Growth and Physiology of Two Psammophytes to Precipitation Manipulation in Horqin Sandy Land, Eastern China
Abstract
1. Introduction
2. Materials and Methods
2.1. Site Description
2.2. Experimental Design
2.3. Analytical Methods and Statistical Analysis
3. Results
3.1. Characteristics of Rainfall and Plant Growth
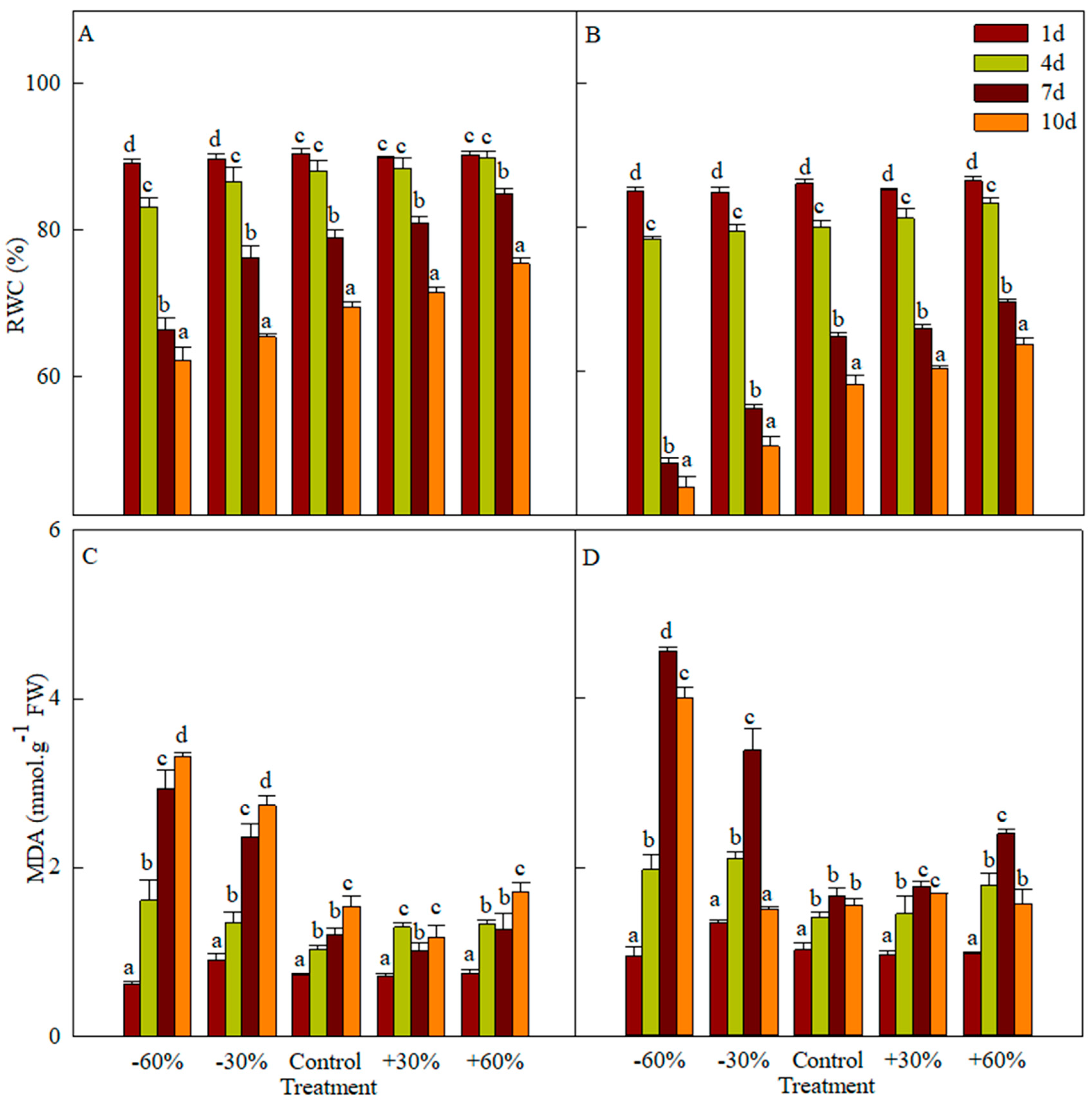
3.2. Changes in Leaf RWC and MDA
3.3. Changes in Antioxidant Enzymes
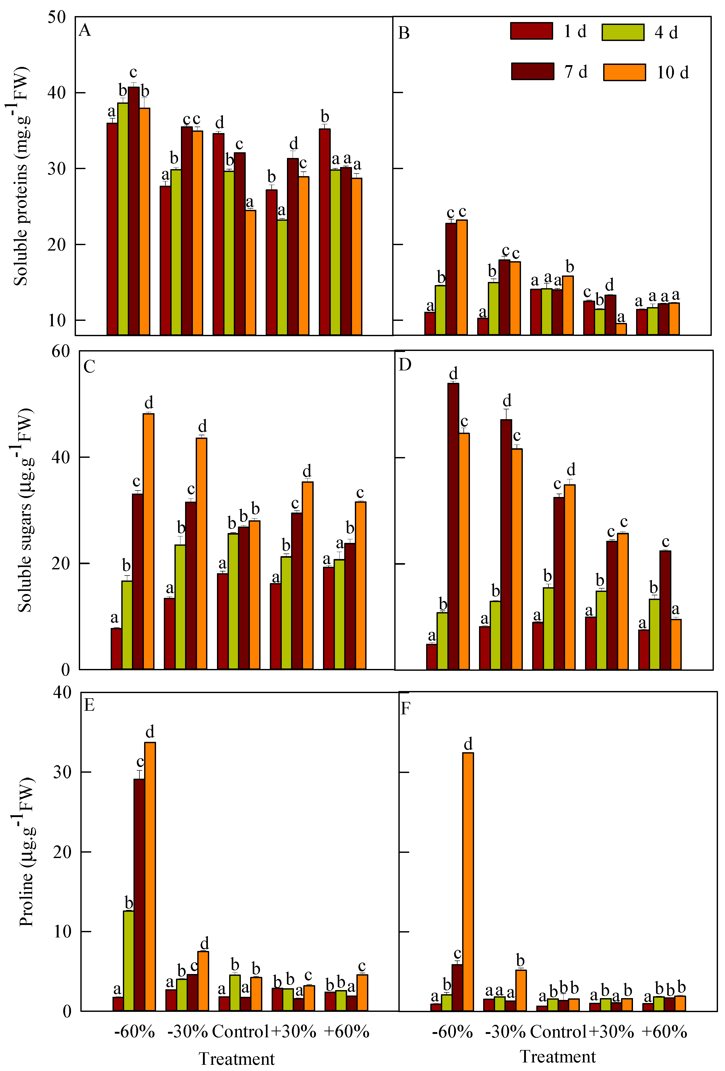
3.4. Changes in Osmoregulatory Substances
3.5. Correlation Analysis
4. Discussion
5. Conclusions
Author Contributions
Funding
Acknowledgments
Conflicts of Interest
References
- Wilhelmi, O.V.; Wilhite, D.A. Assessing vulnerability to agricultural drought: A Nebraska case study. Nat. Hazards 2002, 25, 37–58. [Google Scholar] [CrossRef]
- Yue, X.F.; Zhang, T.H.; Zhao, X.Y.; Liu, X.P.; Ma, Y.H. Effects of rainfall patterns on annual plants in Horqin Sandy Land, Inner Mongolia of China. J. Arid Land 2016, 8, 389–398. [Google Scholar] [CrossRef]
- Ain-Lhout, F.; Zunzunegui, M.; Barradas, M.C.D.; Tirado, R.; Clavijo, A.; Novo, F.G. Comparison of proline accumulation in two mediterranean shrubs subjected to natural and experimental water deficit. Plant Soil 2001, 230, 175–183. [Google Scholar] [CrossRef]
- Thomey, M.L.; Collins, S.L.; Friggens, M.T.; Brown, R.F.; Pockman, W.T. Effects of monsoon precipitation variability on the physiological response of two dominant C4 grasses across a semiarid ecotone. Oecologia 2014, 176, 751–762. [Google Scholar] [CrossRef] [PubMed]
- Zuo, X.A.; Zhang, J.; Zhou, X.; Zhao, X.Y.; Wang, S.K.; Lian, J.; Lv, P.; Knops, J. Changes in carbon and nitrogen storage along a restoration gradient in a semiarid sandy grassland. Acta Oecol. 2015, 69, 1–8. [Google Scholar] [CrossRef]
- Liu, X.P.; He, Y.H.; Zhang, T.H.; Zhao, X.Y.; Li, Y.Q.; Zhang, L.M.; Wei, S.L.; Yun, J.Y.; Yue, X.F. The response of infiltration depth, evaporation, and soil water replenishment to rainfall in mobile dunes in the Horqin Sandy Land, Northern China. Environ. Earth Sci. 2015, 73, 8699–8708. [Google Scholar] [CrossRef]
- Xu, C.L.; Li, Z.Z. Population regulation and dynamical simulation of annual plant Eragrostis poaeoides in desert region. Acta Bot. Boreali-Occident. Sin. 2002, 22, 1415–1420. [Google Scholar]
- Chang, X.L.; Zhao, A.F.; Li, S.G. Responses of species discovery to precipitation change on fixed-dunes of the Naiman banner region. Acta Physiologia Sinica 2000, 24, 147–151. (In Chinese) [Google Scholar]
- Swemmer, A.M.; Knapp, A.K.; Snyman, H.A. Intra-seasonal precipitation patterns and above-ground productivity in three perennial grasslands. J. Ecol. 2007, 95, 780–788. [Google Scholar] [CrossRef]
- Yang, Z.L.; Du, W.X.; Hou, Q.; Li, X.; Wang, B. Regional analysis of climate change in the east of Inner Mongolia and its potential productivity of grassland. Chin. J. Grassl. 2008, 30, 62–66. (In Chinese) [Google Scholar]
- Cheng, X.L.; An, S.Q.; Li, B.; Chen, J.Q.; Lin, G.H.; Liu, Y.H.; Luo, Y.Q.; Liu, S.R. Summer rain pulse size and rainwater uptake by three dominant desert plants in a desertified grassland ecosystem in northwestern China. Plant Ecol. 2006, 184, 1–12. [Google Scholar] [CrossRef]
- Shi, Z.J.; Gao, J.X.; Xu, L.H.; Feng, C.; Lv, S.; Shang, J. Effect of vegetation on changes of temperature and precipitation in Inner Mongolia, China. Ecol. Environ. Sci. 2011, 20, 1594–1601. (In Chinese) [Google Scholar]
- Wang, Z.Y.; Ding, Y.H.; He, J.H. An updating analysis of the climate change in China in recent 50 years. Acta Meteorol. Sin. 2004, 62, 228–236. (In Chinese) [Google Scholar]
- Cleland, E.E.; Collins, S.L.; Dickson, T.L.; Farrer, E.C.; Gross, K.L.; Gherardi, L.A.; Hallett, L.M.; Hobbs, R.J.; Hsu, J.S.; Turnbull, L. Sensitivity of grassland plant community composition to spatial vs. temporal variation in precipitation. Ecology 2013, 94, 1687–1696. [Google Scholar] [CrossRef] [PubMed]
- Zhou, R.L.; Yang, S.Q.; Huang, Q.R.; Zuo, J.C.; Chen, J.L.; Li, Z. The relationship between growth of Caraganas stenophylla and the activities and isoforms of protective enzymes under different depths of sand burial. Acta Ecol. Sin. 2015, 35, 3014–3022. (In Chinese) [Google Scholar]
- Poulson, T. Autogenic, Allogenic, and Individualistic Mechanisms of Dune Succession at Miller, Indiana. Nat. Areas J. 1999, 19, 172–176. [Google Scholar]
- Luo, Y.Y.; Zhao, X.Y.; Zhou, R.l.; Zuo, X.A.; Zhang, J.H.; Li, Y.Q. Physiological acclimation of two psammophytes to repeated soil drought and rewatering. Acta Physiol. Plant. 2011, 33, 79–91. [Google Scholar] [CrossRef]
- Zhou, S.S.; Li, M.J.; Guan, Q.M.; Liu, F.; Zhang, S.; Chen, W.; Yin, L.; Qin, Y.; Ma, F. Physiological and proteome analysis suggest critical roles for the photosynthetic system for high water-use efficiency under drought stress in Malus. Plant Sci. 2015, 236, 44–60. [Google Scholar] [CrossRef]
- Zhang, J.; Zhao, D.M.; Hu, S.X.; Gao, W.L.; Zhao, Q.Y.; Xie, R.D.; Pan, C.H. Medicinal plant resources of Polygonaceae and Convolvulaceae in Minqin Lian Ancient City National Nature Reserve, Gansu Province. Gansu Technol. 2017, 33, 138–140. (In Chinese) [Google Scholar]
- Li, X.; Zhao, W.Z. Effects of salt-alkaline mixed stresses on seed germination and seedling growth of Bassia dasyphylla in desert region. J. Desert Res. 2018, 38, 300–306. [Google Scholar]
- Su, Y.G.; Li, X.R.; Zheng, J.G.; Huang, G. The effect of biological soil crusts of different successional stages and conditions on the germination of seeds of three desert plants. J. Arid Environ. 2009, 73, 931–936. [Google Scholar] [CrossRef]
- Zhou, R.L.; Hou, Y.P.; Wang, Y.; Zuo, J.C. The physiological adaptation mechanisms of four common desert species in response to desert environments. Acta Ecol. Sin. 2015, 35, 14–24. [Google Scholar]
- Zhao, H.L.; Zhou, R.L.; Zhang, T.H.; Zhao, X.Y. Effects of desertification on soil and crop growth properties in Horqin sandy cropland of Inner Mongolia, north China. Soil Tillage Res. 2006, 87, 175–185. [Google Scholar] [CrossRef]
- Li, J.; Qu, H.; Zhao, H.L.; Zhou, R.L.; Yun, J.Y.; Pan, C.C. Growth and physiological responses of Agriophyllum squarrosum to sand burial stress. J. Arid Land 2015, 7, 94–100. [Google Scholar] [CrossRef]
- Zhang, L.M.; Liu, X.P.; Zhao, X.Y.; Zhang, T.H.; Yue, X.F.; Yun, J.Y. Response of sandy vegetation characteristics to precipitation change in Horqin Sandy Land. Acta Ecol. Sin. 2014, 34, 2737–2745. (In Chinese) [Google Scholar]
- Heath, R.L.; Packer, L. Photoperoxidation in isolated chloroplasts: I. Kinetics and stoichiometry of fatty acid peroxidation. Arch. Biochem. Biophys. 1968, 125, 189–198. [Google Scholar] [CrossRef]
- Drazkiewicz, M.; Skórzyńska-Polit, E.; Krupa, Z. Copper-induced oxidative stress and antioxidant defence in Arabidopsis thaliana. Biometals 2004, 17, 379–387. [Google Scholar] [CrossRef] [PubMed]
- Sundar, D.; Perianayaguy, B.; Reddy, A.R. Localization of antioxidant enzymes in the cellular compartments of sorghum leaves. Plant Growth Regul. 2004, 44, 157–163. [Google Scholar] [CrossRef]
- An, Y.Y.; Liang, Z.S.; Zhao, R.K.; Zhang, J.; Wang, X.J. Organ-dependent responses of Periploca sepium to repeated dehydration and rehydration. South Afr. J. Bot. 2011, 77, 446–454. [Google Scholar] [CrossRef][Green Version]
- Bradford, M.M. A rapid and sensitive method for the quantitation of microgram quantities of protein using the principle of protein dye binding. Anal. Biochem. 1976, 72, 248–254. [Google Scholar] [CrossRef]
- Yemm, E.W.; Cocking, E.C.; Ricketts, R.E. The determination of amino-acids with ninhydrin. Analyst 1955, 80, 209–214. [Google Scholar] [CrossRef]
- Chen, Q.; Zhang, M.; Shen, S. Effect of salt on malondialdehyde and antioxidant enzymes in seedling roots of Jerusalem artichoke (Helianthus tuberosus L.). Acta Physiol. Plant. 2011, 33, 273–278. [Google Scholar] [CrossRef]
- Han, C.; Liu, Q.; Yang, Y. Short-term effects of experimental warming and enhanced ultraviolet-B radiation on photosynthesis and antioxidant defense of Picea asperata seedlings. Plant Growth Regul. 2009, 58, 153–162. [Google Scholar] [CrossRef]
- Li, J.Y.; Xu, W.X.; Cheng, Z.G.; Liu, Y. Spatial-temporal changes of climate and vegetation cover in the semi-arid and arid regions of China during 1982–2006. Ecol. Environ. Sci. 2012, 21, 268–272. [Google Scholar]
- Dube, O.P.; Pickup, G. Effects of rainfall variability and communal and semi-commercial grazing on land cover in Southern African rangelands. Clim. Res. 2001, 17, 195–208. [Google Scholar] [CrossRef]
- Sun, Y.; Zhang, T.; Tian, C.Y.; Li, X.L. Response of grass growth and productivity to enhanced water input in ephemeral desert grassland in Gurbantunggut desert. Acta Ecol. Sin. 2009, 29, 1859–1868. (In Chinese) [Google Scholar]
- Meserve, P.L.; Kelt, D.A.; Milstead, W.B.; Gutiérrez, J.R. Thirteen years of shifting top-down and bottom-up control. Bioscience 2003, 53, 633–646. [Google Scholar] [CrossRef]
- Barker, M.G.; Booth, W.E. Vertical profiles in a Brunei rain forest: II. Leaf characteristics of dryobalanops lanceolata. J. Trop. For. Sci. 1996, 9, 52–66. [Google Scholar]
- Huang, Y.X.; Zhao, X.Y.; Zhou, D.W.; Zhao, H.L.; Zhang, H.X.; Zuo, X.A.; Mao, W. Allometry of Salsola collina in response to soil nutrients, water supply and population density. Nord. J. Bot. 2010, 27, 539–547. [Google Scholar] [CrossRef]
- Tobe, K.; Zhang, L.; Omasa, K. Seed germination and seedling emergence of three annuals growing on desert sand dunes in China. Ann. Bot. 2005, 95, 649–659. [Google Scholar] [CrossRef]
- Liu, Y.X.; Lan, X.X.; Cao, J.; Zhang, J.H.; Lan, H.Y. Screening of qRT-PCR reference genes for Chenopodium album and C. glaucum of Chenopodiaceae. Guihaia 2016, 36, 1511–1518. (In Chinese) [Google Scholar]
- Cakmak, I.; Marschner, H. Effect of zinc nutritional status on activities of superoxide radical and hydrogen peroxide scavenging enzymes in bean leaves. Plant Soil 1993, 155–156, 127–130. [Google Scholar] [CrossRef]
- Jouili, H.; Ferjani, E. Changes in antioxidant and lignifying enzyme activities in sunflower roots (Helianthus annuus L.) stressed with copper excess. C. R. Biol. 2003, 326, 639–644. [Google Scholar] [CrossRef]
- Cutler, J.M.; Shahan, K.W.; Steponkus, P.L. Influence of water deficits and osmotic adjustment on leaf elongation in rice. Crop Sci. 1980, 20, 314–318. [Google Scholar] [CrossRef]
- Dhanda, S.S.; Sethi, G.S.; Behl, R.K. Indices of drought tolerance in wheat genotypes at early stages of plant growth. J. Agron. Crop Sci. 2010, 190, 6–12. [Google Scholar] [CrossRef]





| Time | Treatment | T. terrestris | B. dasyphylla | S. collina | C. glaucum | Other Species | Total | |||||
|---|---|---|---|---|---|---|---|---|---|---|---|---|
| Individuals | Ratio (%) | Individuals | Ratio (%) | Individuals | Ratio (%) | Individuals | Ratio (%) | Individuals | Ratio (%) | |||
| 25-June | −60% | 217 ± 3.06 D | 70.0 | 30 ± 1.73 B | 9.7 | 52 ± 2.65 C | 16.8 | 5 ± 3.79 A | 1.5 | 6 ± 3.00 A | 1.9 | 309 |
| −30% | 185 ± 1.53 D | 46.8 | 84 ± 8.14 B | 21.4 | 107 ± 3.06 C | 27.2 | 11 ± 3.79 A | 2.7 | 7 ± 4.16 A | 1.9 | 394 | |
| Control | 159 ± 2.00 E | 34.6 | 151 ± 6.24 D | 32.8 | 130 ± 5.03 C | 28.4 | 15 ± 4.36 B | 3.3 | 4 ± 2.08 A | 0.9 | 460 | |
| +30% | 136 ± 3.61 B | 24.4 | 180 ± 4.51 C | 32.4 | 213 ± 3.61 D | 38.5 | 17 ± 6.00 A | 3.1 | 9 ± 6.00 A | 1.6 | 556 | |
| +60% | 104 ± 2.65 B | 19.3 | 157 ± 3.61 C | 29.2 | 238 ± 5.29 D | 44.2 | 21 ± 6.24 A | 3.9 | 18 ± 3.00 A | 3.3 | 538 | |
| 26-July | −60% | 186 ± 3.21 D | 80.0 | 16 ± 3.61 B | 6.9 | 23 ± 2.08 C | 10.0 | 2 ± 1.53 A | 1.0 | 5 ± 2.65 A | 2.1 | 233 |
| −30% | 138 ± 5.69 D | 52.5 | 69 ± 2.31 C | 26.3 | 35 ± 2.65 B | 13.3 | 7 ± 2.08 A | 2.5 | 14 ± 8.74 A | 5.4 | 264 | |
| Control | 96 ± 3.06 D | 36.1 | 72 ± 2.65 B | 27.0 | 80 ± 4.04 C | 30.1 | 11 ± 2.65 A | 4.1 | 7 ± 1.73 A | 2.6 | 267 | |
| +30% | 76 ± 3.21 B | 23.5 | 114 ± 4.04 D | 35.4 | 87 ± 3.51 C | 27.2 | 24 ± 7.00 A | 7.5 | 21 ± 5.86 A | 6.4 | 321 | |
| +60% | 87 ± 2.65 C | 22.1 | 148 ± 2.08 E | 37.6 | 113 ± 3.79 D | 28.8 | 16 ± 6.11 A | 4.1 | 29 ± 6.66 B | 7.4 | 394 | |
| 16-August | −60% | 144 ± 3.06 E | 79.4 | 12 ± 1.15 C | 6.4 | 18 ± 3.06 D | 10.1 | 1 ± 0.00 A | 0.6 | 6 ± 1.15 B | 3.5 | 182 |
| −30% | 108 ± 2.08 E | 46.9 | 67 ± 2.65 D | 29.0 | 42 ± 2.65 C | 18.2 | 2 ± 2.31 A | 1.0 | 11 ± 3.21 B | 4.9 | 231 | |
| Control | 58 ± 7.00 B | 25.9 | 79 ± 1.53 D | 35.1 | 69 ± 1.53 C | 31.0 | 7 ± 1.15 A | 3.0 | 11 ± 3.51 A | 5.1 | 224 | |
| +30% | 26 ± 2.08 A | 10.5 | 82 ± 6.08 B | 33.7 | 91 ± 2.08 B | 37.3 | 25 ± 7.00 A | 10.3 | 20 ± 5.57 A | 8.2 | 243 | |
| +60% | 17 ± 2.08 A | 6.2 | 120 ± 4.58 C | 44.9 | 77 ± 1.73 B | 28.8 | 29 ± 6.51 A | 10.7 | 25 ± 6.66 A | 9.2 | 267 | |
| Species | Item | RWC | POD | SOD | CAT | MDA | Proteins | Sugars |
|---|---|---|---|---|---|---|---|---|
| T. terrestris | POD | −0.300 | ||||||
| SOD | −0.276 | 0.590 ** | ||||||
| CAT | 0.902 ** | −0.180 | 0.053 | |||||
| MDA | −0.833 ** | 0.352 | 0.394 | −0.743 ** | ||||
| Proteins | −0.320 | 0.477 * | 0.225 | −0.353 | 0.483 * | |||
| Sugars | −0.870 ** | 0.301 | 0.256 | −0.769 ** | 0.808 ** | 0.213 | ||
| Proline | −0.642 ** | 0.386 | 0.489 * | −0.512 * | 0.810 ** | 0.603 ** | 0.559 * | |
| B. dasyphylla | POD | −0.356 | ||||||
| SOD | −0.276 | 0.590 ** | ||||||
| CAT | −0.713 ** | 0.286 | 0.826 ** | |||||
| MDA | −0.720 ** | 0.787 ** | 0.593 ** | 0.448 * | ||||
| Proteins | −0.736 ** | 0.594 ** | 0.596 ** | 0.366 | 0.815 ** | |||
| Sugars | −0.917 ** | 0.468 * | 0.731 ** | 0.497 * | 0.779 ** | 0.803 ** | ||
| Proline | −0.537 * | 0.458 * | 0.606 ** | 0.418 | 0.588 ** | 0.666 ** | 0.454 * |
© 2019 by the authors. Licensee MDPI, Basel, Switzerland. This article is an open access article distributed under the terms and conditions of the Creative Commons Attribution (CC BY) license (http://creativecommons.org/licenses/by/4.0/).
Share and Cite
Chen, J.; Zhao, X.; Liu, X.; Zhang, Y.; Luo, Y.; Luo, Y.; He, Z.; Zhang, R. Growth and Physiology of Two Psammophytes to Precipitation Manipulation in Horqin Sandy Land, Eastern China. Plants 2019, 8, 244. https://doi.org/10.3390/plants8070244
Chen J, Zhao X, Liu X, Zhang Y, Luo Y, Luo Y, He Z, Zhang R. Growth and Physiology of Two Psammophytes to Precipitation Manipulation in Horqin Sandy Land, Eastern China. Plants. 2019; 8(7):244. https://doi.org/10.3390/plants8070244
Chicago/Turabian StyleChen, Juanli, Xueyong Zhao, Xinping Liu, Yaqiu Zhang, Yayong Luo, Yongqing Luo, Zhaoquan He, and Rui Zhang. 2019. "Growth and Physiology of Two Psammophytes to Precipitation Manipulation in Horqin Sandy Land, Eastern China" Plants 8, no. 7: 244. https://doi.org/10.3390/plants8070244
APA StyleChen, J., Zhao, X., Liu, X., Zhang, Y., Luo, Y., Luo, Y., He, Z., & Zhang, R. (2019). Growth and Physiology of Two Psammophytes to Precipitation Manipulation in Horqin Sandy Land, Eastern China. Plants, 8(7), 244. https://doi.org/10.3390/plants8070244
