A New Tool to Aid the Differential Diagnosis of Physiological Remodelling from Cardiac Pathology When Assessing Left Ventricle, Left Atrial and Aortic Structure and Function in Male Arab and Black Paediatric Athletes
Abstract
1. Introduction
2. Materials and Methods
2.1. Participants
2.2. Preliminary Investigations
Health Questionnaire and Electrocardiogram
2.3. Echocardiography
D Echocardiography
2.4. Doppler and Pulse-Wave Tissue Doppler Imaging
2.5. Chronological and Biological Age Assessment
2.6. Exclusion Criteria
2.7. Statistical Analysis
3. Results
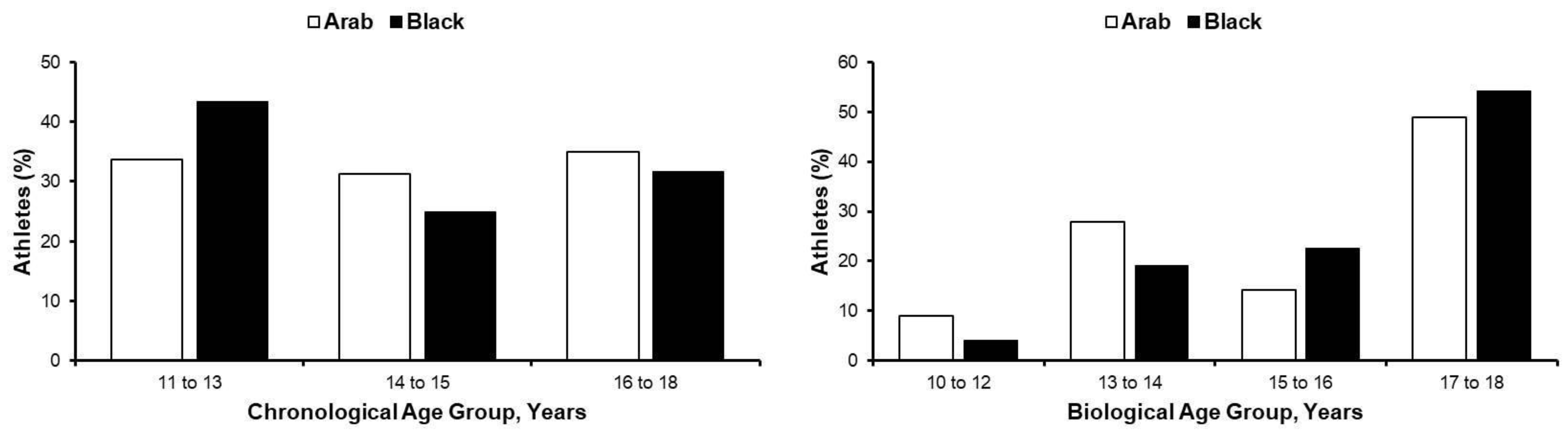
3.1. Demographics
3.2. Left Ventricle, Left Atrial, and Aortic Root Size: Z-Scores from White Peri-Pubertal Footballers [6]
3.3. Left Ventricle, Left Atrial, and Aortic Root Size: Arab and Black Paediatric Athlete Z-Scores
3.4. Pulsed-Wave Doppler and Tissue Doppler: Z-Scores from Paediatric Non-Athletes [14]
3.5. LVEF, Doppler, and Tissue Doppler Imaging: Arab and Black Paediatric Athlete Z-Scores
4. Discussion
4.1. Left Ventricle Size in Male Arab and Black Paediatric Athletes
4.2. Left Atrial Size in Male Arab and Black Paediatric Athletes
4.3. Aortic Arch in Male Arab and Black Paediatric Athletes
4.4. Diastolic Function in Male Paediatric Arab and Black Athletes
4.5. Systolic Function in Male Paediatric Arab and Black Athletes
4.6. When to Consider HR in Assessing LV Function in Male Paediatric Arab and Black Athletes
4.7. Clinical Implications: How to Apply in the Clinic Today
4.8. Limitations
5. Conclusions
Supplementary Materials
Author Contributions
Funding
Institutional Review Board Statement
Informed Consent Statement
Data Availability Statement
Acknowledgments
Conflicts of Interest
References
- McClean, G.; Riding, N.R.; Ardern, C.L.; Farooq, A.; Pieles, G.E.; Watt, V.; Adamuz, C.; George, K.; Oxborough, D.; Wilson, M.G. Electrical and structural adaptations of the paediatric athlete’s heart: A systematic review with meta-analysis. Br. J. Sport. Med. 2018, 52, 230. [Google Scholar] [CrossRef] [PubMed]
- Sharma, S.; Maron, B.J.; Whyte, G.; Firoozi, S.; Elliott, P.; McKenna, W.J. Physiologic limits of left ventricular hypertrophy in elite junior athletes: Relevance to differential diagnosis of athlete’s heart and hypertrophic cardiomyopathy. J. Am. Coll. Cardiol. 2002, 40, 1431–1436. [Google Scholar] [CrossRef] [PubMed]
- Makan, J.; Sharma, S.; Firoozi, S.; Whyte, G.; Jackson, P.G.; McKenna, W.J. Physiological upper limits of ventricular cavity size in highly trained adolescent athletes. Heart 2005, 91, 495–499. [Google Scholar] [CrossRef] [PubMed]
- Sheikh, N.; Papadakis, M.; Carre, F.; Kervio, G.; Panoulas, V.F.; Ghani, S.; Zaidi, A.; Gati, S.; Rawlins, J.; Wilson, M.G.; et al. Cardiac adaptation to exercise in adolescent athletes of African ethnicity: An emergent elite athletic population. Br. J. Sports Med. 2013, 47, 585–592. [Google Scholar] [CrossRef] [PubMed]
- Malhotra, A.; Dhutia, H.; Finocchiaro, G.; Gati, S.; Beasley, I.; Clift, P.; Cowie, C.; Kenny, A.; Mayet, J.; Oxborough, D.; et al. Outcomes of Cardiac Screening in Adolescent Soccer Players. N. Engl. J. Med. 2018, 379, 524–534. [Google Scholar] [CrossRef]
- Cavarretta, E.; Maffessanti, F.; Sperandii, F.; Guerra, E.; Quaranta, F.; Nigro, A.; Minati, M.; Rebecchi, M.; Fossati, C.; Calò, L.; et al. Reference values of left heart echocardiographic dimensions and mass in male peri-pubertal athletes. Eur. J. Prev. Cardiol. 2018, 25, 1204–1215. [Google Scholar] [CrossRef]
- Di Paolo, F.M.; Schmied, C.; Zerguini, Y.A.; Junge, A.; Quattrini, F.; Culasso, F.; Dvorak, J.; Pelliccia, A. The Athlete’s Heart in Adolescent Africans. J. Am. Coll. Cardiol. 2012, 59, 1029–1036. [Google Scholar] [CrossRef]
- Valente-dos-Santos, J.; Coelho-e-Silva, M.; Ferraz, A.; Castanheira, J.; Ronque, E.R.V.; Sherar, L.; Elferink-Gemser, M.T.; Malina, R.M. Scaling left ventricular mass in adolescent boys aged 11–15 years. Ann. Hum. Biol. 2014, 41, 465–468. [Google Scholar] [CrossRef]
- Johnson, A.; Doherty, P.J.; Freemont, A. Investigation of growth, development, and factors associated with injury in elite schoolboy footballers: Prospective study. BMJ 2009, 338, b490. [Google Scholar] [CrossRef]
- Ontell, F.K.; Barlow, T.W. Bone Age in Children of Diverse. Am. J. Roentgenol. 1996, 167, 1395–1398. [Google Scholar] [CrossRef]
- Packard, G.C.; Birchard, G.F.; Boardman, T.J. Fitting statistical models in bivariate allometry. Biol. Rev. 2010, 86, 549–563. [Google Scholar] [CrossRef] [PubMed]
- Finocchiaro, G.; Dhutia, H.; D’Silva, A.; Malhotra, A.; Sheikh, N.; Narain, R.; Ensam, B.; Papatheodorou, S.; Tome, M.; Sharma, R.; et al. Role of Doppler Diastolic Parameters in Differentiating Physiological Left Ventricular Hypertrophy from Hypertrophic Cardiomyopathy. J. Am. Soc. Echocardiogr. 2018, 31, 606–613.e1. [Google Scholar] [CrossRef] [PubMed]
- Millar, L.M.; Fanton, Z.; Finocchiaro, G.; Sanchez-Fernandez, G.; Dhutia, H.; Malhotra, A.; Merghani, A.; Papadakis, M.; Behr, E.R.; Bunce, N.; et al. Differentiation between athlete’s heart and dilated cardiomyopathy in athletic individuals. Heart 2020, 14, 1059–1065. [Google Scholar] [CrossRef]
- Dallaire, F.; Slorach, C.; Hui, W.; Sarkola, T.; Friedberg, M.K.; Bradley, T.J.; Jaeggi, E.; Dragulescu, A.; Har, R.L.; Cherney, D.Z.; et al. Reference Values for Pulse Wave Doppler and Tissue Doppler Imaging in Pediatric Echocardiography. Circ. Cardiovasc. Imaging 2015, 8, e002167. [Google Scholar] [CrossRef] [PubMed]
- Cantinotti, M.; Koestenberger, M.; Santoro, G.; Assanta, N.; Franchi, E.; Paterni, M.; Iervasi, G.; D’Andrea, A.; D’Ascenzi, F.; Giordano, R.; et al. Normal basic 2D echocardiographic values to screen and follow up the athlete’s heart from juniors to adults: What is known and what is missing. A critical review. Eur. J. Prev. Cardiol. 2019, 27, 1294–1306. [Google Scholar] [CrossRef] [PubMed]
- Hickman, P.E.; Badrick, T.; Wilson, S.R.; McGill, D. Reporting of cardiac troponin—Problems with the 99th population percentile. Clin. Chim. Acta 2007, 381, 182–183. [Google Scholar] [CrossRef] [PubMed]
- Haycock, G.B.; Schwartz, G.J.; Wisotsky, D.H. Geometric method for measuring body surface area: A height-weight formula validated in infants, children, and adults. J. Pediatr. 1978, 93, 62–66. [Google Scholar] [CrossRef]
- Sharma, S.; Drezner, J.A.; Baggish, A.; Papadakis, M.; Wilson, M.G.; Prutkin, J.M.; La Gerche, A.; Ackerman, M.J.; Börjesson, M.; Salerno, J.C.; et al. International recommendations for electrocardiographic interpretation in athletes. Eur. Heart J. 2018, 39, 1466–1480. [Google Scholar] [CrossRef]
- Robinson, S.; Rana, B.; Oxborough, D.; Steeds, R.; Monaghan, M.; Stout, M.; Pearce, K.; Harkness, A.; Ring, L.; Paton, M.; et al. A practical guideline for performing a comprehensive transthoracic echocardiogram in adults: The British Society of Echocardiography minimum dataset. Echo Res. Pract. 2020, 7, G59–G93. [Google Scholar] [CrossRef]
- Roche, A.; Chumlea, W.; Thissen, D. Some Findings with the FELS Method Assessing the Skeletal Maturity of the Handwrist: Fels Method; Thomas: Springfield, IL, USA, 1988; pp. 252–265. [Google Scholar]
- McClean, G.; Riding, N.R.; Pieles, G.; Watt, V.; Adamuz, C.; Sharma, S.; George, K.P.; Oxborough, D.; Wilson, M. Diagnostic accuracy and Bayesian analysis of new international ECG recommendations in paediatric athletes. Heart 2018, 105, 152–159. [Google Scholar] [CrossRef]
- Lopez, L.; Colan, S.; Stylianou, M.; Granger, S.; Trachtenberg, F.; Frommelt, P.; Pearson, G.; Camarda, J.; Cnota, J.; Cohen, M.; et al. Relationship of Echocardiographic Z Scores Adjusted for Body Surface Area to Age, Sex, Race, and Ethnicity: The Pediatric Heart Network Normal Echocardiogram Database. Circ. Cardiovasc. Imaging 2017, 10, 1–7. [Google Scholar] [CrossRef] [PubMed]
- DeVore, G.R. Computing the Z Score and Centiles for Cross-sectional Analysis: A Practical Approach. J. Ultrasound Med. 2017, 36, 459–473. [Google Scholar] [CrossRef]
- Riding, N.R.; Salah, O.; Sharma, S.; Carré, F.; George, K.P.; Farooq, A.; Hamilton, B.; Chalabi, H.; Whyte, G.P.; Wilson, M.G. ECG and morphologic adaptations in Arabic athletes: Are the European Society of Cardiology’s recommendations for the interpretation of the 12-lead ECG appropriate for this ethnicity? Br. J. Sport. Med. 2014, 48, 1138–1143. [Google Scholar] [CrossRef]
- Rossi, A.; Cicoira, M.; Zanolla, L.; Sandrini, R.; Golia, G.; Zardini, P.; Enriquez-Sarano, M. Determinants and prognostic value of left atrial volume in patients with dilated cardiomyopathy. J. Am. Coll. Cardiol. 2002, 40, 1425–1430. [Google Scholar] [CrossRef] [PubMed]
- Losi, M.; Betocchi, S.; Aversa, M.; Lombardi, R.; Miranda, M.; Alessandro, G.D.; Cacace, A.; Tocchetti, C.; Barbati, G.; Chiariello, M. Determinants of Atrial Fibrillation Development in Patients with Hypertrophic Cardiomyopathy. Am. J. Cardiol. 2004, 94, 895–900. [Google Scholar] [CrossRef] [PubMed]
- Gati, S.; Malhotra, A.; Sedgwick, C.; Papamichael, N.; Dhutia, H.; Sharma, R.; Child, A.H.; Papadakis, M.; Sharma, S. Prevalence and progression of aortic root dilatation in highly trained young athletes. Heart 2019, 105, 920–925. [Google Scholar] [CrossRef] [PubMed]
- Unnithan, V.B.; Rowland, T.; George, K.; Lord, R.; Oxborough, D. Left ventricular function during exercise in trained pre-adolescent soccer players. Scand. J. Med. Sci. Sport. 2018, 28, 2330–2338. [Google Scholar] [CrossRef]
- Dorobantu, D.M.; Radulescu, C.R.; Riding, N.; McClean, G.; de la Garza, M.-S.; Abuli-Lluch, M.; Duarte, N.; Adamuz, M.C.; Ryding, D.; Perry, D.; et al. The use of 2-D speckle tracking echocardiography in assessing adolescent athletes with left ventricular hypertrabeculation meeting the criteria for left ventricular non-compaction cardiomyopathy. Int. J. Cardiol. 2022, 371, 500–507. [Google Scholar] [CrossRef]
- Forsythe, L.; George, K.; Oxborough, D. Speckle Tracking Echocardiography for the Assessment of the Athlete’s Heart: Is It Ready for Daily Practice? Curr. Treat. Options Cardiovasc. Med. 2018, 20, 83. [Google Scholar] [CrossRef]
- MacIver, D.H.; Townsend, M. A novel mechanism of heart failure with normal ejection fraction. Heart 2007, 94, 446–449. [Google Scholar] [CrossRef]
- Riding, N.R.; Sharma, S.; McClean, G.; Adamuz, C.; Watt, V.; Wilson, M. Impact of geographical origin upon the electrical and structural manifestations of the black athlete’s heart. Eur. Heart J. 2018, 40, 50–58. [Google Scholar] [CrossRef] [PubMed]
- Fisher, R. Statistical Methods for Research Workers, 4th ed.; Oliver & Boyd: Edinburgh, UK, 1932. [Google Scholar]







Disclaimer/Publisher’s Note: The statements, opinions and data contained in all publications are solely those of the individual author(s) and contributor(s) and not of MDPI and/or the editor(s). MDPI and/or the editor(s) disclaim responsibility for any injury to people or property resulting from any ideas, methods, instructions or products referred to in the content. |
© 2023 by the authors. Licensee MDPI, Basel, Switzerland. This article is an open access article distributed under the terms and conditions of the Creative Commons Attribution (CC BY) license (https://creativecommons.org/licenses/by/4.0/).
Share and Cite
McClean, G.; Wilson, M.G.; Riding, N.R.; Pieles, G.; Watt, V.; Adamuz, C.; Shaw, A.; Harkness, A.; Johnson, A.; George, K.P.; et al. A New Tool to Aid the Differential Diagnosis of Physiological Remodelling from Cardiac Pathology When Assessing Left Ventricle, Left Atrial and Aortic Structure and Function in Male Arab and Black Paediatric Athletes. J. Cardiovasc. Dev. Dis. 2023, 10, 37. https://doi.org/10.3390/jcdd10020037
McClean G, Wilson MG, Riding NR, Pieles G, Watt V, Adamuz C, Shaw A, Harkness A, Johnson A, George KP, et al. A New Tool to Aid the Differential Diagnosis of Physiological Remodelling from Cardiac Pathology When Assessing Left Ventricle, Left Atrial and Aortic Structure and Function in Male Arab and Black Paediatric Athletes. Journal of Cardiovascular Development and Disease. 2023; 10(2):37. https://doi.org/10.3390/jcdd10020037
Chicago/Turabian StyleMcClean, Gavin, Mathew G. Wilson, Nathan R. Riding, Guido Pieles, Victoria Watt, Carmen Adamuz, Anthony Shaw, Allan Harkness, Amanda Johnson, Keith P. George, and et al. 2023. "A New Tool to Aid the Differential Diagnosis of Physiological Remodelling from Cardiac Pathology When Assessing Left Ventricle, Left Atrial and Aortic Structure and Function in Male Arab and Black Paediatric Athletes" Journal of Cardiovascular Development and Disease 10, no. 2: 37. https://doi.org/10.3390/jcdd10020037
APA StyleMcClean, G., Wilson, M. G., Riding, N. R., Pieles, G., Watt, V., Adamuz, C., Shaw, A., Harkness, A., Johnson, A., George, K. P., & Oxborough, D. (2023). A New Tool to Aid the Differential Diagnosis of Physiological Remodelling from Cardiac Pathology When Assessing Left Ventricle, Left Atrial and Aortic Structure and Function in Male Arab and Black Paediatric Athletes. Journal of Cardiovascular Development and Disease, 10(2), 37. https://doi.org/10.3390/jcdd10020037

