Association between Access to Electronic Devices in the Home Environment and Cardiorespiratory Fitness in Children
Abstract
1. Introduction
2. Materials and Methods
2.1. Participants and Setting
2.2. Instruments/Measures
2.2.1. Screen-time and Access to Screens
2.2.2. Health Related Fitness Assessment
2.2.3. Body Mass Index
2.3. Procedures
2.4. Statistical Analysis
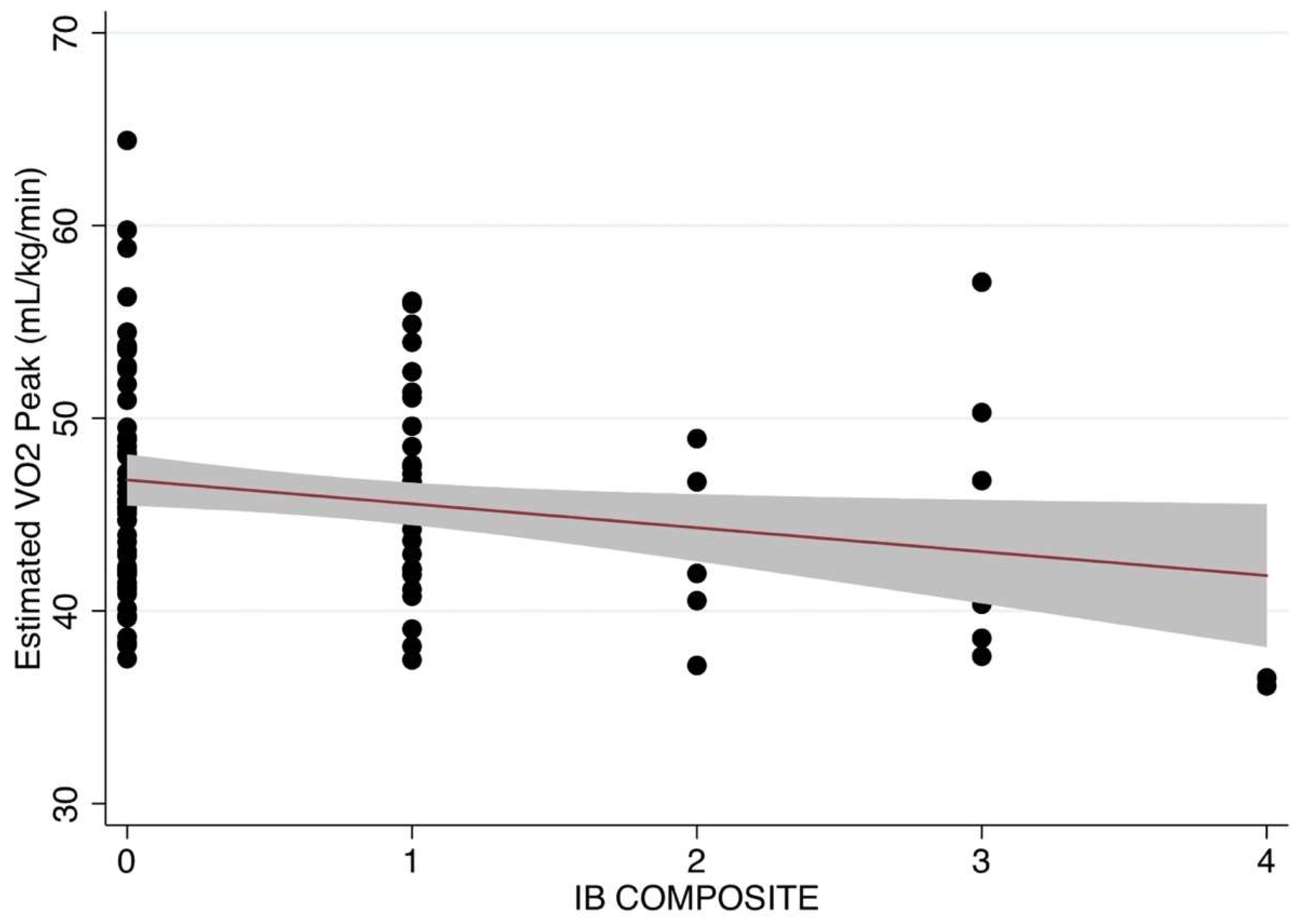
3. Results
4. Discussion
5. Conclusions
Author Contributions
Funding
Conflicts of Interest
References
- U.S. Department of Health and Human Services. 2008 Physical Activity Guidelines for Americans (ODPHP Publication No. U0036). 2008. Available online: https://health.gov/paguidelines/pdf/paguide.pdf (accessed on 12 September 2018).
- World Health Organization. Global Recommendations on Physical Activity for Health. 2010. Available online: http://apps.who.int/iris/bitstream/10665/44399/1/9789241599979_eng.pdf (accessed on 12 September 2018).
- American Academy of Pediatrics. Children, Adolescents, and Television. 2001. Available online: http://pediatrics.aappublications.org/content/pediatrics/107/2/423.full.pdf (accessed on 12 September 2018).
- Eaton, D.K.; Kann, L.; Kinchen, S.; Shanklin, S.; Ross, J.; Hawkins, J.; Lim, C. Youth risk behavior surveillance—United States, 2007. In Morbidity and Mortality Weekly Report; Surveillance Summaries; Centers for Disease Control and Prevention (CDC): Washington, DC, USA, 2008; Volume 57, pp. 1–131. [Google Scholar]
- Ekelund, U.; Luan, J.A.; Sherar, L.B.; Esliger, D.W.; Griew, P.; Cooper, A.; International Children’s Accelerometry Database (ICAD) Collaborators. Moderate to vigorous physical activity and sedentary time and cardiometabolic risk factors in children and adolescents. JAMA 2012, 307, 704–712. [Google Scholar] [CrossRef] [PubMed]
- Steele, R.M.; Van Sluijs, E.M.; Cassidy, A.; Griffin, S.J.; Ekelund, U. Targeting sedentary time or moderate-and vigorous-intensity activity: Independent relations with adiposity in a population-based sample of 10-y-old British children. Am. J. Clin. Nutr. 2009, 90, 1185–1192. [Google Scholar] [CrossRef] [PubMed]
- Costigan, S.A.; Barnett, L.; Plotnikoff, R.C.; Lubans, D.R. The health indicators associated with screen-based sedentary behavior among adolescent girls: A systematic review. J. Adolesc. Health 2013, 52, 382–392. [Google Scholar] [CrossRef] [PubMed]
- Mota, J.; Vale, S. Associations between sleep quality with cardiorespiratory fitness and BMI among adolescent girls. Am. J. Hum. Biol. 2010, 22, 473–475. [Google Scholar] [CrossRef] [PubMed]
- Gordon-Larsen, P.; Nelson, M.C.; Popkin, B.M. Longitudinal physical activity and sedentary behavior trends: Adolescence to adulthood. Am. J. Prev. Med. 2004, 27, 277–283. [Google Scholar] [CrossRef] [PubMed]
- Telama, R.; Yang, X.; Laakso, L.; Viikari, J. Physical activity in childhood and adolescence as predictor of physical activity in young adulthood. Am. J. Prev. Med. 1997, 13, 317–323. [Google Scholar] [CrossRef]
- Fakhouri, T.H.; Hughes, J.P.; Brody, D.J.; Kit, B.K.; Ogden, C.L. Physical activity and screen-time viewing among elementary school–aged children in the United States from 2009 to 2010. JAMA Pediatr. 2013, 167, 223–229. [Google Scholar] [CrossRef] [PubMed]
- Sisson, S.B.; Broyles, S.T.; Baker, B.L.; Katzmarzyk, P.T. Screen time, physical activity, and overweight in US youth: National Survey of Children’s Health 2003. J. Adolesc. Health 2010, 47, 309–311. [Google Scholar] [CrossRef]
- De Jong, E.; Visscher, T.L.S.; HiraSing, R.A.; Heymans, M.W.; Seidell, J.C.; Renders, C.M. Association between TV viewing, computer use and overweight, determinants and competing activities of screen time in 4-to 13-year-old children. Int. J. Obes. 2013, 37, 47–53. [Google Scholar] [CrossRef]
- Sirard, J.R.; Laska, M.N.; Patnode, C.D.; Farbakhsh, K.; Lytle, L.A. Adolescent physical activity and screen time: Associations with the physical home environment. Int. J. Behav. Nutr. Phys. Act. 2010, 7, 82. [Google Scholar] [CrossRef]
- Sallis, J.F.; Cervero, R.B.; Ascher, W.; Henderson, K.A.; Kraft, M.K.; Kerr, J. An ecological approach to creating active living communities. Annu. Rev. Public Health 2006, 27, 297–322. [Google Scholar] [CrossRef] [PubMed]
- LeBlanc, A.G.; Katzmarzyk, P.T.; Barreira, T.V.; Broyles, S.T.; Chaput, J.P.; Church, T.S.; Kurpad, A. Correlates of total sedentary time and screen time in 9–11-year-old children around the world: The international study of childhood obesity, lifestyle and the environment. PLoS ONE 2015, 10, e0129622. [Google Scholar] [CrossRef] [PubMed]
- Tandon, P.S.; Zhou, C.; Sallis, J.F.; Cain, K.L.; Frank, L.D.; Saelens, B.E. Home environment relationships with children’s physical activity, sedentary time, and screen time by socioeconomic status. Int. J. Behav. Nutr. Phys. Act. 2012, 9, 88. [Google Scholar] [CrossRef] [PubMed]
- Delmas, C.; Platat, C.; Schweitzer, B.; Wagner, A.; Oujaa, M.; Simon, C. Association between television in bedroom and adiposity throughout adolescence. Obesity 2007, 15, 2495–2503. [Google Scholar] [CrossRef] [PubMed]
- Barr-Anderson, D.J.; Van Den Berg, P.; Neumark-Sztainer, D.; Story, M. Characteristics associated with older adolescents who have a television in their bedrooms. Pediatrics 2008, 121, 718–724. [Google Scholar] [CrossRef] [PubMed]
- Hale, L.; Guan, S. Screen time and sleep among school-aged children and adolescents: A systematic literature review. Sleep Med. Rev. 2015, 21, 50–58. [Google Scholar] [CrossRef] [PubMed]
- Hysing, M.; Pallesen, S.; Stormark, K.M.; Jakobsen, R.; Lundervold, A.J.; Sivertsen, B. Sleep and use of electronic devices in adolescence: Results from a large population-based study. BMJ Open 2015, 5, e006748. [Google Scholar] [CrossRef] [PubMed]
- Mitchell, J.A.; Rodriguez, D.; Schmitz, K.H.; Audrain-McGovern, J. Greater screentime is associated with adolescent obesity: A longitudinal study of the BMI distribution from ages 14 to 18. Obesity 2013, 21, 572–575. [Google Scholar] [CrossRef]
- Maitland, C.; Stratton, G.; Foster, S.; Braham, R.; Rosenberg, M. The Dynamic Family Home: A qualitative exploration of physical environmental influences on children’s sedentary behaviour and physical activity within the home space. Int. J. Behav. Nutr. Phys. Act. 2014, 11, 157. [Google Scholar] [CrossRef]
- Spurrier, N.J.; Magarey, A.A.; Golley, R.; Curnow, F.; Sawyer, M.G. Relationships between the home environment and physical activity and dietary patterns of preschool children: A cross-sectional study. Int. J. Behav. Nutr. Phys. Act. 2008, 5, 31. [Google Scholar] [CrossRef]
- Tandon, P.; Grow, H.M.; Couch, S.; Glanz, K.; Sallis, J.F.; Frank, L.D.; Saelens, B.E. Physical and social home environment in relation to children’s overall and home-based physical activity and sedentary time. Prev. Med. 2014, 66, 39–44. [Google Scholar] [CrossRef] [PubMed]
- Appelhans, B.M.; Fitzpatrick, S.L.; Li, H.; Cail, V.; Waring, M.E.; Schneider, K.L.; Pagoto, S.L.; Whited, M.C.; Busch, A.M. The home environment and childhood obesity in low-income households: Indirect effects via sleep duration and screen time. BMC Public Health 2014, 14, 1160. [Google Scholar] [CrossRef] [PubMed]
- Arcan, C.; Hannan, P.J.; Fulkerson, J.A.; Himes, J.H.; Rock, B.H.; Smyth, M.; Story, M. Associations of home food availability, dietary intake, screen time and physical activity with BMI in young American-Indian children. Public Health Nutr. 2013, 16, 146–155. [Google Scholar] [CrossRef] [PubMed]
- Kao, S.C.; Westfall, D.R.; Parks, A.C.; Pontifex, M.B.; Hillman, C.H. Muscular and aerobic fitness, working memory, and academic achievement in children. Med. Sci. Sports Exerc. 2017, 49, 500–508. [Google Scholar] [CrossRef]
- Kao, S.C.; Drollette, E.S.; Scudder, M.R.; Raine, L.B.; Westfall, D.R.; Pontifex, M.B.; Hillman, C.H. Aerobic fitness is associated with cognitive control strategy in preadolescent children. J. Mot. Behav. 2017, 49, 150–162. [Google Scholar] [CrossRef] [PubMed]
- Scudder, M.R.; Federmeier, K.D.; Raine, L.B.; Direito, A.; Boyd, J.K.; Hillman, C.H. The association between aerobic fitness and language processing in children: Implications for academic achievement. Brain Cogn. 2014, 87, 140–152. [Google Scholar] [CrossRef]
- Chaddock-Heyman, L.; Erickson, K.I.; Kienzler, C.; King, M.; Pontifex, M.B.; Raine, L.B.; Kramer, A.F.; Hillman, C.H. The role of aerobic fitness in cortical thickness and mathematics achievement in preadolescent children. PLoS ONE 2015, 10, e0134115. [Google Scholar]
- Chaddock-Heyman, L.; Erickson, K.I.; Chappell, M.A.; Johnson, C.L.; Kienzler, C.; Knecht, A.; Hillman, C.H.; Drollette, E.S.; Raine, L.B.; Scudder, M.R.; et al. Aerobic fitness is associated with greater hippocampal cerebral blood flow in children. Dev. Cogn. Neurosci. 2016, 20, 52–58. [Google Scholar] [CrossRef]
- Silva, D.A.S.; Tremblay, M.; Pelegrini, A.; Silva, R.J.D.S.; de Oliveira, A.C.C.; Petroski, E.L. Association between aerobic fitness and high blood pressure in adolescents in Brazil: Evidence for criterion-referenced cut-points. Pediatric Exerc. Sci. 2016, 28, 312–320. [Google Scholar] [CrossRef]
- Högström, G.; Nordström, A.; Nordström, P. Aerobic fitness in late adolescence and the risk of early death: A prospective cohort study of 1.3 million Swedish men. Int. J. Epidemiol. 2015, 45, 1159–1168. [Google Scholar] [CrossRef]
- Rosenberg, D.; Sallis, J.F.; Kerr, J.; Maher, J.; Norman, G.J.; Durant, N.; Harris, S.K.; Saelens, B.E. Brief scales to assess physical activity and sedentary equipment in the home. Int. J. Behav. Nutr. Phys. Act. 2010, 7, 10. [Google Scholar] [CrossRef] [PubMed]
- Burns, R.D.; Hannon, J.C.; Brusseau, T.A.; Eisenman, P.A.; Saint-Maurice, P.F.; Welk, G.J.; Mahar, M.T. Cross-validation of aerobic capacity prediction models in adolescents. Pediatr. Exerc. Sci. 2015, 27, 404–411. [Google Scholar] [CrossRef] [PubMed]
- Morrow, J.R., Jr.; Martin, S.B.; Jackson, A.W. Reliability and validity of the FITNESSGRAM®: Quality of teacher-collected health-related fitness surveillance data. Res. Q. Exerc. Sport 2010, 81, S24–S30. [Google Scholar] [CrossRef] [PubMed]
- Aires, L.; Pratt, M.; Lobelo, F.; Santos, R.M.; Santos, M.P.; Mota, J. Associations of cardiorespiratory fitness in children and adolescents with physical activity, active commuting to school, and screen time. J. Phys. Act. Health 2011, 8, S198–S205. [Google Scholar] [CrossRef] [PubMed]
- Arango, C.M.; Parra, D.C.; Gómez, L.F.; Lema, L.; Lobelo, F.; Ekelund, U. Screen time, cardiorespiratory fitness and adiposity among school-age children from Monteria, Colombia. J. Sci. Med. Sport 2014, 17, 491–495. [Google Scholar] [CrossRef] [PubMed]
- Sandercock, G.R.; Ogunleye, A.A. Independence of physical activity and screen time as predictors of cardiorespiratory fitness in youth. Pediatr. Res. 2013, 73, 692–697. [Google Scholar] [CrossRef] [PubMed]
- Laurson, K.R.; Eisenmann, J.C.; Welk, G.J.; Wickel, E.E.; Gentile, D.A.; Walsh, D.A. Combined influence of physical activity and screen time recommendations on childhood overweight. J. Pediatr. 2008, 153, 209–214. [Google Scholar] [CrossRef] [PubMed]
- Kang, H.T.; Lee, H.R.; Shim, J.Y.; Shin, Y.H.; Park, B.J.; Lee, Y.J. Association between screen time and metabolic syndrome in children and adolescents in Korea: The 2005 Korean National Health and Nutrition Examination Survey. Diabetes Res. Clin. Pract. 2010, 89, 72–78. [Google Scholar] [CrossRef]
- Hardy, L.L.; Denney-Wilson, E.; Thrift, A.P.; Okely, A.D.; Baur, L.A. Screen time and metabolic risk factors among adolescents. Arch. Pediatr. Adolesc. Med. 2010, 164, 643–649. [Google Scholar] [CrossRef]
- Wethington, H.; Pan, L.; Sherry, B. The association of screen time, television in the bedroom, and obesity among school-aged youth: 2007 National Survey of Children’s Health. J. Sch. Health 2013, 83, 573–581. [Google Scholar] [CrossRef]
- Chang, A.M.; Aeschbach, D.; Duffy, J.F.; Czeisler, C.A. Evening use of light-emitting eReaders negatively affects sleep, circadian timing, and next-morning alertness. Proc. Natl. Acad. Sci. USA 2015, 112, 1232–1237. [Google Scholar] [CrossRef] [PubMed]
- Higuchi, S.; Nagafuchi, Y.; Lee, S.I.; Harada, T. Influence of light at night on melatonin suppression in children. J. Clin. Endocrinol. Metab. 2014, 99, 3298–3303. [Google Scholar] [CrossRef] [PubMed]
- Adachi-Mejia, A.M.; Edwards, P.M.; Gilbert-Diamond, D.; Greenough, G.P.; Olson, A.L. TXT me I’m only sleeping: Adolescents with mobile phones in their bedroom. Fam. Community Health 2014, 37, 252–257. [Google Scholar] [CrossRef] [PubMed]
- Lemola, S.; Perkinson-Gloor, N.; Brand, S.; Dewald-Kaufmann, J.F.; Grob, A. Adolescents’ electronic media use at night, sleep disturbance, and depressive symptoms in the smartphone age. J. Youth Adolesc. 2015, 44, 405–418. [Google Scholar] [CrossRef] [PubMed]
- Vernon, L.; Modecki, K.L.; Barber, B.L. Mobile phones in the bedroom: Trajectories of sleep habits and subsequent adolescent psychosocial development. Child Dev. 2018, 89, 66–77. [Google Scholar] [CrossRef]
- Gamble, A.L.; D’Rozario, A.L.; Bartlett, D.J.; Williams, S.; Bin, Y.S.; Grunstein, R.R.; Marshall, N.S. Adolescent sleep patterns and night-time technology use: Results of the Australian Broadcasting Corporation’s Big Sleep Survey. PLoS ONE 2014, 9, e111700. [Google Scholar] [CrossRef] [PubMed]
- Chaput, J.P.; Gray, C.E.; Poitras, V.J.; Carson, V.; Gruber, R.; Olds, T.; Weiss, S.K.; Connor Gorber, S.; Kho, M.E.; Sampson, M.; et al. Systematic review of the relationships between sleep duration and health indicators in school-aged children and youth. Appl. Physiol. Nutr. Metab. 2016, 41, S266–S282. [Google Scholar] [CrossRef] [PubMed]
- Chaput, J.P.; Leduc, G.; Boyer, C.; Bélanger, P.; LeBlanc, A.G.; Borghese, M.M.; Tremblay, M.S. Electronic screens in children’s bedrooms and adiposity, physical activity and sleep: Do the number and type of electronic devices matter. Can. J. Public Health 2014, 15, 273–279. [Google Scholar] [CrossRef]
- Santos, R.; Mota, J.; Okely, A.D.; Pratt, M.; Moreira, C.; Coelho-e-Silva, M.J.; Vale, S.; Sardinha, L.B. The independent associations of sedentary behaviour and physical activity on cardiorespiratory fitness. Br. J. Sports Med. 2014, 48, 1508–1512. [Google Scholar] [CrossRef] [PubMed]
- Borghese, M.M.; Tremblay, M.S.; Katzmarzyk, P.T.; Tudor-Locke, C.; Schuna, J.M.; Leduc, G.; Chaput, J.P.; Boyer, C.; LeBlanc, A.G. Mediating role of television time, diet patterns, physical activity and sleep duration in the association between television in the bedroom and adiposity in 10-year-old children. Int. J. Behav. Nutr. Phys. Act. 2015, 12, 60. [Google Scholar] [CrossRef] [PubMed]
- Dube, N.; Khan, K.; Loehr, S.; Chu, Y.; Veugelers, P. The use of entertainment and communication technologies before sleep could affect sleep and weight status: A population-based study among children. Int. J. Behav. Nutr. Phys. Act. 2017, 14, 97. [Google Scholar] [CrossRef] [PubMed]




| Total Sample (N = 106) | Girls (n = 56) | Boys (n = 50) | |
|---|---|---|---|
| Age | 9.7 (1.1) | 9.7 (1.1) | 9.8 (1.1) |
| BMI (kg/m2) | 18.3 (2.9) | 18.0 (3.0) | 18.7 (2.8) |
| PE Composite | 4.44 (2.9) | 4.43 (3.0) | 4.5 (2.9) |
| IB Composite | 0.73 (1.0) | 0.75 (1.1) | 0.72 (0.83) |
| IH Composite | 7.7 (3.7) | 7.8 (4.1) | 7.7 (3.2) |
| PACER Laps | 31.6 (16.0) | 29.6 (15.9) | 34.0 (16.0) |
| Estimated VO2 Peak (mL/kg/min) | 45.9 (5.6) | 45.2 (5.7) | 46.7 (5.4) |
| Outcome | Block | Predictor | b-Coefficient | 95% C.I. 1 | p Value |
|---|---|---|---|---|---|
| Estimated VO2 Peak | Block #1 | PE Composite 2 | −0.08 | −0.45, 0.28 | 0.640 |
| IB Composite 3 | −1.29 † | −2.49, −0.10 | 0.034 | ||
| IH Composite 4 | 0.05 | −0.27, 0.37 | 0.739 | ||
| Block #1 + Block #2 | PE Composite | −0.01 | −0.37, 0.36 | 0.964 | |
| IB Composite | −1.30 † | −2.46, −0.15 | 0.028 | ||
| IH Composite | 0.03 | −0.28, 0.34 | 0.847 | ||
| Boys 6 | 1.79 | −0.31, 3.89 | 0.093 | ||
| Age | −0.07 | −1.06, 0.93 | 0.893 | ||
| BMI 5 | −0.51 † | −0.89, −0.13 | 0.010 | ||
| PACER Laps | Block #1 | PE Composite | −0.19 | −1.25, 0.86 | 0.713 |
| IB Composite | −3.50 † | −6.91, −0.10 | 0.044 | ||
| IH Composite | 0.20 | −0.71, 1.11 | 0.661 | ||
| Block #1 + Block #2 | PE Composite | −0.02 | −1.11, 1.00 | 0.964 | |
| IB Composite | −3.70 † | −6.97, −0.41 | 0.028 | ||
| IH Composite | 0.09 | −0.79, 0.97 | 0.847 | ||
| Boys | 5.07 | −0.87, 11.01 | 0.093 | ||
| Age | −0.07 | −1.06, 0.93 | 0.893 | ||
| BMI | −1.43 † | −2.51, −0.36 | 0.010 |
© 2019 by the authors. Licensee MDPI, Basel, Switzerland. This article is an open access article distributed under the terms and conditions of the Creative Commons Attribution (CC BY) license (http://creativecommons.org/licenses/by/4.0/).
Share and Cite
Pfledderer, C.D.; Burns, R.D.; Brusseau, T.A. Association between Access to Electronic Devices in the Home Environment and Cardiorespiratory Fitness in Children. Children 2019, 6, 8. https://doi.org/10.3390/children6010008
Pfledderer CD, Burns RD, Brusseau TA. Association between Access to Electronic Devices in the Home Environment and Cardiorespiratory Fitness in Children. Children. 2019; 6(1):8. https://doi.org/10.3390/children6010008
Chicago/Turabian StylePfledderer, Christopher D., Ryan D. Burns, and Timothy A. Brusseau. 2019. "Association between Access to Electronic Devices in the Home Environment and Cardiorespiratory Fitness in Children" Children 6, no. 1: 8. https://doi.org/10.3390/children6010008
APA StylePfledderer, C. D., Burns, R. D., & Brusseau, T. A. (2019). Association between Access to Electronic Devices in the Home Environment and Cardiorespiratory Fitness in Children. Children, 6(1), 8. https://doi.org/10.3390/children6010008

