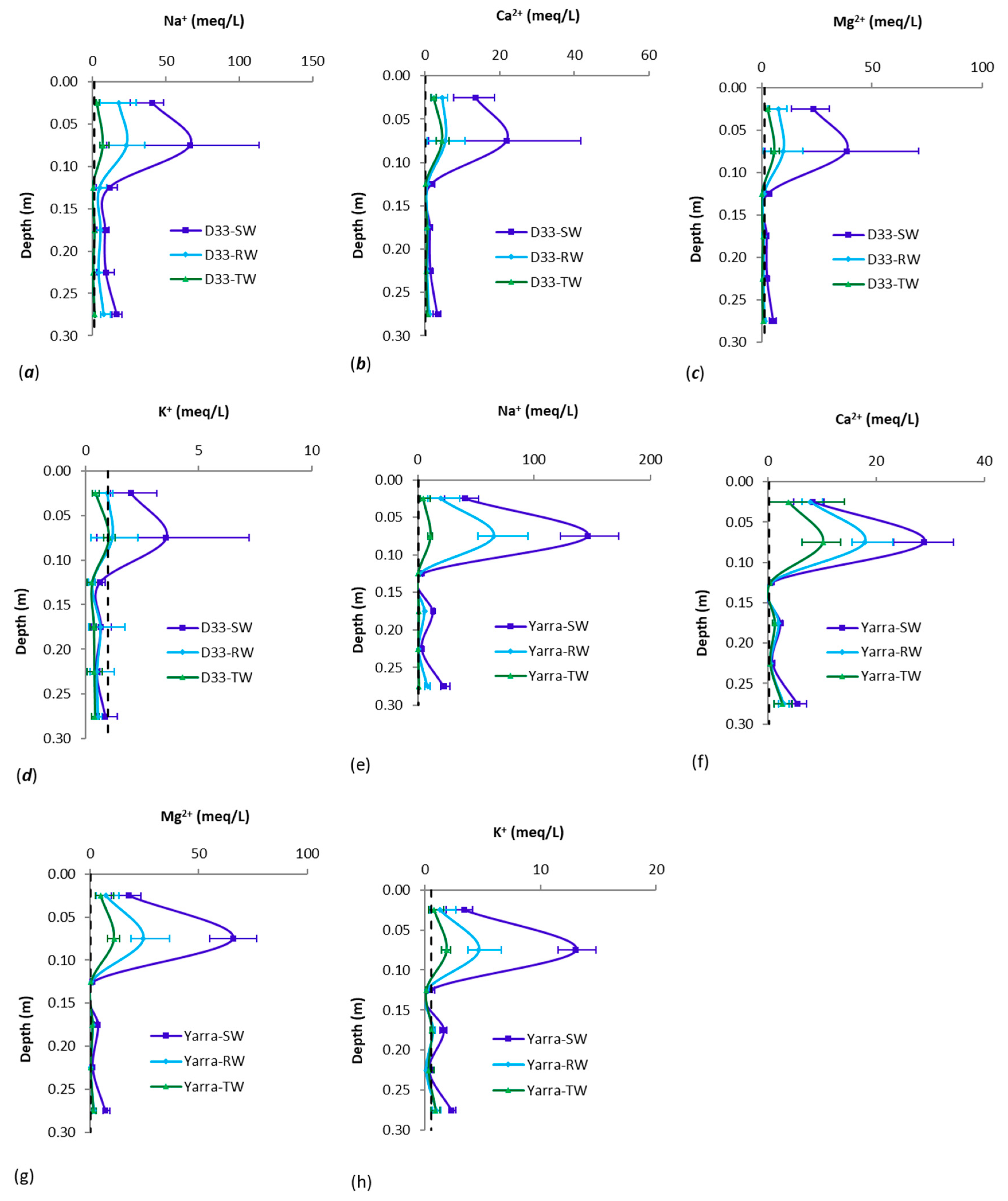
3.4. Impact of Irrigation Water Salinity on Soluble Cations
Relationships of ECe with Soluble Cations
4. Conclusions
Author Contributions
Funding
Institutional Review Board Statement
Informed Consent Statement
Data Availability Statement
Acknowledgments
Conflicts of Interest
References
- Chen, Z.; Ngo, H.H.; Guo, W. A critical review on sustainability assessment of recycled water schemes. Sci. Total Environ. 2012, 426, 13–31. [Google Scholar] [CrossRef] [PubMed]
- Hamilton, A.J.; Boland, A.M.; Stevens, D.; Kelly, J.; Radcliffe, J.; Ziehrl, A.; Dillon, P.; Paulin, B. Position of the Australian horticultural industry with respect to the use of reclaimed water. Agric. Water Manag. 2005, 71, 181–209. [Google Scholar] [CrossRef]
- ABS. Water Account for Australia 2009–2010; Australian Bureau of Statistics: Canberra, Australia, 2012.
- ABS. Water Account for Australia 2008–2009; Australian Bureau of Statistics: Canberra, Australia, 2010.
- ABS. Water Account for Australia 2004–2005; Australian Bureau of Statistics: Canberra, Australia, 2006.
- Sydney Water. Water Conservation Report—Sydney Water; Sydney Water: Sydney, Australia, 2020. [Google Scholar]
- Natural Resource Management Ministerial Council; Environment Protection and Heritage Council. Australian Health Ministers’ Conference. Australian Guidelines for Water Recycling: Managing Health and Environmental Risks. 2006. Available online: https://www.waterquality.gov.au/sites/default/files/documents/water-recycling-guidelines-full-21.pdf (accessed on 20 January 2022).
- Aiello, R.; Cirelli, G.; Consoli, S. Effects of reclaimed wastewater irrigation on soil and tomato fruits: A case study in Sicily (Italy). Agric. Water Manag. 2007, 93, 65–72. [Google Scholar] [CrossRef]
- Rebhun, M. Desalination of reclaimed wastewater to prevent salinization of soils and groundwater. Desalination 2004, 160, 143–149. [Google Scholar] [CrossRef]
- Dikinya, O.; Areola, O. Comparative analysis of heavy metal concentration in secondary treated wastewater irrigated soils cultivated by different crops. Int. J. Environ. Sci. Technol. 2010, 7, 337–346. [Google Scholar] [CrossRef] [Green Version]
- Jahantigh, M. Impact of recycled wastewater irrigation on soil chemical properties in an arid region. Pak. J. Biol. Sci. 2008, 11, 2264–2268. [Google Scholar] [CrossRef]
- Adrover, M.; Farrús, E.; Moyà, G.; Vadell, J. Chemical properties and biological activity in soils of Mallorca following twenty years of treated wastewater irrigation. J. Environ. Manage. 2012, 95, 188–192. [Google Scholar] [CrossRef]
- Candela, L.; Fabregat, S.; Josa, A.; Suriol, J.; Vigués, N.; Mas, J. Assessment of soil and groundwater impacts by treated urban wastewater reuse. A case study: Application in a golf course (Girona, Spain). Sci. Total Environ. 2007, 374, 26–35. [Google Scholar] [CrossRef]
- Chen, W.; Lu, S.; Pan, N.; Jiao, W. Impacts of long-term reclaimed water irrigation on soil salinity accumulation in urban green land in Beijing. Water Resour. Res. 2013, 49, 7401–7410. [Google Scholar] [CrossRef]
- Klay, S.; Charef, A.; Ayed, L.; Houman, B.; Rezgui, F. Effect of irrigation with treated wastewater on geochemical properties (saltiness, C, N and heavy metals) of isohumic soils (Zaouit Sousse perimeter, Oriental). Desalination 2010, 253, 180–187. [Google Scholar] [CrossRef]
- Lin, Y.; Qian, Y. Mineral composition of Kentucky bluegrass under recycled water irrigation on golf courses. HortScience 2019, 54, 357–361. [Google Scholar] [CrossRef]
- Rahman, M.; Hagare, D.; Maheshwari, B. Framework to assess sources controlling soil salinity resulting from irrigation using recycled water: An application of Bayesian Belief Network. J. Clean. Prod. 2015, 105, 406–419. [Google Scholar] [CrossRef]
- Xu, J.; Wu, L.; Chang, A.; Zhang, Y. Impact of long-term reclaimed wastewater irrigation on agricultural soils: A preliminary assessment. J. Hazard. Mater. 2010, 183, 780–786. [Google Scholar] [CrossRef]
- Al-Hamaiedeh, H.; Bino, M. Effect of treated grey water reuse in irrigation on soil and plants. Desalination 2010, 256, 115–119. [Google Scholar] [CrossRef]
- Alshammary, S.F.; Qian, Y.L.; Wallner, S.J. Growth response of four turfgrass species to salinity. Agric. Water Manag. 2004, 66, 97–111. [Google Scholar] [CrossRef]
- Bernstein, L. Effects of Salinity and Sodicity on Plant Growth. Annu. Rev. Phytopathol. 1975, 13, 295–312. [Google Scholar] [CrossRef]
- Grewal, H.; Maheshwari, B.L. Treated effluent and saline water irrigation influences soil properties, yield, water productivity and sodium content of snow peas and celery. J. Plant Nutr. 2013, 36, 1102–1119. [Google Scholar] [CrossRef]
- Shoalhaven Water. Reclamation Annual Report 2019-20; Shoalhaven City Council: Shoalhaven, Australia, 2021.
- Tsagarakis, K. Recycled water valuation as a corollary of the 2000/60/EC water framework directive. Agric. Water Manag. 2005, 72, 1–14. [Google Scholar] [CrossRef]
- Alrajhi, A.; Beecham, S.; Bolan, N.S.; Hassanli, A. Evaluation of soil chemical properties irrigated with recycled wastewater under partial root-zone drying irrigation for sustainable tomato production. Agric. Water Manag. 2015, 161, 127–135. [Google Scholar] [CrossRef]
- Aiken, J. A Soil Microbial Response to Urban Wastewater Application: Bacterial Communities and Soil Salinity. Ph.D. Thesis, Western Sydney University, Sydney, Australia, 2006. [Google Scholar]
- Stevens, D.; McLaughlin, M.; Kelly, M. Effects of long-term irrigation with reclaimed water on soils of the Northern Adelaide Plains, South Australia. Soil Res. 2003, 41, 933–948. [Google Scholar] [CrossRef] [Green Version]
- Aiken, J.; Derry, C.; Attwater, R. Impact of improved recycled water quality on a Sydney irrigation scheme. Water 2010, 37, 86–90. [Google Scholar]
- Derry, C.; Attwater, R. Risk perception relating to effluent reuse on a university campus. Water 2006, 33, 57–62. [Google Scholar]
- Derry, C.; Attwater, R.; Booth, S. Rapid health-risk assessment of effluent irrigation on an Australian university campus. Int. J. Hyg. Environ. Health 2006, 209, 159–171. [Google Scholar] [CrossRef] [PubMed]
- Rahman, M.M.; Hagare, D.; Maheshwari, B.; Dillon, P. Impacts of prolonged drought on salt accumulation in the root zone due to recycled water irrigation. Water. Air. Soil Pollut. 2015, 226, 90. [Google Scholar] [CrossRef]
- Rahman, M.; Hagare, D.; Maheshwari, B. Bayesian Belief Network analysis of soil salinity in a peri-urban agricultural field irrigated with recycled water. Agric. Water Manag. 2016, 176, 280–296. [Google Scholar] [CrossRef]
- Rahman, M.; Hagare, D.; Maheshwari, B.; Dillon, P.; Kibria, G. Modelling of the impact of future climate changes on salt accumulation in paddocks of different soil types due to recycled water irrigation. Water Sci. Technol. Water Supply 2016, 16, 653–666. [Google Scholar] [CrossRef]
- Shahrivar, A.; Rahman, M.; Hagare, D.; Maheshwari, B. Variation in kikuyu grass yield in response to irrigation with secondary and advanced treated wastewaters. Agric. Water Manag. 2019, 222, 375–385. [Google Scholar] [CrossRef]
- Booth, C.; Attwater, R.; Derry, C.; Simmons, B. The Hawkesbury water reuse scheme. Water 2003, 5, 42–44. [Google Scholar]
- McDonald, R.C.; Isbell, R.F.; Speight, J.G.; Walker, J.; Hopkins, M.S. Australian Soil and Land Survey Handbook: Field Handbook, 2nd ed.; Inkata Press: Melbourne, Austrilia, 1990. [Google Scholar]
- Madsen, M.; Chandler, D.G.; Reynolds, W.D. Accounting for bias and boundary condition effects on measurements of saturated core hydraulic conductivity. Soil Sci. Soc. Am. J. 2008, 72, 750–757. [Google Scholar] [CrossRef]
- Rayment, G.; Higginson, F. Australian Laboratory Handbook of Soil and Water Chemical Methods; Inkata Press Pty Ltd.: Melbourne, Austrilia, 1992. [Google Scholar]
- Decagon Devices. GS3 Water Content, EC and Temperature Sensors. 2015. Available online: www.ictinternational.com/content/uploads/2014/03/GS3-ManualWeb1.pdf (accessed on 20 January 2022).
- Metcalf, L.; Eddy, H.; Tchobanoglous, G. Wastewater Engineering: Treatment, Disposal, and Reuse, 3rd. ed.; McGraw Hill: New York, NY, USA, 1991. [Google Scholar]
- Stevens, D.P.; Smolenaars, S.; Kelly, J. Irrigation of Amenity Horticulture with Recycled Water: A Handbook for Parks, Gardens, Lawns, Landscapes, Playing Fields, Golf Courses and Other Public Open Spaces. 2008. Available online: https://waterportal.com.au/swf/images/swf-files/42m---2026-recycled-water-handbook-for-the-amenity-horticulture-industry_handbook.pdf (accessed on 20 January 2022).
- Kanzari, S.; Hachicha, M.; Bouhlila, R.; Battle-Sales, J. Simulation of water and salts dynamics in Bouhajla (Central Tunisia): Exceptional rainfall effect. Soil Water Res. 2012, 7, 36–44. [Google Scholar] [CrossRef] [Green Version]
- Ramos, T.; Šimůnek, J.; Gonçalves, M.; Martins, J.; Prazeres, A.; Castanheira, N.L.; Pereira, L.S. Field evaluation of a multicomponent solute transport model in soils irrigated with saline waters. J. Hydrol. 2011, 407, 129–144. [Google Scholar] [CrossRef]
- Moriasi, D.; Arnold, J.; Van Liew, M.; Bingner, R.L.; Harmel, R.D.; Veith, T.L. Model evaluation guidelines for systematic quantification of accuracy in watershed simulations. Trans. Am. Soc. Agric. Biol. Eng. 2007, 50, 885–900. [Google Scholar]
- MINITAB Statistical Software; Release 16; MINITAB: State College, PA, USA, 2000.
- Aboukila, E.F.; Norton, J.B. Estimation of saturated soil paste salinity from soil-water extracts. Soil Sci. 2017, 182, 107–113. [Google Scholar] [CrossRef]
- Kargas, G.; Chatzigiakoumis, I.; Kollias, A.; Spiliotis, D.; Massas, I.; Kerkides, P. Soil Salinity Assessment Using Saturated Paste and Mass Soil: Water 1:1 and 1:5 Ratios Extracts. Water 2018, 10, 1589. [Google Scholar] [CrossRef] [Green Version]
- Visconti, F.; de Paz, J.M.; Rubio, J.L. What information does the electrical conductivity of soil water extracts of 1 to 5 ratio (w/v) provide for soil salinity assessment of agricultural irrigated lands? Geoderma 2010, 154, 387–397. [Google Scholar] [CrossRef]
- Gonçalves, M.C.; Šimůnek, J.; Ramos, T.B.; Martins, J.C.; Neves, M.J.; Pires, F.P. Multicomponent solute transport in soil lysimeters irrigated with waters of different quality. Water Resour. Res. 2006, 42. [Google Scholar] [CrossRef] [Green Version]
- Bresler, E.; McNeal, B.L.; Carter, D.L. Transportation and Distribution of Salts. In Saline and Sodic Soils; Springer: Berlin, Germany, 1982; pp. 79–165. [Google Scholar]
- Oanzen, H.H.; Chang, C. Cation concentrations in the saturation extract and soil solution extract of soil salinized with various sulfate salts. Commun. Soil Sci. Plant Anal. 1988, 19, 405–430. [Google Scholar] [CrossRef]









| Parameter | Method | Reference |
|---|---|---|
| Mechanical texture of soil | Hydrometer method | [36] |
| Saturated hydraulic conductivity | Constant head method | [37] |
| Electrical conductivity | EC1:5 (Method 3A1) ECe (Method 2D1) | [38] |
| Field bulk density | Method 2A1 | [38] |
| Soluble cations | Method 14H1 | [38] |
| Exchangeable cations | Method 15D3 | [38] |
| Soil pH | Method 4A1 | [38] |
| Parameter | Measured Value | |
|---|---|---|
| D33 Paddock | Yarramundi Paddock | |
| Soil type | Silty loam | Loamy sand |
| Field moisture content (g/g) | 0.09 ± 0.001 | 0.06 ± 0.001 |
| Field Bulk Density (g/cm3) | 1.62 ± 0.02 | 1.68 ± 0.01 |
| EC1:5 (dS/m) | 0.06 ± 0.001 | 0.03 ± 0.001 |
| ECe (dS/m) | 0.82 ± 0.08 | 0.28 ± 0.01 |
| pH1:5 | 6.01 ± 0.06 | 5.35 ± 0.05 |
| pHSE | 7.16 ± 0.2 | 6.95 ± 0.11 |
| Dissolved cations | ||
| Na+ (mEq/L) | 1.319 | 0.497 |
| Ca2+ (mEq/L) | 0.135 | 0.258 |
| Mg2+ (mEq/L) | 1.406 | 0.158 |
| K+ (mEq/L) | 0.976 | 0.502 |
| Sodium adsorption ratio (SAR) | 1.50 | 1.09 |
| Exchangeable cations | ||
| Na+ (cmolC/kg air dry soil) | 0.055 | 0.001 |
| Ca2+ (cmolC/kg air dry soil) | 1.089 | 0.277 |
| Mg2+ (cmolC/kg air dry soil) | 0.188 | 0.030 |
| K+ (cmolC/kg air dry soil) | 0.046 | 0.047 |
| Cation exchange capacity (CEC) | 1.378 | 0.355 |
Publisher’s Note: MDPI stays neutral with regard to jurisdictional claims in published maps and institutional affiliations. |
© 2022 by the authors. Licensee MDPI, Basel, Switzerland. This article is an open access article distributed under the terms and conditions of the Creative Commons Attribution (CC BY) license (https://creativecommons.org/licenses/by/4.0/).
Share and Cite
Rahman, M.M.; Shahrivar, A.A.; Hagare, D.; Maheshwari, B. Impact of Recycled Water Irrigation on Soil Salinity and Its Remediation. Soil Syst. 2022, 6, 13. https://doi.org/10.3390/soilsystems6010013
Rahman MM, Shahrivar AA, Hagare D, Maheshwari B. Impact of Recycled Water Irrigation on Soil Salinity and Its Remediation. Soil Systems. 2022; 6(1):13. https://doi.org/10.3390/soilsystems6010013
Chicago/Turabian StyleRahman, Muhammad Muhitur, Alireza Aghajani Shahrivar, Dharmappa Hagare, and Basant Maheshwari. 2022. "Impact of Recycled Water Irrigation on Soil Salinity and Its Remediation" Soil Systems 6, no. 1: 13. https://doi.org/10.3390/soilsystems6010013
APA StyleRahman, M. M., Shahrivar, A. A., Hagare, D., & Maheshwari, B. (2022). Impact of Recycled Water Irrigation on Soil Salinity and Its Remediation. Soil Systems, 6(1), 13. https://doi.org/10.3390/soilsystems6010013

