Abstract
Red wines produced in warm climates generally possess a lower content of phenolic compounds and color structure than those produced in colder climates, which hinders bottle evolution. To improve these properties, cold maceration could be a useful procedure. To study the effect of this technique, Tempranillo, Merlot and Syrah grape varieties cultivated in the Jerez area (Southwest Spain) were cold macerated at 4 °C for ten days before alcoholic fermentation. Their composition and characteristics compared to the directly fermented control grapes were analyzed for phenolic content, color, volatile compounds, and sensory properties. It has been verified that phenolic content increased by around 10% during the treatment, which was maintained after the alcohol fermentation, along with an increase in color intensity and aromatic profile. This modification on the composition provided better scores for appearance, aroma intensity, and aroma quality in sensory analysis. The evolution of all studied parameters during 12 months of aging in the bottle is also studied, confirming the advantages of this technique in preserving the compositional and sensory characteristics throughout the period studied.
1. Introduction
It is generally admitted in traditional determinist enology, that red wines produced in warm climate areas exhibit intrinsically low-quality aroma and coloring matter []. Due to the stressful climate conditions it is difficult to produce high-quality red wines with intense and stable color. Aware of this problem, winemakers employ different tools to compensate for this lack of balance between technological maturity and phenolic maturity of grapes when harvesting.
In the search for innovation, some techniques such as pulse electric fields [], high-power ultrasound [], flash-détente [], ohmic heating [], or the use of microwaves [] are under study for increasing phenolic composition of wines while reducing maceration times. However, these techniques, besides supposing an additional inversion for winemakers, do not always offer the results expected, producing breakdown or degradation of solutes [], technological limitations [], promoting the appearance of free-radicals [] that can worsen wine properties after longer storage, or effectiveness of the process depending on the grape variety []. These limitations make prefermentative cold maceration (PCM)—also known as cold soaking—still the most used technique at an industrial scale to extract phenolic and aromatic compounds from the skin. This technique consists of keeping the crushed grapes at low-temperature levels (3–10 °C) for some days in order to delay the beginning of alcoholic fermentation while taking advantage of the extraction of some more polar compounds of interest from the grape peels. Solid carbon dioxide (dry ice), cooling exchangers, or cold rooms are used to refrigerate the grapes, with dry ice being the more effective because the instant reduction in the temperature causes freezing of the intra-cellular liquids, producing the break-down of the cell wall and an easier liberation of its components []. During the time that crushed grapes remain at low temperature, aromatic and phenolic compounds are extracted in the absence of ethanol, and this fact has different effects on wine composition. For instance, Álvarez et al. (2006) performed some studies in East Spain with Monastrell grapes [], and reported that prefermentative maceration produces wines with a higher content of phenolic compounds, such as anthocyanins, especially malvidin-3-glucoside, and more aromatic compounds in relation to control wines. A large influence of the grape variety in the results of the PCM has been reported. In fact, those authors did not find a significant influence on the length of the treatment (4–8 days) as was also found in wines of the Bobal variety in the same area []. De Santis and Frangipane (2010) [] studied Merlot grapes in Umbria (central Italy) and verified that prefermentative cold maceration increased the concentration of anthocyanins, mainly malvidin-3-glucoside, and in turn improved color stability. The concentration of volatile compounds, particularly esters, α-terpineol, geraniol, and 2-phenylethanol, increased by more than 20% with respect to traditional wine. In relation to wine aroma, Cai et al. (2014) found that cold-macerated Cabernet Sauvignon wines showed a decrease in some fusel alcohol contents, such as iso-butanol or iso-pentanol and an increase in some acetate esters. In general, the fruity, caramel, and floral aroma series were enhanced, while the chemical series were decreased by this treatment []. Despite these advantages, the PCM technique must be carried out carefully in order to obtain high-quality wines, especially in warm climates. It has to be considered, that an increase in tannin contents is usually observed with this treatment [], which may also increase the astringency and bitterness perception. For instance, Busse-Valverde et al. performed their studies on Monastrell, Syrah, and Cabernet Sauvignon varieties in Murcia (South-East Spain) and found that low-temperature prefermentative maceration produced wines with the highest concentration of proanthocyanidins from seeds [,]. On the other hand, Cejudo-Bastante et al. (2014) developed their studies in Southwest Spain on Syrah grapes and found a difference in the cold maceration time employed, being more effective at 12 days, producing darker, more saturated wines with a more intense bluish shade, and even causing a detriment of the properties when employing a shorter time due to color fade []. Nevertheless, cold soak has been reported to increase the anthocyanin profile and color stability in Tannat and Merlot wines of Uruguay respecting maceration enzyme prefermentative treatment [], leading to the idea that this procedure could be beneficial to wines that will be further submitted to bottle aging when presumably, there could be a decrease in free and total anthocyanin content due to direct and indirect condensation reactions with flavanols []. Cassasa et al. (2015) found that prefermentative macerated wines of six red grape cultivars—Barbera D’Asti, Cabernet Sauvignon, Malbec, Merlot, Pinot Noir, and Syrah—in Mendoza (Argentina) had a more saturated color with a higher red component than control wines at pressing []. One-year bottled wines still contained 22% more anthocyanins than control wines, even though tannins and total phenolics were not affected.
Considering this background, this work intends to study the effect of prefermentative maceration as a preventive technique to compensate for the effects of warm climate on pigments and volatile compound contents, color properties, and sensory characteristics during winemaking of some of the most frequently used varieties in warm climate regions, i.e., Tempranillo, Syrah, and Merlot, being all the early ripening varieties. Moreover, the effect of the modification of these parameters through bottling has been assessed in Tempranillo wine, which is the most representative red grape variety of Spain. The effect of long-term bottling on the wine properties is less reported on bibliography, despite being fundamental information for the manufacture of quality aged wines.
2. Materials and Methods
2.1. Grape Cultivars and Growing Conditions
Healthy vines of Vitis vinifera cv. Merlot, Tempranillo and Syrah, were used in these experiments and they were hand-harvested at their optimum point of healthiness and ripeness (the 8, 15 and 24th August, respectively). They were cultivated under the ‘Vinos de la Tierra de Cádiz’ appellation. The vineyard is located in the Jerez area (Southwest, Spain), so all varieties were grown under the same climatic conditions. This region is classified as Winkler Region IV, up to 2061 growing degree-days from 1st April until 31st October. Precipitation in 2018 was ca. 700 mm and 17.7 °C of average temperature. This area is characterized by gentle hills with limestone soil, which is rich in calcium carbonate, clay, and silica that provides high moisture-retaining properties and facilitates the spreading of plant roots.
2.2. Winemaking Procedure
For each variety four tanks were used, i.e., the control samples (not macerated and directly fermented) and the macerated ones, both in duplicate. The destemmed and crushed grapes were poured into 50 L stainless steel tanks (Ibercex, Spain), and were placed in a cold chamber with fixed temperature. Cold macerations took place at 4 °C for 10 days. To monitor the compositional changes during maceration, samples were taken every two days to determine their polyphenol content. In all cases, musts were adjusted to pH 3.5 by adding tartaric acid and also sulfited to 5 g/hL of SO2.
The alcoholic fermentation was performed by inoculating a commercial Saccharomyces cerevisiae strain of Fermirouge (Gist-Brocades, Delft, Netherland) using 20 g/hL dose. The fermentation temperature was fixed at 28 °C and the cap of the skins was pumped over daily for 6 days. Then, the grapes were pressed in a 90 L hydraulic press at 2 atm (Speidel, Germany) and the musts were left in the same tanks until the end of the alcoholic fermentation. At that point, the malolactic fermentation was carried out in all wines by inoculating a commercial Oenococcus Oeni strain (Lallemand, Montreal, Canada). Finally, all the wines were clarified using oenological gelatin (Laffort, France) at a 5 g/hL dose.
2.3. Aging in Bottle
From the varieties studied, Tempranillo wines were selected to evaluate the evolution of the characteristics over 12 months of bottling in 750 mL black bottles protected from light at an average temperature of 15 °C.
A total of 12 bottles of each type of wine stored (control and PCM) were stored. Samples were taken over storage to analyze the evolution of the wine characteristics, at time zero, at 3 months, 6 months, and 12 months of bottle aging. Samples were taken in triplicate, three different bottles each.
2.4. Analytical Determinations in Musts and Wines
Sugar content (°Bé), pH, total acidity, and volatile acidity of the musts and wines were measured according to the international methods for the analysis of wine (OIV, 2018). A digital micro-pH meter CRISON-2001® with automatic temperature compensation (Crison Instruments Corp., Barcelona, Spain) was used to determine pH levels. The alcoholic content was determined by distillation using a Density meter DMA 4500 (Anton Paar, Graz, Austria). All the analyses were done in triplicate.
2.5. Determination of Phenolic Compounds
The total polyphenols index (TPI) was determined using the Ribéreau-Gayon method (1970) [] by measuring the absorbance at 280 nm using a spectrophotometer Hitachi 200 (Hitachi Ltd., Tokyo, Japan). The total anthocyanin content (expressed as mg/L anthocyanins) and the tannin content (expressed as g/L tannin) in the musts and wines were determined using the methodology described by Ribéreau-Gayon and Stonestreet [].
2.6. Chromatic Characterization
The wine color was characterized by determining its color intensity, i.e., the sum of absorbances at 420 nm (yellow), 520 nm (red), and 620 nm (blue), and the hue of the wine, which is the ratio between the absorbances at 420 nm and 520 nm. All the measurements were carried out in triplicate. The CIELAB color parameters (L*, a*, b*) were determined according to the guidelines by the International Commission on Illumination, CIE (2004) considering a standard observer at a 10° viewing angle and the standard illuminant D65. The Euclidean distance between two points in a three-dimensional space defined by L*, a* and b* was used to calculate color differences (ΔE).
2.7. Determining Volatile Compounds
Both the free aroma and the glycosylated compounds were determined in all wines. To do so, the samples were extracted according to the Di Stefano method (1991) with some modifications. Briefly, 50 mL of the sample was diluted in distilled water at a ratio of 1:4. Then, 0.4 mL of internal standard (150 μg/L of 1-heptanol in 40% ethanol/water) was added. A solid-phase extraction was carried out using a 1 g DSC-18 cartridge (SUPELCO, Bellefonte PA, USA). First, the cartridge was conditioned with 3 mL of methanol (HPLC Quality, Panreac) and 5 mL of distilled water. Then, the sample was passed through the cartridge at 3 mL/min and it was subsequently washed with 12 mL of distilled water. The retained compounds in the cartridge were eluted in 10 mL of dichloromethane (GC Quality, Panreac, Barcelona, Spain), and subsequently dried with anhydrous Na2SO4. Samples were concentrated to a final volume of 200 μL under a stream of nitrogen at room temperature. The sample recovered was used to determine the free aroma compounds.
In order to analyze the glycosylated compounds, another elution was employed to release the compounds still retained in the cartridge. 5 mL methanol was passed through the cartridge and dissolved in 25 mL of 0.2 M citrate-phosphate buffer (pH = 5) with 1 mg of an enzymatic preparation of glucosidase (Rapidase AR 200, DSM Food Specialties, Heerlen, The Netherlands). Samples were then maintained at 40 °C for 24 h, in order to liberate the bound aroma compounds. Afterward, the same internal standard was added, and the methodology previously described for the free aroma was again performed.
All samples were analyzed by gas chromatography/mass spectrometry (GC-MS) on a Voyager (Thermoquest, Austin, TX, USA) system equipped with a Supelcowax 10 column (60 m × 0.32 mm, film thickness 0.50 μm), with the detector and injector at 250 °C. The column temperature was programmed from a valley of 40 °C (5 min) to 200 °C (ramp 2 °C/min) and a plateau of 200 °C (5 min). Samples (2 µL) were injected in splitless mode (40 s) with helium as the carrier gas at a flow rate of 1 mL/min. The detection was performed using electron impact mode at 70 eV in the mass spectrometer. The mass was scanned from a ratio m/z of 45 to 400 at a scan rate of 1 scan/s.
Identification of volatile compounds was achieved using the GC-MS retention indices (Authentic Chemicals Data Base) and by comparison to the mass spectra (Authentic Chemicals and Xcalibur Spectral Library Collection). All of the volatile compound standards used for the identification and quantification were provided by Sigma-Aldrich (St. Louis, MI, USA).
2.8. Sensory Analysis
Sensory evaluation of wines was performed by an eight-member trained expert panel in a certified tasting room designed in accordance with ISO 8589 (2007) regulations, using standard glasses (ISO 3591, 1977). The experts (5 males and 3 females, aged 35 to 60 years) were selected among oenologists from local wineries and wine researchers and trained weekly for 3 months.
During the first phase of the training (1 month), the judges started to work with ten sensory attributes that were finally reduced to eight (limpidity, appearance, aroma intensity, aroma quality, taste intensity, taste quality, persistence and overall quality). During the second part of the training (2 months), the judges quantified the intensity of each attribute in different samples, rating them on a discrete and numeric scale from 0 to 10, according to ISO 4121 (2003). Those samples were selected among red, young wines of the protected geographical indication (PGI) “Vinos de la Tierra de Cádiz”, according to the samples to be evaluated. As references 25 wines provided, with their scores, by local wineries were used that were previously evaluated in wine competitions carried out with the regulation of OIV (OIV, 2009).
Each sample was presented more than once and in a different order. After each session, the judges compared and accorded their scores.
The panel’s performance was evaluated on the basis of repeatability, reproducibility and discrimination, according to ISO 8586 (2014). For sample evaluation, the wines were differently coded and randomized across panelists. Wine samples were stored at 12 °C and served at 15 °C (20 mL) in glasses lidded by means of a watch-glass to minimize volatile component losses. Each wine sample was tasted twice by using a tasting sheet developed with the eight trained terms, scored from 0 to 10.
2.9. Statistical Analysis
Analysis of variance and media separation were performed.
The influence of cold maceration in the composition of the resulting wines was evaluated by means of an analysis of variance (ANOVA) of each variable with two factors (grape variety and treatment) by Tukey’s Test at 95% of significance. Also, the relation between wine components in these wines was studied by means of a principal component analysis (PCA). The statistical software Statgraphics Centurion XVIII version 18.1.12 (Statpoint Technologies, Inc., Warrenton, VA, USA) was used. All measurements were done in triplicate.
3. Results and Discussion
3.1. Musts and Wines Characterization
Table 1 shows the general parameters analyzed both in musts and wines. As expected, the PCM does not significantly affect the sugar content of the musts. However, it slightly increases pH to 0.2 or 0.3 units and reduces their total acidity by the same magnitude since this longer maceration increases both the extraction of cations from grape solids and the neutralization of acids []. It can also be seen in Table 1, that the alcoholic strength of the wines from PCM musts is significantly 0.3 or 0.4% higher than the control wines in all the grape varieties studied. Finally, pH and total acidity differences in wines are similar to those found in musts. Merlot and Syrah varieties did not show statistical differences in the volatile acidity values of wines, while Tempranillo did, significantly increasing the value. However, it did not exceed 0.35 g acetic acid/L, presenting a normal value.

Table 1.
General parameters of musts and wines.
3.2. Influence on the Phenolic Contents and Color of Wines
All PCM wines present a noticeable increment of phenolic content in all varieties studied (Table 2), although differences between them have been observed. The increment can range from 2.4% of tannins in Merlot, to more than 20.7% anthocyanins in Syrah, which agrees with other results reported regarding the Syrah and Tempranillo varieties [,]. On the other hand, color intensity, hue and CIELAB color coordinates were analyzed for PCM wines as well as their controls for each grape variety under study. It can be seen that the color intensity of PCM wines was significantly increased by more than 10% in all the studied varieties.

Table 2.
Phenolic composition of the wines. Superscripts on the same row indicate significant differences among samples (p < 0.05) analyzed by Tukey’s multiple range test.
Regarding CIELAB color coordinates of the PCM wines a significant reduction of around 5 points in a* and b* has been registered for the three varieties, which implies a shift of color from the red zone towards the blue and violet zone, and also a reduction in the yellow and orange component. Moreover, the L* coordinate also decreases significantly in the three varieties after the treatment. This implies a decrease in the white component of the color and a clearer perception of their own colors. With the aim of evaluating the colorimetric differences between the control and the PCM wines, the mean color differences (ΔE*) among both kinds of wines for each variety was calculated. The results obtained were 32.60 ± 0.68 points for Tempranillo, 24.33 ± 0.84 for Syrah and 22.06 ± 1.01 points for Merlot. These values are in agreement with other results obtained in Syrah in Andalucía (South of Spain) [], where a decrease in lightness (L*) and hue (hab) was reported. Taking into account that ΔE* of more than 3 CIELAB units indicates color differences visible to the naked eye, it could be affirmed that PCM causes distinguishable changes in wine visual features, the effect being higher in Tempranillo wines (Figure 1).

Figure 1.
CIELAB representation of the samples and CIELAB color differences (ΔE) between pairs of samples.
3.3. Influence on the Aromatic Content
Table 3 shows the 52 compounds analyzed together with their aromatic descriptors, odor thresholds, and concentrations. They are classified into six groups: “C-6 alcohols and aldehydes”, “other alcohols and aldehydes”, “phenolic derivatives”, “terpenes and derivatives”, “norisoprenoids”, “esters”, and “lactones and enolones”. Additionally, aromas have been grouped into nine general aromatic series, i.e., herbaceous (H), floral (FL), fruity (F), red fruits (RF), spiced (S), sweet (SW), balsamic (B), oxidized (O) and nuts (N). As can be seen, there is a general increase in all series in the three varieties, with the exception of balsamic, oxidized and nuts that already have low contribution in the non-macerated wines. All other series are displayed in Figure 2. In the herbaceous series, there is a slight rise for the three varieties, due to a small increment in most detected compounds. Although herbaceous aromas are not generally desirable in wines, this increase is moderate and always lower than that observed in the rest of the studied series, so it is predictable that it will not have a negative influence on the overall aroma of the wines made with the PCM technique. On the other hand, the great drop in [E] 2-hexenal in the Merlot variety is noteworthy. This compound is not detected in the other two varieties.

Table 3.
The aromatic composition of the wines. Values in μg/L.

Figure 2.
Aromatic series in the wines.
In the floral series, a general increase is observed, due to phenylethyl and benzyl alcohols. The first one is in large quantities in all the studied varieties and above its odor threshold. It should be mentioned that the Syrah variety presents a greater number of compounds in the floral series even in the control wine, which constitutes a difference in its aromatic profile, and that all of them (terpenes and norisoprenoids) increase with PCM, highlighting the β-ionone, which is considered to be responsible for its characteristic violet aroma. Only an alcohol, 1-octanol, decreases in the floral series in two of the three studied varieties.
In the fruity series, many esters significantly increase, especially ethyl hexanoate and phenyl ethyl acetate. Also, two terpenes, citronellol, and limonene have a slight increase. It is noted, likewise, a decrease in ethyl succinate in the three studied varieties. A total of five compounds (esters) associated with red fruit aroma have been identified and all of them increase in general, highlighting ethyl isobutyrate, ethyl isovalerate, and ethyl 2-methylbutyrate. They increase in the three studied varieties (except the last one in the Syrah variety because it is not detected in this case).
In the case of the spiced series, only three compounds associated with this descriptor have been identified and not all of them are in the three studied varieties. Two phenolic derivatives are present in considerable amounts in certain varieties, that is eugenol in Tempranillo, and guaiacol in Syrah, resulting in differentiating elements among the three studied varieties.
Regarding the sweet series, although six compounds associated with this descriptor have been identified, only two of them—furaneol and homofuraneol—are above their odor threshold in Merlot wines. The γ-butyrolactone is the lactone in higher concentration, although under its odor threshold. It diminishes in two of the studied varieties, being increased only in the Syrah variety.
Only one representative compound associated with the oxidized series have been detected in the Merlot variety, i.e., methional, also increasing after maceration. The rest of them appear in low concentrations and under their odor threshold.
This general increase in wine aroma compounds and in particular in varietal compounds has been observed in other studies [,].
If analyzing the results of color and polyphenol content, and the global content in the different aromatic families in a PCA plot (95% of variance) 82% of the variance in the data can be explained (Figure 3). As can be seen, PCM produces in all cases, a large increase in component 2, related to the variables color intensity, IPT, tannins, phenolic derivatives, and terpenes, and a reduction in color hue. PCM samples also experience a small reduction in component 1 related to an increment in anthocyanins, norisoprenoids, and esters. These facts summarize the positive influence of PCM on the composition of the resulting wines from the three varieties in this study, as described by Aleixandre-Tudo and du Toit (2018) [].

Figure 3.
Scores of the samples and variables in the plane are defined by the two principal components. Young wines of M: merlot; S: Syrah; T: Tempranillo.
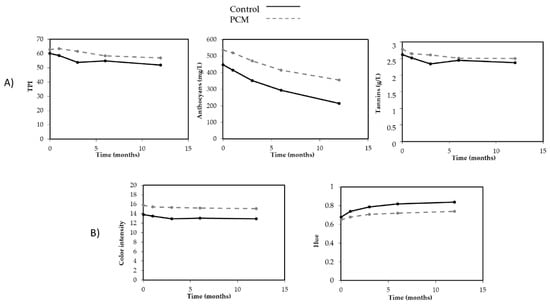
3.4. Aging in Bottle
All three varieties had similar tendencies in the evolution of the parameters studied, so the impact of the PCM process during bottling was studied in the Tempranillo wines with aging in the bottle (12 months), since this variety has an intermediate behavior. The phenolic compounds, color properties (Figure 4), and aromatic profile (Table 4) have been studied.

Figure 4.
Evolution of phenolic compounds and color characteristics with aging time in bottle. (A) Phenolic compounds and (B) Color properties.

Table 4.
Aromatic composition of Tempranillo wines during bottling. Values are expressed as μg/L.
As can be observed, the total content of phenolic compounds, as well as anthocyanin and tannin content (Figure 4A), decreases with aging. Similar results were observed regarding the color parameters (Figure 4B). The decrease in color intensity and the increase in hue occur similarly in both types of wine (PCM and control), as expected after the aging in the bottle. In general, it can be seen that at 12 months, the difference between PCM and control wines is similar to that obtained in freshly bottled wines, so the effect of the PCM has a significant effect throughout the aging in the bottle.
The evolution of the aroma compounds is shown in Table 4. In general, it can be observed that the degradation and formation of different aroma compounds is a result of numerous reactions, which involve volatile and non-volatile compounds, and are influenced mainly by the low quantities of oxygen inside the bottle []. Nevertheless, in PCM wines the production rate of certain compounds is higher—as in the case of benzyl alcohol or some norisoprenoids—than the decreasing rate of other compounds, such as some terpenes, so it is perceived as an overall improvement of aroma in PCM wines (see Section 3.5). When analyzed in detail, C6 alcohols and aldehydes have experienced a very marked evolution over time, together with phenolic derivatives, in particular, benzyl alcohol, eugenol, guaiacol, and vanillin, as well as the terpenic fraction, which even experienced the formation of new compounds probably due to the progressive release of some of the glycosylated precursors. Citronellol, α-terpineol, limonene, p-menthenol and eucalyptol are present in the grape and control wine, while the terpens of higher oxidation state, have been generated during bottling, i.e., linalool oxide and hydroxide; 2,6-dimethyl-3,7-octadien-2,6-diol (hotrienol), and farnesol. A considerable decrease in the content of β-damascenone and β-ionone over time, and the appearance of other norisoprenoid and derivative compounds, such as vitispiran, actinidiol, and 1,1,6-trimethyl-1,2-dihydronaphthalene (TDN) associated with more evolved structures and aromas. Regarding esters content, two tendencies have been observed; on the one hand, a significant decrease in acetates and straight chain ethyl esters, such as isoamyl acetate or ethyl hexanoate, and on the other hand, an increase in some branched ethyl esters, such as ethyl 2 and 3-methyl butyrate (ethyl isovaleriate), and diethyl succinate. In the wines obtained by prefermentative cold maceration, we can see how all of these compounds/groups appear in greater quantity than in the control wine after 12 months of bottle aging, except in the case of benzaldehyde and diethyl succinate. These results are in general in consonance with those found by some authors when they studied the aging in the bottle on the aroma of white wine varieties such as Posip and Zalema [,]. An increase in concentrations of ethyl-2-methyl butyrate and diethyl succinate was also reported by Verzeletti et al. (2016) []).
If the aroma compounds are represented in a PCA (Figure 5), three components collect 89% of the variance. It can be seen that aging time causes a reduction in component 1 due to the decrease in IPT, tannins, anthocyanins, color intensity, and phenolic derivatives, and an increase in color hue, b* and esters, and an increase in component 2 due to an increase in terpenes, norisoperenoids, and C6 alcohols and aldehydes. Regarding the effect of prefermentative cold maceration, in all cases, we can observe an increment in both components 1 and 2 in PCM wines compared to control wines (with the aging). This is due mainly to an increment in tannins, anthocyanin, color intensity, phenolic derivatives, terpenes, norisoprenoids, C6-alcohols, and aldehydes, and a reduction in color hue.

Figure 5.
Scores of the samples and variables in the plane are defined by the two principal components. Tempranillo wines with aging time in bottle. T0: time zero; T3: 3 months after bottling; T6: 6 months after bottling; T12: 12 months after bottling.
3.5. Sensory Analysis of Wines
The scores obtained in the sensory analysis of the different wines are shown in Figure 6. As can be seen, for the three varieties, PCM obtained better scores for visual appearance, aroma intensity, aroma quality and overall quality. No large differences were found in mouth sensory attributes and persistence.

Figure 6.
Sensory analysis of control and PCM bottled wines of the three studied varieties, and after 12 months of bottle aging (only in Tempranillo variety).
For Tempranillo wines, in order to study the PCM effect during bottle aging, sensory analysis of the wines was also performed after 12 months. In this case, we could observe a general reduction in the valued parameters with time in both control and PCM wines, which is common in wines without oak aging. However, PCM wine is again better valued than control wine after 12 months in the same parameters (visual, aroma intensity and quality), showing a similar tendency as that observed in the non-bottle aged Tempranillo. This would confirm the benefit of the technique in sensory terms during storage.
4. Conclusions
Prefermentative cold maceration produces an improvement in polyphenols and aromatic composition and in chromatic characteristics of the varieties Tempranillo, Merlot, and Syrah grown in warm climate areas which leads to an improvement of their sensory appreciation. During PCM, an increase in total polyphenol index, anthocyanins, and tannins of around 10% takes place, and this increment is maintained until the end of the alcoholic fermentation. The color intensity and a more bluish hue that is visible to the naked eye is also enhanced. Wine volatile compounds were classified in aromatic series depending on their aromatic profile, and all such series increased their concentration during the process (Table 3). As a consequence, the wines that had been subjected to PCM obtained better scores for appearance, aroma, and overall quality in sensory analysis, although their taste score remained invariable (Figure 6). Furthermore, evolution of wine characteristics during 12 months of bottle aging has been studied in the Tempranillo variety. Results confirm that the advantages of this technique remain throughout the bottle aging period under study, showing similar trends in the PCA classification, but with higher scores in components 1 and 2 (Figure 5), which is also reflected in the sensory perception. Consequently, it can be stated that prefermentative cold maceration is a valuable method to improve the characteristics of red wines in warm climates.
Author Contributions
Conceptualization, J.G. and I.C.; methodology, C.L. and J.G.; validation, J.G. and I.C.; formal analysis, C.L.; investigation, C.L.; data curation, J.G. and C.C.; writing—original draft preparation, C.C.; writing—review and editing, C.C. and C.L.; supervision, J.G. All authors have read and agreed to the published version of the manuscript.
Funding
This research received no external funding.
Data Availability Statement
Not applicable.
Conflicts of Interest
The authors declare no conflict of interest.
References
- Pons, A.; Allamy, L.; Schüttler, A.; Rauhut, D.; Thibon, C.; Darriet, P. What is the expected impact of climate change on wine aroma compounds and their precursors in grape? OENO One 2017, 51, 141–146. [Google Scholar] [CrossRef]
- Maza, M.A.; Martínez, J.M.; Delso, C.; Camargo, A.; Raso, J.; Álvarez, I. Pef-dependency on polyphenol extraction during maceration/fermentation of grenache grapes. Innov. Food Sci. Emerg. Technol. 2020, 60, 102303. [Google Scholar] [CrossRef]
- Martínez-Lapuente, L.; Guadalupe, Z.; Ayestarán, B.; Pérez-Porras, P.; Bautista-Ortín, A.B.; Gómez-Plaza, E. Effects of combining high power ultrasound and enological enzymes on the composition of polysaccharides in red wine. LWT 2022, 170, 114060. [Google Scholar] [CrossRef]
- Ntuli, R.G.; Saltman, Y.; Ponangi, R.; Jeffery, D.W.; Bindon, K.; Wilkinson, K.L. Impact of fermentation temperature and grape solids content on the chemical composition and sensory profiles of cabernet sauvignon wines made from flash détente treated must fermented off-skins. Food Chem. 2022, 369, 130861. [Google Scholar] [CrossRef]
- Junqua, R.; Carullo, D.; Ferrari, G.; Pataro, G.; Ghidossi, R. Ohmic heating for polyphenol extraction from grape berries: An innovative prefermentary process. OENO One 2021, 55, 39–51. [Google Scholar] [CrossRef]
- Pérez-Porras, P.; Gómez-Plaza, E.; Muñoz García, R.; Díaz-Maroto, M.C.; Moreno-Olivares, J.D.; Bautista-Ortín, A.B. Prefermentative grape microwave treatment as a tool for increasing red wine phenolic content and reduce maceration time. Appl. Sci. 2022, 12, 8164. [Google Scholar] [CrossRef]
- Jambrak, A.R.; Šimunek, M.; Petrović, M.; Bedić, H.; Herceg, Z.; Juretić, H. Aromatic profile and sensory characterisation of ultrasound treated cranberry juice and nectar. Ultrason. Sonochemistry 2017, 38, 783–793. [Google Scholar] [CrossRef]
- Zhang, Q.-A.; Shen, Y.; Fan, X.-H.; García Martín, J.F. Preliminary study of the effect of ultrasound on physicochemical properties of red wine. CyTA-J. Food 2016, 14, 55–64. [Google Scholar] [CrossRef]
- Aleixandre-Tudo, J.L.; du Toit, W. Cold maceration application in red wine production and its effects on phenolic compounds: A review. LWT 2018, 95, 200–208. [Google Scholar] [CrossRef]
- Álvarez, I.; Aleixandre, J.L.; García, M.J.; Lizama, V. Impact of prefermentative maceration on the phenolic and volatile compounds in monastrell red wines. Anal. Chim. Acta 2006, 563, 109–115. [Google Scholar] [CrossRef]
- Aleixandre, J.L.; Sánchez, N.; Aleixanre-Tudó, J.L.; Lizama, V.; García, M.J.; Alvarez, I. Phenolic composition of bobal red wines elaborated with pre-fermentative cold maceration. Ciência E Técnica Vitivinícola 2012, 27, 11. [Google Scholar]
- Santis, D.D.; Frangipane, M.T. Effect of prefermentative cold maceration on the aroma and phenolic profiles of a merlot red wine. Ital. J. Food Sci. 2010, 22, 47–53. [Google Scholar]
- Cai, J.; Zhu, B.Q.; Wang, Y.H.; Lu, L.; Lan, Y.B.; Reeves, M.J.; Duan, C.Q. Influence of pre-fermentation cold maceration treatment on aroma compounds of cabernet sauvignon wines fermented in different industrial scale fermenters. Food Chem. 2014, 154, 217–229. [Google Scholar] [CrossRef]
- Casassa, L.F.; Bolcato, E.A.; Sari, S.E.; Barda, N. Effects of maceration length after prefermentative cold soak: Detailed chromatic, phenolic and sensory composition of cabernet sauvignon, malbec and merlot wines. J. Food Compos. Anal. 2021, 104, 104168. [Google Scholar] [CrossRef]
- Busse-Valverde, N.; Gómez-Plaza, E.; López-Roca, J.M.; Gil-Muñoz, R.; Bautista-Ortín, A.B. The extraction of anthocyanins and proanthocyanidins from grapes to wine during fermentative maceration is affected by the enological technique. J. Agric. Food Chem. 2011, 59, 5450–5455. [Google Scholar] [CrossRef] [PubMed]
- Busse-Valverde, N.; Gómez-Plaza, E.; López-Roca, J.M.; Gil-Muñoz, R.; Fernández-Fernández, J.I.; Bautista-Ortín, A.B. Effect of different enological practices on skin and seed proanthocyanidins in three varietal wines. J. Agric. Food Chem. 2010, 58, 11333–11339. [Google Scholar] [CrossRef] [PubMed]
- Cejudo-Bastante, M.J.; Gordillo, B.; Hernanz, D.; Escudero-Gilete, M.L.; González-Miret, M.L.; Heredia, F.J. Effect of the time of cold maceration on the evolution of phenolic compounds and color of syrah wines elaborated in warm climate. Int. J. Food Sci. Technol. 2014, 49, 1886–1892. [Google Scholar] [CrossRef]
- González-Neves, G.; Favre, G.; Piccardo, D.; Gil, G. Anthocyanin profile of young red wines of tannat, syrah and merlot made using maceration enzymes and cold soak. Int. J. Food Sci. Technol. 2016, 51, 260–267. [Google Scholar] [CrossRef]
- Ćurko, N.; Ganić, K.K.; Tomašević, M.; Gracin, L.; Jourdes, M.; Teissedre, P.-L. Effect of enological treatments on phenolic and sensory characteristics of red wine during aging: Micro-oxygenation, sulfur dioxide, iron with copper and gelatin fining. Food Chem. 2021, 339, 127848. [Google Scholar] [CrossRef]
- Casassa, L.F.; Bolcato, E.A.; Sari, S.E. Chemical, chromatic, and sensory attributes of 6 red wines produced with prefermentative cold soak. Food Chem. 2015, 174, 110–118. [Google Scholar] [CrossRef]
- Ribereau-Gayon, J. Le dosage des composés phénoliques totaux dans les vins rouges (The determination of total phenolic compounds in red wines). Chem. Anal. 1970, 52, 4. (In French) [Google Scholar]
- Ribereau-Gayon, P.; Stonestreet, E. Dógase des tannins du vin rouges et détermination du leur structure(Determination of the tannins in red wine and their structure)(French language). Chim. Anal. 1966, 48, 8. [Google Scholar]
- Gordillo, B.; López-Infante, M.I.; Ramírez-Pérez, P.; González-Miret, M.L.; Heredia, F.J. Influence of prefermentative cold maceration on the color and anthocyanic copigmentation of organic tempranillo wines elaborated in a warm climate. J. Agric. Food Chem. 2010, 58, 6797–6803. [Google Scholar] [CrossRef]
- Aleixandre-Tudo, J.L.; du Toit, W. Understanding cold maceration in red winemaking: A batch processing and multi-block data analysis approach. LWT 2019, 111, 147–157. [Google Scholar] [CrossRef]
- Caillé, S.; Samson, A.; Wirth, J.; Diéval, J.-B.; Vidal, S.; Cheynier, V. Sensory characteristics changes of red grenache wines submitted to different oxygen exposures pre and post bottling. Anal. Chim. Acta 2010, 660, 35–42. [Google Scholar] [CrossRef] [PubMed]
- Tomašević, M.; Gracin, L.; Ćurko, N.; Kovačević Ganić, K. Impact of pre-fermentative maceration and yeast strain along with glutathione and SO2 additions on the aroma of Vitis vinifera L. Pošip wine and its evaluation during bottle aging. LWT-Food Sci. Technol. 2017, 81, 67–76. [Google Scholar] [CrossRef]
- Recamales, A.F.; Gallo, V.; Hernanz, D.; González-Miret, M.L.; Heredia, F.J. Effect of time and storage conditions on major volatile compounds of zalema white wine. J. Food Qual. 2011, 34, 100–110. [Google Scholar] [CrossRef]
- Verzeletti, A.; Echeverrigaray, S.; Cardoso, A.; Vanderlinde, R.; Delamare, A.P.L. Evolution of aromatic compounds during the second fermentation and aging of brazilian sparkling wine. BIO Web Conf. 2016, 7, 02019. [Google Scholar] [CrossRef]
Disclaimer/Publisher’s Note: The statements, opinions and data contained in all publications are solely those of the individual author(s) and contributor(s) and not of MDPI and/or the editor(s). MDPI and/or the editor(s) disclaim responsibility for any injury to people or property resulting from any ideas, methods, instructions or products referred to in the content. |
© 2023 by the authors. Licensee MDPI, Basel, Switzerland. This article is an open access article distributed under the terms and conditions of the Creative Commons Attribution (CC BY) license (https://creativecommons.org/licenses/by/4.0/).