Adaptive and Hybrid Idle–Hard Timeout Allocation and Flow Eviction Mechanism Considering Traffic Characteristics
Abstract
1. Introduction
1.1. Timeout Mechanism
1.2. Eviction Mechanism
2. Related Work
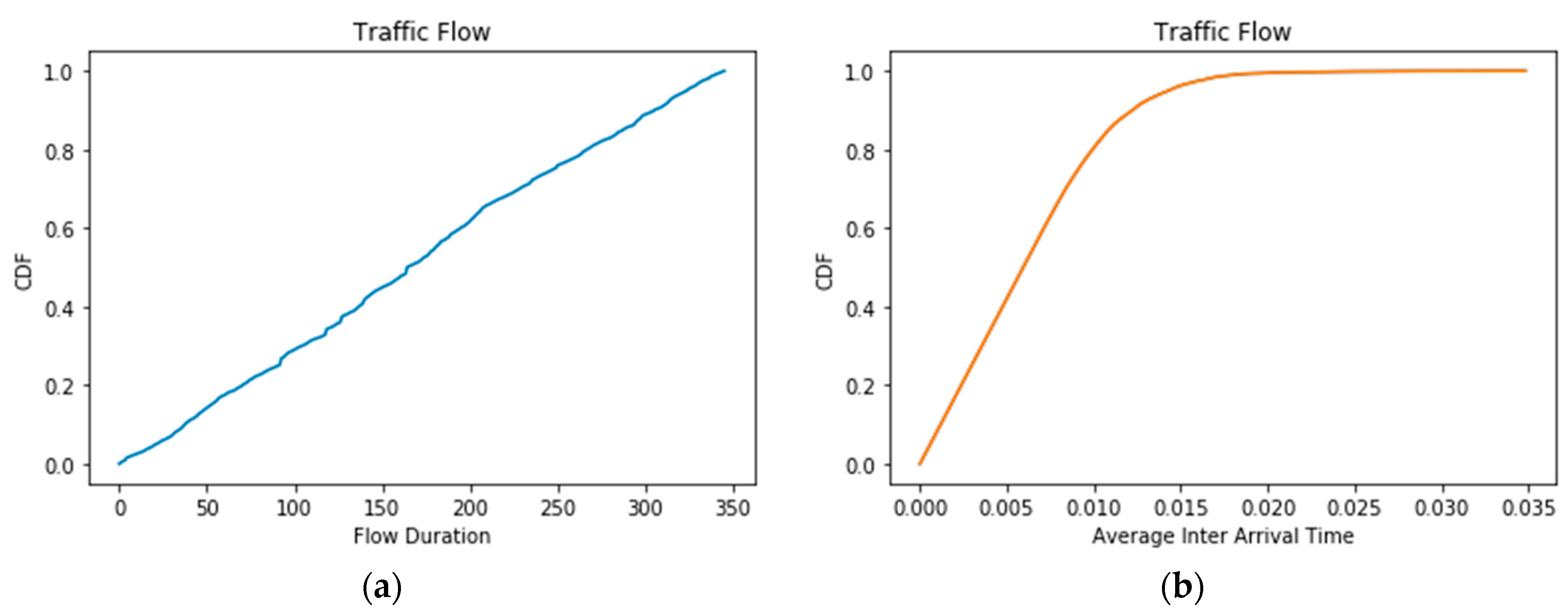
3. Traffic Flow Pattern
4. Design of the Proposed Adaptive-Hybrid Idle and Hard Timeout Allocation Algorithm (AH-IHTA) and Flow Eviction
4.1. Flow Table Capacity Monitoring Module (FCMM)
4.2. Adaptive-Hybrid Idle and Hard Timeout Allocation Algorithm (AH-IHTA)
| Algorithm 1. Adaptive-Hybrid Idle and Hard Timeout Allocation Algorithm (AH-IHTA). |
| 1. Procedure AH-IHTA (Flow Table capacity (FC), Packets (P), Threshold (N)) |
| 2. Output: AH-IHTA timeout |
| 3. packet_count → 0 |
| 4. New flow arrival then |
| 5. Check IP data flows ∀ i, j. pi (ET, EU, EI,) ∈ EΦ |
| 6. If data flow → IP data flows then |
| 7. pi ∩ Ej U { pj | pj → pi} = ∅ |
| 8. Check Flow Table U ratio in FCMM then |
| 9. If (curr≤ 25%) and (p < pth) ∈ Flow TableL then |
| 10. FIT ←initial |
| 11. elif (curr >25% and ≤ 50%) and (p ≤ pth) ∈ Flow TableM then |
| 12. FIT ←Set |
| 13. FHT ←Set |
| 14. elif (curr>50% ≤ 85%) and (p > pth) ∈ Flow TableH then |
| 15. Adjust FIT ←Set |
| 16. Adjust FHT ←Set |
| 17. else |
| 18. DFIM install an entry with FIT → DEFAULT |
| 19. DFIM install an entry with FHT→ DEFAULT |
| 20. return AH-IHTA |
| 21. END |
4.3. Data Flow Installation Module (DFIM)
4.4. Data Flow Eviction Module (DFEM)
| Algorithm 2. Data Flow Eviction (DFE). |
| 1. Procedure FEE (Flow Table capacity (FC), Packets (P), Threshold (N)) |
| 2. Output: FEE |
| 3. FEE at sampling time (t) |
| 4. Check data flows |
| 5. If data flow → non-IP data flows (∀ i, j. pi (EO) ∈ Eβ) then |
| 6. delete entry explicitly |
| 7. Else |
| 8. If Flow Table capacity is full then |
| 9. Check data flow → Check IP data flows ∀ i, j. pi (ET, EU, EI,) ∈ EΦ |
| 10. Foreach (IP data flow in the Flow Table) |
| 11. check packet_count |
| 12. If packet_count ≤ (N) |
| 13. Select entry I with FHT_Max |
| 14. DFEM → delete an entry I |
| 15. Send FlowRemoved (I) to the controller |
| 16. FCMM update counter |
| 17. return DFE |
| 18. END |
5. Experimental Result and Discussion
5.1. Result for Idle and Hard Timeout
5.2. Result for Idle and Hard Timeout with Different Flow Table Size
5.3. Result for Data Flow Entry Eviction
6. Conclusions
Author Contributions
Funding
Acknowledgments
Conflicts of Interest
References
- Alsaeedi, M.; Mohamad, M.M.; Al-roubaiey, A.A. Toward Adaptive and Scalable OpenFlow-SDN Flow Control: A Survey. IEEE Access 2019, 7, 107346–107379. [Google Scholar] [CrossRef]
- Open Networking Foundation. SDN Architecture Overview; ONF: Palo Alto, CA, USA, 2013; pp. 1–5. [Google Scholar]
- Zhang, S.Q.; Zhang, Q.; Tizghadam, A.; Park, B.; Bannazadeh, H.; Boutaba, R.; Leon-Garcia, A. TCAM space-efficient routing in a software defined network. Comput. Netw. 2017, 125, 26–40. [Google Scholar] [CrossRef]
- Kim, T.; Lee, K.; Lee, J.; Park, S.; Kim, Y.; Lee, B. A Dynamic Timeout Control Algorithm in Software Defined Networks. Int. J. Future Comput. Commun. 2014, 3, 331–336. [Google Scholar] [CrossRef]
- Yan, B.; Xu, Y.; Chao, H.J. Adaptive Wildcard Rule Cache Management for Software-Defined Networks. IEEE/ACM Trans. Netw. 2018, 26, 962–975. [Google Scholar] [CrossRef]
- Isyaku, B.; Soperi, M.; Zahid, M.; Kamat, M.B. Software Defined Networking Flow Table Management of OpenFlow Switches Performance and Security Challenges: A Survey. Future Internet 2020, 12, 147. [Google Scholar] [CrossRef]
- Liang, H.; Hong, P.; Li, J.; Ni, D. Effective Idle timeout Value for Instant Messaging in Software Defined Networks. In Proceedings of the 2015 IEEE International Conference on Communication Workshop (ICCW), London, UK, 8–12 June 2015; Volume 2015, pp. 352–356. [Google Scholar]
- Isyaku, B. IHTA: Dynamic Idle-Hard Timeout Allocation Algorithm based OpenFlow Switch. In Proceedings of the 2020 IEEE 10th Symposium on Computer Applications & Industrial Electronics (ISCAIE), Penang, Malaysia, 18–19 April 2020; pp. 170–175. [Google Scholar]
- Zhang, L.; Lin, R.; Xu, S.; Wang, S. AHTM: Achieving Efficient Flow Table Utilization in Software Defined Networks. In Proceedings of the 2014 IEEE Global Communications Conference, Austin, TX, USA, 8–12 December 2014; pp. 1897–1902. [Google Scholar]
- Lu, M.; Deng, W.; Shi, Y. TF-IdleTimeout: Improving Efficiency of TCAM in SDN by Dynamically Adjusting Flow Entry Lifecycle. In Proceedings of the 2016 IEEE International Conference on Systems, Man, and Cybernetics (SMC), Budapest, Hungary, 9–12 October 2016; pp. 2681–2686. [Google Scholar]
- Xu, X.; Lin, H.; Fan, Z. An Adaptive Flow Table Adjustment Algorithm for SDN. In Proceedings of the 2019 IEEE 21st International Conference on High Performance Computing and Communications, IEEE 17th International Conference on Smart City, IEEE 5th International Conference on Data Science and Systems (HPCC/SmartCity/DSS), Zhangjiajie, China, 10–12 August 2019; pp. 1779–1784. [Google Scholar]
- Li, Z.; Hu, Y.; Zhang, X. SDN Flow Entry Adaptive Timeout Mechanism based on Resource Preference SDN Flow Entry Adaptive Timeout Mechanism based on Resource Preference. IOP Conf. Ser. Mater. Sci. Eng. 2019, 569, 042018. [Google Scholar] [CrossRef]
- Panda, A.; Samal, S.S.; Turuk, A.K.; Panda, A.; Venkatesh, V.C. Dynamic Hard Timeout based Flow Table Management in Openflow enabled SDN. In Proceedings of the 2019 International Conference on Vision Towards Emerging Trends in Communication and Networking (ViTECoN), Vellore, India, 30–31 March 2019; pp. 1–6. [Google Scholar]
- Kim, E. Enhanced Flow Table Management Scheme with an LRU-Based Caching Algorithm for SDN. IEEE Access 2017, 5, 25555–25564. [Google Scholar] [CrossRef]
- Khan, M.K.A.; Sah, V.K.; Mudgal, P.; Hegde, S. Minimizing Latency due to Flow Table Overflow by Early Eviction of Flow Entries in SDN. In Proceedings of the 2018 9th International Conference on Computing, Communication and Networking Technologies (ICCCNT), Bangalore, India, 10–12 July 2018; pp. 1–4. [Google Scholar]
- Zarek, A. OpenFlow Timeouts Demystified; University of Toronto: Toronto, ON, Canada, 2012. [Google Scholar]
- Li, Q.; Huang, N.; Member, S.; Wang, D.; Li, X. HQTimer: A Hybrid Q-Learning-Based Timeout Mechanism in Software-Defined Networks. IEEE Trans. Netw. Serv. Manag. 2019, 16, 153–166. [Google Scholar] [CrossRef]
- Li, Q.; Liu, Y.; Zhu, Z.; Li, H.; Jiang, Y. BOND: Flexible failure recovery in software defined networks. Comput. Netw. 2019, 149, 1–12. [Google Scholar] [CrossRef]
- Liu, Y.; Tang, B.; Yuan, D.; Ran, J.; Hu, H. A Dynamic Adaptive Timeout Approach for SDN Switch. In Proceedings of the 2016 2nd IEEE International Conference on Computer and Communications (ICCC), Chengdu, China, 14–17 October 2016; pp. 2577–2582. [Google Scholar]
- Nguyen, X.; Saucez, D.; Barakat, C.; Turletti, T. Rules Placement Problem in OpenFlow Networks: A Survey. IEEE Commun. Surv. Tutor. 2016, 18, 1273–1286. [Google Scholar] [CrossRef]
- Ma, Z. The Research on Flow Table Optimization Based on Dynamic Timeout Mechanism. In Proceedings of the 2019 IEEE International Conference on Power Data Science (ICPDS), Taizhou, China, 22–24 November 2019; pp. 8–12. [Google Scholar]
- Sooden, B. A Dynamic Hybrid Timeout Method to Secure Flow Tables Against DDoS Attacks in SDN. In Proceedings of the 2018 First International Conference on Secure Cyber Computing and Communication (ICSCCC), Jalandhar, India, 15–17 December 2018; pp. 29–34. [Google Scholar]
- Science, C. A Hybrid-timeout Mechanism to Handle Rule Dependencies in Software Defined Networks. In Proceedings of the 2017 IEEE Conference on Computer Communications Workshops (INFOCOM WKSHPS), Atlanta, GA, USA, 1–4 May 2017; pp. 241–246. [Google Scholar]
- Yang, H.; Riley, G.F. Machine Learning based Flow Entry Eviction for OpenFlow Switches. In Proceedings of the 2018 27th International Conference on Computer Communication and Networks (ICCCN), Hangzhou, China, 30 July–2 August 2018; pp. 1–8. [Google Scholar]
- Guo, Z.; Liu, R.; Xu, Y.; Gushchin, A.; Walid, A.; Chao, H.J. STAR: Preventing flow-table overflow in software-defined networks. Comput. Netw. 2017, 125, 15–25. [Google Scholar] [CrossRef]
- Yang, H.; Riley, G.F.; Blough, D.M. STEREOS: Smart Table EntRy Eviction for OpenFlow Switches. IEEE J. Sel. Areas Commun. 2020, 38, 377–388. [Google Scholar] [CrossRef]
- Kim, N.; Kim, D.; Jang, Y.; Lee, C.; Lee, B. Applied sciences Traffic Characteristics in Software-Defined Networks. Appl. Sci. 2020, 10, 3590. [Google Scholar] [CrossRef]
- Li, H.; Guo, S.; Wu, C.; Li, J. FDRC: Flow-Driven Rule Caching Optimization in Software Defined Networking. In Proceedings of the 2015 IEEE International Conference on Communications (ICC), London, UK, 8–12 June 2015; pp. 1–6. [Google Scholar]
- Benson, T.; Akella, A.; Maltz, D.A. Network Traffic Characteristics of Data Centers in the Wild. In Proceedings of the 10th ACM SIGCOMM Conference on Internet Measurement, Melbourne, Australia, 1–3 November 2010. [Google Scholar]
- Shirali-shahreza, S.; Ganjali, Y.; Member, S. Delayed Installation and Expedited Eviction: An Alternative Approach to Reduce Flow Table Occupancy in SDN Switches. IEEE/ACM Trans. Netw. 2018, 26, 1547–1561. [Google Scholar] [CrossRef]









| Data Flow | Statistics | |
|---|---|---|
| Protocol Type | Packets | Percentage |
| TCP | 3,895,012 | 85.87% |
| UDP | 469,807 | 10.36% |
| ICMP | 171,306 | 3.77% |
| Timeout | Type | Description | Value |
|---|---|---|---|
| 1 | Idle | Idle timeout for every new arrived flow at time t1 and the usage of flow table is <25% | Initial value 1, 2, and 3 s for IP (EΦ) such as ICMP, UDP, TCP flows respectively |
| 2 | Idle | Idle timeout for subsequent flows when the flow table usage is >25% but <50% | For EΦ2 > 1, and default value for non-IP (EO). EO value is the average between min and max (1) of EΦ |
| 3 | Idle | Idle when the flow table usage > 50% and <85% | For EΦ 3 < 2 default value for EO |
| 4 | Hard | Idle timeout for every new arrived flow at time t1 and the usage of flow table is <25% | For EΦ 4 ≤ Max and default value for EO |
| 5 | Hard | Long lived flows with a large number of packets when the flow table usage is >25% but <50% | For EΦ 5 < 4 default value for EO |
| 6 | Hard | Long lived flows with a large number of packets greater than (N) when the flow table usage > 50% and ≤ 85% | 6 < 5 |
Publisher’s Note: MDPI stays neutral with regard to jurisdictional claims in published maps and institutional affiliations. |
© 2020 by the authors. Licensee MDPI, Basel, Switzerland. This article is an open access article distributed under the terms and conditions of the Creative Commons Attribution (CC BY) license (http://creativecommons.org/licenses/by/4.0/).
Share and Cite
Isyaku, B.; Bakar, K.A.; Zahid, M.S.M.; Nura Yusuf, M. Adaptive and Hybrid Idle–Hard Timeout Allocation and Flow Eviction Mechanism Considering Traffic Characteristics. Electronics 2020, 9, 1983. https://doi.org/10.3390/electronics9111983
Isyaku B, Bakar KA, Zahid MSM, Nura Yusuf M. Adaptive and Hybrid Idle–Hard Timeout Allocation and Flow Eviction Mechanism Considering Traffic Characteristics. Electronics. 2020; 9(11):1983. https://doi.org/10.3390/electronics9111983
Chicago/Turabian StyleIsyaku, Babangida, Kamalrulnizam Abu Bakar, Mohd Soperi Mohd Zahid, and Muhammed Nura Yusuf. 2020. "Adaptive and Hybrid Idle–Hard Timeout Allocation and Flow Eviction Mechanism Considering Traffic Characteristics" Electronics 9, no. 11: 1983. https://doi.org/10.3390/electronics9111983
APA StyleIsyaku, B., Bakar, K. A., Zahid, M. S. M., & Nura Yusuf, M. (2020). Adaptive and Hybrid Idle–Hard Timeout Allocation and Flow Eviction Mechanism Considering Traffic Characteristics. Electronics, 9(11), 1983. https://doi.org/10.3390/electronics9111983

