Next Article in Journal
Predictors of Ureteral Strictures after Retrograde Ureteroscopic Treatment of Impacted Ureteral Stones: A Systematic Literature Review
Previous Article in Journal
Ileocolonic Healing after Small Ileocecal Resection in Mice: NOD2 Deficiency Impairs Anastomotic Healing by Local Mechanisms
 
 
Font Type:
Arial Georgia Verdana
Font Size:
Aa Aa Aa
Line Spacing:
Column Width:
Background:
Brief Report

Plasma-Metanephrines in Patients with Autoimmune Addison’s Disease with and without Residual Adrenocortical Function

by
Anna-Karin Åkerman
1,2,*,
Åse Bjorvatn Sævik
3,4,
Per Medbøe Thorsby
5,6,
Paal Methlie
3,4,7,
Marcus Quinkler
8,
Anders Palmstrøm Jørgensen
9,
Charlotte Höybye
2,10,
Aleksandra J. Debowska
11,
Bjørn Gunnar Nedrebø
3,12,
Anne Lise Dahle
12,
Siri Carlsen
13,
Aneta Tomkowicz
14,
Stina Therese Sollid
15,
Ingrid Nermoen
16,
Kaja Grønning
16,
Per Dahlqvist
17,
Guri Grimnes
18,19,
Jakob Skov
2,
Trine Finnes
20,
Jeanette Wahlberg
1,21,
Synnøve Emblem Holte
22,
Katerina Simunkova
3,
Olle Kämpe
2,10,23,
Eystein Sverre Husebye
3,4,7,23,
Marianne Øksnes
3,4,7,23 and
Sophie Bensing
2,10
add Show full author list remove Hide full author list
1
Department of Medicine, Örebro University Hospital, 701 85 Örebro, Sweden
2
Department of Molecular Medicine and Surgery, Karolinska Institutet, 171 76 Stockholm, Sweden
3
Department of Clinical Science, University of Bergen, 5021 Bergen, Norway
4
K.G. Jebsen Center for Autoimmune Disorders, University of Bergen, 7804 Bergen, Norway
5
Hormone Laboratory, Department of Medical Biochemistry and Biochemical Endocrinology and Metabolism Research Group, Oslo University Hospital, 0372 Oslo, Norway
6
Institute of Clinical Medicine, University of Oslo, 0372 Oslo, Norway
7
Department of Medicine, Haukeland University Hospital, 5009 Bergen, Norway
8
Endocrinology in Charlottenburg, 10627 Berlin, Germany
9
Department of Endocrinology, Oslo University Hospital, 0372 Oslo, Norway
10
Department of Endocrinology, Karolinska University Hospital, 171 76 Stockholm, Sweden
11
Department of Medicine, Vestfold Hospital Trust, 3103 Tønsberg, Norway
12
Department of Internal Medicine, Haugesund Hospital, 5528 Haugesund, Norway
13
Department of Endocrinology, Stavanger University Hospital, 4068 Stavanger, Norway
14
Department of Medicine, Sørlandet Hospital, 4604 Kristiansand, Norway
15
Department of Medicine, Drammen Hospital, Vestre Viken Health Trust, 3004 Drammen, Norway
16
Department of Endocrinology, Akershus University Hospital, 1478 Lørenskog, Norway
17
Department of Public Health and Clinical Medicine, Umeå University, 901 87 Umeå, Sweden
18
Division of Internal Medicine, University Hospital of North Norway, 9038 Tromsø, Norway
19
Tromsø Endocrine Research Group, Department of Clinical Medicine, UiT the Arctic University of Norway, 9037 Tromsø, Norway
20
Section of Endocrinology, Innlandet Hospital Trust, 2381 Hamar, Norway
21
School of Medical Sciences, Faculty of Medicine and Health, Örebro University, 702 81 Örebro, Sweden
22
Department of Medicine, Sørlandet Hospital, 4838 Arendal, Norway
23
Department of Medicine (Solna), Karolinska University Hospital, Karolinska Institutet, 171 76 Stockholm, Sweden
*
Author to whom correspondence should be addressed.
J. Clin. Med. 2023, 12(10), 3602; https://doi.org/10.3390/jcm12103602
Submission received: 3 March 2023 / Revised: 28 April 2023 / Accepted: 19 May 2023 / Published: 22 May 2023
(This article belongs to the Section Endocrinology & Metabolism)

Abstract

Purpose: Residual adrenocortical function, RAF, has recently been demonstrated in one-third of patients with autoimmune Addison’s disease (AAD). Here, we set out to explore any influence of RAF on the levels of plasma metanephrines and any changes following stimulation with cosyntropin. Methods: We included 50 patients with verified RAF and 20 patients without RAF who served as controls upon cosyntropin stimulation testing. The patients had abstained from glucocorticoid and fludrocortisone replacement > 18 and 24 h, respectively, prior to morning blood sampling. The samples were obtained before and 30 and 60 min after cosyntropin stimulation and analyzed for serum cortisol, plasma metanephrine (MN), and normetanephrine (NMN) by liquid-chromatography tandem-mass pectrometry (LC-MS/MS). Results: Among the 70 patients with AAD, MN was detectable in 33%, 25%, and 26% at baseline, 30 min, and 60 min after cosyntropin stimulation, respectively. Patients with RAF were more likely to have detectable MN at baseline (p = 0.035) and at the time of 60 min (p = 0.048) compared to patients without RAF. There was a positive correlation between detectable MN and the level of cortisol at all time points (p = 0.02, p = 0.04, p < 0.001). No difference was noted for NMN levels, which remained within the normal reference ranges. Conclusion: Even very small amounts of endogenous cortisol production affect MN levels in patients with AAD.

1. Introduction

The adrenal glands are vital for the regulation of both the endocrine stress response and body homeostasis, mediated by adrenocortical steroids from the outer cortex and catecholamines from the inner medulla. Although the cortex and the medulla originate from different embryological tissues, their anatomical proximity is not at random, as normal functions in both layers are interdependent [1,2,3,4]. For instance, cortisol from the adrenal cortex is important for adrenomedullary organogenesis and catecholamine synthesis, i.e., epinephrine and norepinephrine [5,6,7]. Regulation of steroidogenesis is in turn dependent on catecholamines [8]. When exposed to stress, concomitant secretion of glucocorticoids (GCs) from the adrenal cortex and epinephrine from the adrenal medulla occur through the bidirectional regulation of production and release. In this process, phenyl ethanolamine-N-methyltransferase (PNMT) is the key enzyme responsible for the synthesis of epinephrine from norepinephrine, and PNMT levels and activity are dependent on the local production of GCs in the adrenal cortex [7,9,10,11]. Metanephrine (MN) and normetanephrine (NMN) are metabolites of catecholamines. While most plasma MN is produced in the adrenal medulla, the same is true for only about 20 percent of plasma NMN. Instead, most plasma NMN originates from norepinephrine released by sympathetic nerves or the extraneuronal metabolism of norepinephrine [12].
Primary adrenocortical insufficiency provides an opportunity to further explore adrenomedullary function in a low or GC-depleted state. In congenital adrenal hyperplasia (CAH), low levels of epinephrine are reported from birth through adulthood [13,14], and patients also show significantly lower epinephrine response during moderate–intense physical activity [15]. Similarly, impaired epinephrine secretion in response to hypoglycemia has been described in patients with secondary adrenal insufficiency [16,17,18]. Zuckerman-Levin et al. studied individuals with isolated GC deficiency due to adrenocorticotropic hormone (ACTH) unresponsiveness, suggesting lower physical performance in these patients due to altered levels of epinephrine and norepinephrine [16,17,18,19]. Patients with autoimmune Addison’s disease (AAD) [20,21,22] are reported to have lower levels of epinephrine during rest as well as after strenuous physical activity and a reduced capacity for exercise compared to healthy individuals [23]. The limitation in physical capacity might partly be caused by the impaired epinephrine production. GC replacement therapy does not seem to normalize catecholamine levels [24].
Until recently, it was assumed that all patients with AAD over time develop total loss of adrenocortical function. In a recent study, we showed that one third of patients with AAD produce low levels of GCs even years after diagnosis [25], as indicated also by others [26,27]. Whether this residual adrenocortical function [28] is of significance for adrenomedullary function is currently unknown.
Here, we aimed to investigate adrenomedullary function in relation to adrenocortical function. We explored if the degree of residual GC-production correlated with levels of plasma metanephrines and whether there was a difference in basal and ACTH-stimulated levels of plasma metanephrines in AAD patients with and without RAF.

2. Materials and Methods

2.1. Patients

The inclusion and exclusion criteria are described in detail elsewhere [25]. In short, RAF was defined as quantifiable levels of S-cortisol (<0.91 nmol/L) and S-11-deoxycortisol (0.11 nmol/L). Here, we included all 50 patients with verified RAF as well as 20 patients without RAF who served as controls upon undertaking a cosyntropin test in the previous study, yielding a total of 70 patients with AAD. The basic characteristics are shown in Table 1.

2.2. Cosyntropin Testing and Metanephrine Assay

In short, all of the participants went through a standard 250 ug cosyntropin test, with samples taken at baseline (0 min) and after 30 and 60 min. Before sampling, the patients abstained from cortisone acetate or hydrocortisone and fludrocortisone for at least 18 and 24 h, respectively. Analysis of plasma MN and plasma NMN was performed by the liquid chromatography-tandem mass spectrometry (LC-MS/MS) method [29,30] at the Hormone Laboratory, Oslo University Hospital, Norway. The normal reference interval for plasma MN was <0.34 nmol/L and the lower level for detection was ≥0.1 nmol/L (CV 12% at 0.29 nmol/L). For plasma NMN, the reference intervals were age specific 16–39 years < 0.63 nmol/L, 40–59 years < 0.76 nmol/L, and >60 years < 1.2 nmol/L, and the lower level for detection was ≥0.2 nmol/L (CV 10% at 0.68 nmol/L). The analytical CV% was a maximum of 20 at the lower level of detection. Both methods are accredited according to NS-EN ISO/IEC 17025.

2.3. Statistics

The descriptive statistics are presented as numbers and percentages for categorical data and as the medians and range (interquartile range, IQR) or the mean with the standard deviations as appropriate. We compared the characteristics between the groups with and without RAF. Wilcoxon rank-sum tests or two-sample t-tests were applied to compare continuous variables, and Pearson’s chi-square test was used to compare the categorical variables. The correlations between RAF and the probability of detectable MNs at baseline, 30 min, and 60 min were estimated using logistic modelling with a robust measure. All the statistical analyses were performed in Stata MP 17.1. The alpha value was set to 0.05.

2.4. Ethics

Ethical permission was granted by the Regional Ethical Committee of South-East Norway (permit no. 2018/751/REK Sør-Øst), of Stockholm, Sweden (permit no. 2018/2247-32) and the Regional Ethical Committee of Berlin, Germany (permit no. Eth-47/18). Written informed consent was obtained from all participants.

3. Results

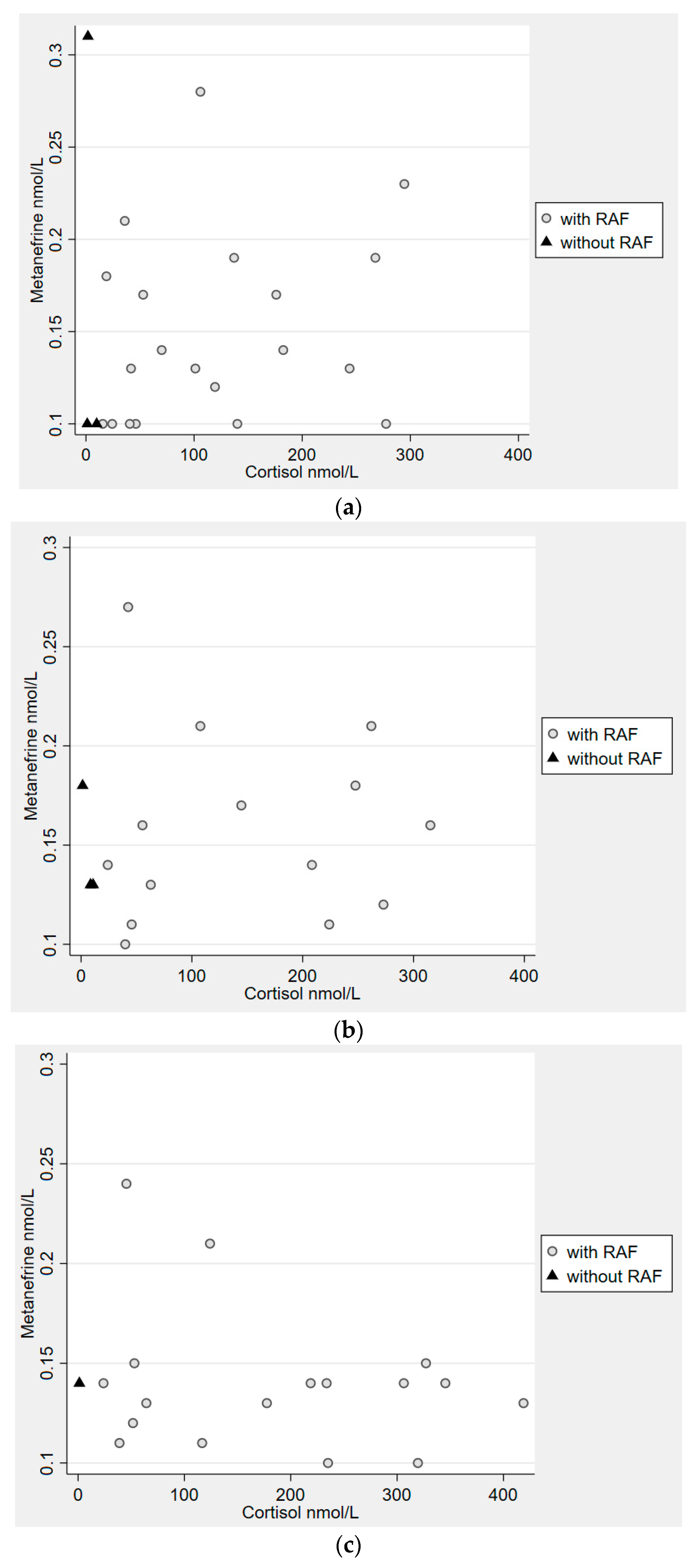
Plasma MN was detectable, i.e., ≥0.10 nmol/L, in 33% (n = 23) at baseline, 25% (n = 17) at the time of 30 min, and 26% (n = 18) at the time of 60 min (Table 2). In those patients, the distribution of MN and cortisol values at the different time points is depicted in Figure 1a–c. Patients with RAF were more likely to have detectable levels of MN at baseline (p = 0.056) and at the time of 60 min (p = 0.034) compared to patients without RAF (model not presented).

3.1. Comparison of Patients with and without RAF

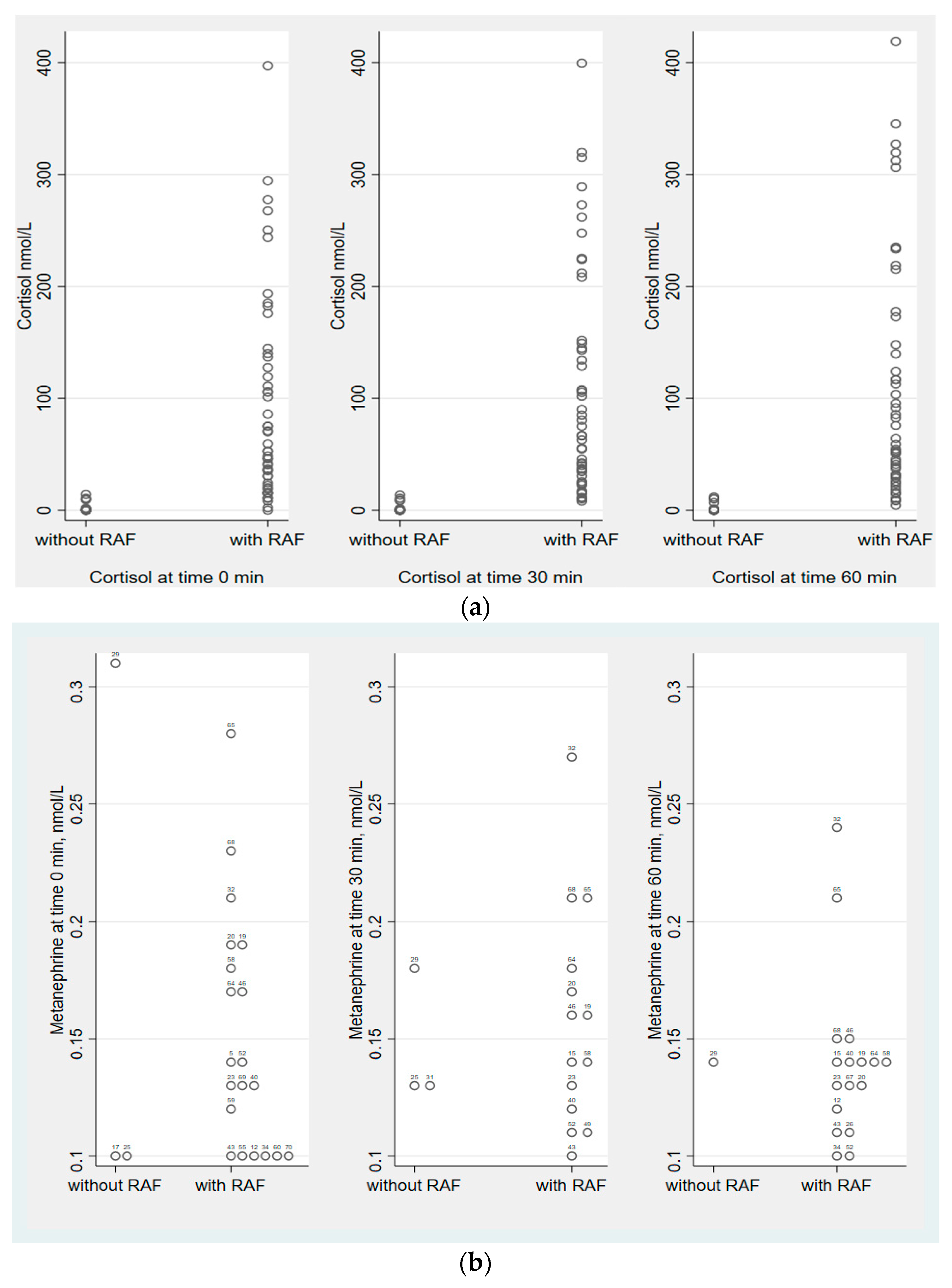
The patients with RAF had significantly higher systolic blood pressure (BP) (p = 0.001) and higher levels of DHEAS (p = < 0.001); no other differences in baseline characteristics were seen (Table 1). The distribution of cortisol and MN in patients with and without RAF at 0, 30, and 60 min is shown in Figure 2a,b. MN was detectable in 23 of the 50 patients with RAF. A total of 9 patients had detectable MN at one time point, 3 patients had detectable MN at two time points, and 12 patients had detectable MN at all three time points. In the 20 patients without RAF, MN was detectable in 4 separate patients. Of these, one patient had detectable MN at all three time-points, with the highest MN level (0.31 nmol/L) noted at baseline. There was no increase in MN during the cosyntropin test in patients with RAF or in patients without RAF.

3.2. Metanephrine and Cortisol

In patients with detectable MN, there was a positive correlation with the level of cortisol at all three time points: baseline (p = 0.02), the time of 30 min (p = 0.04), and at the time of 60 min (p < 0.001). At baseline, we did not find any difference in age (p = 0.46), sex (p = 0.15), BMI (p = 0.83), frequency of adrenal crisis (p = 0.81), systolic BP (p = 0.50), diastolic BP (p = 0.43), or disease duration (p = 0.97) in the patients with detectable MN compared to those without. However, significantly more men than women had detectable MN at the times of 30 and 60 min (p = 0.008, p = 0.02).

3.3. Normetanephrine

NMN was detectable in most patients and no significant differences in NMN levels were found either between the subgroups at baseline nor after the cosyntropin test. The NMN levels (0.52, 0.56, and 0.58 nmol/L, median, IQR) were within the normal ranges in each age group (16–39, 40–59, and > 60 years), respectively.

4. Discussion

This is the first study to report MN and NMN levels in patients with AAD in relation to RAF [25]. Patients with RAF were more likely to have detectable MN before as well as after the cosyntropin test. Even though the residual production of cortisol in absolute values was generally very low, a correlation between MN and cortisol was demonstrable.
ACTH is thought to regulate epinephrine synthesis indirectly by inducing GC secretion from the adrenal cortex. The endogenous GCs in turn stimulate the PNMT activity needed for norepinephrine conversion to epinephrine, which is then metabolized to MN [31]. We have previously reported a small increase in GC levels upon completion of the cosyntropin test in patients with RAF [25]. In the current study, we did not find any significant change in MN or NMN levels after the cosyntropin test in either group, suggesting that isolated ACTH stimulation is of little importance to increasing adrenomedullary epinephrine production. Thus, it is possible that any direct or indirect stimulatory role of ACTH on MN and NMN levels had already been fully exploited before the cosyntropin test.
Our findings point to the importance of endogenous cortisol/GC for catecholamine synthesis in the adrenal medulla [5,7], as previously indicated by studies on adrenocortical and adrenomedullary function in patients with CAH. Patients with CAH and severe salt-wasting disease have lower levels of both cortisol, epinephrine, and MN compared to patients with simple virilizing disease as well as healthy controls [32,33]. This is consistent with our patients who suffer from AAD and have impaired production of MN, which seems to be related to endogenous GC deficiency. A previous small study on patients with CAH and healthy controls found a significant increase in both norepinephrine and NMN after a standardized bicycle exercise, suggesting a preserved ability in CAH to mobilize the adrenal medulla upon stress [34]. This contrasts to our findings, but then the stressors are not the same in these studies.
The endogenous GC levels in RAF are generally low [25], and the modest increase in cortisol upon completion of the cosyntropin test might be too small to facilitate any increase in MN levels. In all the patients, the NMN levels were within the normal ranges, but compared to the results in previous studies establishing reference levels for plasma NM, the median in our study tends to be higher [29]. Increased levels of NMN are also found in adrenalectomized patients. This effect is thought to be compensatory because of lower epinephrine levels, leading to changes in norepinephrine production in the sympathetic nerves [35]. This resembles our patients who have a similar pattern in their catecholamine production. Analysis of the clinical consequences of impaired MN production was not included in this study, but it might be part of the explanation for the often-present poor capacity to manage stress.
In this study, patients with RAF had higher baseline systolic BP compared to patients without RAF. In our previous study including a larger number of patients without RAF, we did not detect this difference [25], possibly indicating selection bias in the current study.
To conclude, in patients with AAD, detectable MN is positively correlated to the level of serum cortisol and is more pronounced in patients with RAF, suggesting that even partly preserved endogenous production of cortisol is of importance for MN production. Any clinical implications of this remain to be determined.

Author Contributions

Methodology, P.M.T., P.M., M.Ø. and S.B.; Investigation, A.-K.Å. and S.B.; Data curation, A.-K.Å.; Writing – original draft, A.-K.Å.; Writing—review & editing, A.-K.Å., Å.B.S., P.M.T., P.M., M.Q., A.P.J., C.H., A.J.D., B.G.N., A.L.D., S.C., A.T., S.T.S., I.N., K.G., P.D., G.G., J.S., T.F., J.W., S.E.H., K.S., O.K., E.S.H., M.Ø. and S.B. All authors have read and agreed to the published version of the manuscript.

Funding

The Research Council of Norway (288022), the Novo Nordisk Foundation (NNF18OC0034130), the Internal Medicine Association of Norway, the regional agreement on medical training and clinical research in Stockholm, and the legate of Dr. Nils Henrichsen and his Wife Anna Henrichsen provided financial support.

Institutional Review Board Statement

Ethical permission was granted by the Regional Ethical Committee of South-East Norway (permit no. 2018/751/REK Sør-Øst), Stockholm, Sweden (permit no. 2018/2247-32), and the Regional Ethical Committee of Berlin, Germany (permit no. Eth-47/18). The study was registered at clinicaltrials.gov (ClinicalTrials.gov Identifier: NCT03793114) and conducted in agreement with local and international guidelines and regulations, including the Declaration of Helsinki (2013 version) and the principles of good clinical practice (CPMP/ICH/135/95).

Informed Consent Statement

Written informed consent was obtained from all participants included in the study.

Data Availability Statement

The datasets generated and/or analyzed during the current study are not publicly available but are available from the corresponding author upon reasonable request.

Acknowledgments

We give thanks to the nurses at the endocrinology departments: Mona Eliassen, Nina Jensen (Haukeland University Hospital), Lillian Skumsnes (Haugesund Hospital), Hanne Høivik Bjørkås and Elise Turkerud Søby (Innlandet Hospital Trust), Maria Wärn (Karolinska University Hospital), Christina Dahlgren (Linköping University Hospital), Katarina Iselid (Umeå University Hospital), Anette Nilsson (Karlstad Central Hospital), Kari Irene Abelsen (Oslo University Hospital), Anne Breikert (Örebro University Hospital), and Britta Bauer (Endocrinology in Charlottenburg, Berlin, Germany) for sampling and caring for the patients. We thank Åsa Hallgren (Karolinska Institutet) and Øyvind Skadberg (Stavanger University Hospital) for their logistics support. We also thank Lars Breivik and Elisabeth Tombra Halvorsen (Endocrinological Research Laboratory, Department of Clinical Science, University of Bergen) and Kari Julien (Hormone Laboratory, Department of Medical Biochemistry and Biochemical Endocrinology and Metabolism Research Group, Oslo University Hospital, Aker, Oslo, Norway, and the Institute of Clinical Medicine at the University of Oslo, Norway) for helping to organize the study and handling the blood samples. For her invaluable contribution to the data management and calculations, we thank Jacinth Yan (Karolinska Institutet, Department of Enviromental Medicine). Finally, we thank all of the patients for participating in this study.

Conflicts of Interest

The authors declare no conflict of interest.

Trial Registration

CinicalTrials.gov registration number: NCT03793114 (6 November 2018).

Abbreviations

AADAutoimmune Addison’s disease
ACTHAdrenocorticotropic hormone
ADAldehyde dehydrogenase
BPBlood pressure
CAHCongenital adrenal hyperplasia
COMTCatechol O-methyltransferase
DBHDOPA β-hydroxylase
DDCDOPA decarboxylase
GCGlucocorticoid
LC-MS/MSLiquid chromatography–tandem-mass spectrometry
MAOMonoaminoxidase
MNMetanephrine
NMNNormetanephrine
PAHPhenylalanine hydroxylase
PNMTPhenylethanolamine-N-methyltransferase
RAFResidual adrenocorticoid function
THTyrosine hydroxylase

References

  1. Willenberg, H.S.; Bornstein, S.R. Adrenal Cortex; Development, Anatomy, Physiology. In Endotext; Feingold, K.R., Ed.; MDText.com, Inc.: South Dartmouth, MA, USA, 2017. [Google Scholar]
  2. Pignatti, E.; Flück, C.E. Adrenal cortex development and related disorders leading to adrenal insufficiency. Mol. Cell. Endocrinol. 2021, 527, 111206. [Google Scholar] [CrossRef] [PubMed]
  3. Bechmann, N.; Berger, I.; Bornstein, S.R.; Steenblock, C. Adrenal medulla development and medullary-cortical interactions. Mol. Cell. Endocrinol. 2021, 528, 111258. [Google Scholar] [CrossRef] [PubMed]
  4. Ventura Spagnolo, E.; Mondello, C.; Cardia, L.; Minutoli, L.; Puzzolo, D.; Asmundo, A.; Macaione, V.; Alibrandi, A.; Malta, C.; Baldino, G.; et al. Post-Mortem Immunohistochemical Evidence of β2-Adrenergic Receptor Expression in the Adrenal Gland. Int. J. Mol. Sci 2019, 20, 3065. [Google Scholar] [CrossRef] [PubMed]
  5. Haase, M.; Willenberg, H.S.; Bornstein, S.R. Update on the corticomedullary interaction in the adrenal gland. Endocr. Dev. 2011, 20, 28–37. [Google Scholar] [CrossRef]
  6. Kastriti, M.E.; Kameneva, P.; Adameyko, I. Stem cells, evolutionary aspects and pathology of the adrenal medulla: A new developmental paradigm. Mol. Cell. Endocrinol. 2020, 518, 110998. [Google Scholar] [CrossRef]
  7. Ehrhart-Bornstein, M.; Bornstein, S.R. Cross-talk between adrenal medulla and adrenal cortex in stress. Ann. N. Y. Acad. Sci. 2008, 1148, 112–117. [Google Scholar] [CrossRef]
  8. Ehrhart-Bornstein, M.; Hinson, J.P.; Bornstein, S.R.; Scherbaum, W.A.; Vinson, G.P. Intraadrenal interactions in the regulation of adrenocortical steroidogenesis. Endocr. Rev. 1998, 19, 101–143. [Google Scholar] [CrossRef]
  9. Wurtman, R.J.; Axelrod, J. Adrenaline synthesis: Control by the pituitary gland and adrenal glucocorticoids. Science 1965, 150, 1464–1465. [Google Scholar] [CrossRef]
  10. Wurtman, R.J.; Pohorecky, L.A. Adrenocortical control of epinephrine synthesis in health and disease. Adv. Metab. Disord. 1971, 5, 53–76. [Google Scholar] [CrossRef]
  11. Finotto, S.; Krieglstein, K.; Schober, A.; Deimling, F.; Lindner, K.; Brühl, B.; Beier, K.; Metz, J.; Garcia-Arraras, J.E.; Roig-Lopez, J.L.; et al. Analysis of mice carrying targeted mutations of the glucocorticoid receptor gene argues against an essential role of glucocorticoid signalling for generating adrenal chromaffin cells. Development 1999, 126, 2935–2944. [Google Scholar] [CrossRef]
  12. Eisenhofer, G.; Rundquist, B.; Aneman, A.; Friberg, P.; Dakak, N.; Kopin, I.J.; Jacobs, M.C.; Lenders, J.W. Regional release and removal of catecholamines and extraneuronal metabolism to metanephrines. J. Clin. Endocrinol. Metab. 1995, 80, 3009–3017. [Google Scholar] [CrossRef] [PubMed]
  13. Merke, D.P.; Bornstein, S.R. Congenital adrenal hyperplasia. Lancet 2005, 365, 2125–2136. [Google Scholar] [CrossRef] [PubMed]
  14. Weber, J.; Tanawattanacharoen, V.K.; Seagroves, A.; Liang, M.C.; Koppin, C.M.; Ross, H.M.; Bachega, T.; Geffner, M.E.; Serrano-Gonzalez, M.; Bhullar, G.; et al. Low Adrenomedullary Function Predicts Acute Illness in Infants With Classical Congenital Adrenal Hyperplasia. J. Clin. Endocrinol. Metab. 2022, 107, e264–e271. [Google Scholar] [CrossRef] [PubMed]
  15. Green-Golan, L.; Yates, C.; Drinkard, B.; VanRyzin, C.; Eisenhofer, G.; Weise, M.; Merke, D.P. Patients with classic congenital adrenal hyperplasia have decreased epinephrine reserve and defective glycemic control during prolonged moderate-intensity exercise. J. Clin. Endocrinol. Metab. 2007, 92, 3019–3024. [Google Scholar] [CrossRef]
  16. Morita, S.; Otsuki, M.; Izumi, M.; Asanuma, N.; Izumoto, S.; Saitoh, Y.; Yoshimine, T.; Kasayama, S. Reduced epinephrine reserve in response to insulin-induced hypoglycemia in patients with pituitary adenoma. Eur. J. Endocrinol. 2007, 157, 265–270. [Google Scholar] [CrossRef]
  17. Guaraldi, F.; Karamouzis, I.; Berardelli, R.; D’Angelo, V.; Rampino, A.; Zichi, C.; Ghigo, E.; Giordano, R. Secondary Adrenal Insufficiency: Where Is It Hidden and What Does It Look Like? Front. Horm. Res. 2016, 46, 159–170. [Google Scholar] [CrossRef]
  18. Hahner, S.; Ross, R.J.; Arlt, W.; Bancos, I.; Burger-Stritt, S.; Torpy, D.J.; Husebye, E.S.; Quinkler, M. Adrenal insufficiency. Nat. Rev. Dis. Prim. 2021, 7, 2152–2167. [Google Scholar] [CrossRef]
  19. Zuckerman-Levin, N.; Tiosano, D.; Eisenhofer, G.; Bornstein, S.; Hochberg, Z. The importance of adrenocortical glucocorticoids for adrenomedullary and physiological response to stress: A study in isolated glucocorticoid deficiency. J. Clin. Endocrinol. Metab. 2001, 86, 5920–5924. [Google Scholar] [CrossRef]
  20. Erichsen, M.M.; Løvås, K.; Skinningsrud, B.; Wolff, A.B.; Undlien, D.E.; Svartberg, J.; Fougner, K.J.; Berg, T.J.; Bollerslev, J.; Mella, B.; et al. Clinical, immunological, and genetic features of autoimmune primary adrenal insufficiency: Observations from a Norwegian registry. J. Clin. Endocrinol. Metab. 2009, 94, 4882–4890. [Google Scholar] [CrossRef]
  21. Winqvist, O.; Söderbergh, A.; Kämpe, O. The autoimmune basis of adrenocortical destruction in Addison’s disease. Mol. Med. Today 1996, 2, 282–289. [Google Scholar] [CrossRef]
  22. Bensing, S.; Hulting, A.L.; Husebye, E.S.; Kampe, O.; Lovas, K. Management of endocrine disease: Epidemiology, quality of life and complications of primary adrenal insufficiency: A review. Eur. J. Endocrinol. 2016, 175, R107–R116. [Google Scholar] [CrossRef]
  23. Bornstein, S.R.; Breidert, M.; Ehrhart-Bornstein, M.; Kloos, B.; Scherbaum, W.A. Plasma catecholamines in patients with Addison’s disease. Clin. Endocrinol. 1995, 42, 215–218. [Google Scholar] [CrossRef]
  24. Simunkova, K.; Jovanovic, N.; Rostrup, E.; Methlie, P.; Oksnes, M.; Nilsen, R.M.; Henno, H.; Tilseth, M.; Godang, K.; Kovac, A.; et al. Effect of a pre-exercise hydrocortisone dose on short-term physical performance in female patients with primary adrenal failure. Eur. J. Endocrinol. 2016, 174, 97–105. [Google Scholar] [CrossRef]
  25. Sævik, Å.B.; Åkerman, A.K.; Methlie, P.; Quinkler, M.; Jørgensen, A.P.; Höybye, C.; Debowska, A.J.; Nedrebø, B.G.; Dahle, A.L.; Carlsen, S.; et al. Residual Corticosteroid Production in Autoimmune Addison Disease. J. Clin. Endocrinol. Metab. 2020, 105, 2430–2441. [Google Scholar] [CrossRef]
  26. Vulto, A.; Bergthorsdottir, R.; van Faassen, M.; Kema, I.P.; Johannsson, G.; van Beek, A.P. Residual endogenous corticosteroid production in patients with adrenal insufficiency. Clin. Endocrinol. 2019, 91, 383–390. [Google Scholar] [CrossRef]
  27. Napier, C.; Allinson, K.; Gan, E.H.; Mitchell, A.L.; Gilligan, L.C.; Taylor, A.E.; Arlt, W.; Pearce, S.H.S. Natural History of Adrenal Steroidogenesis in Autoimmune Addison’s Disease Following Diagnosis and Treatment. J. Clin. Endocrinol. Metab. 2020, 105, 2322–2330. [Google Scholar] [CrossRef]
  28. Simonyi, A.; Fekete, M.I.; Kenessey, A.; Páldi-Haris, P.; Gráf, L. Prolonged ACTH treatment increases trypsin-like and phenylethanolamine-N-methyltransferase (PNMT) activity in the adrenals. Eur. J. Pharmacol. 1984, 106, 465–466. [Google Scholar] [CrossRef]
  29. Eisenhofer, G.; Peitzsch, M.; Kaden, D.; Langton, K.; Mangelis, A.; Pamporaki, C.; Masjkur, J.; Geroula, A.; Kurlbaum, M.; Deutschbein, T.; et al. Reference intervals for LC-MS/MS measurements of plasma free, urinary free and urinary acid-hydrolyzed deconjugated normetanephrine, metanephrine and methoxytyramine. Clin. Chim. Acta. 2019, 490, 46–54. [Google Scholar] [CrossRef]
  30. Yu, S.; Yin, Y.; Li, Q.; Yu, J.; Liu, W.; Wang, D.; Cheng, Q.; Xie, S.; Cheng, X.; Qiu, L. Validation of an improved liquid chromatography tandem mass spectrometry method for rapid and simultaneous analysis of plasma catecholamine and their metabolites. J. Chromatogr. B Anal. Technol. Biomed. Life Sci. 2019, 1129, 121805. [Google Scholar] [CrossRef]
  31. Wurtman, R.J. Stress and the adrenocortical control of epinephrine synthesis. Metabolism 2002, 51 (Suppl. S1), 11–14. [Google Scholar] [CrossRef]
  32. Merke, D.P.; Chrousos, G.P.; Eisenhofer, G.; Weise, M.; Keil, M.F.; Rogol, A.D.; Van Wyk, J.J.; Bornstein, S.R. Adrenomedullary dysplasia and hypofunction in patients with classic 21-hydroxylase deficiency. N. Engl. J. Med. 2000, 343, 1362–1368. [Google Scholar] [CrossRef] [PubMed]
  33. Charmandari, E.; Eisenhofer, G.; Mehlinger, S.L.; Carlson, A.; Wesley, R.; Keil, M.F.; Chrousos, G.P.; New, M.I.; Merke, D.P. Adrenomedullary function may predict phenotype and genotype in classic 21-hydroxylase deficiency. J. Clin. Endocrinol. Metab. 2002, 87, 3031–3037. [Google Scholar] [CrossRef] [PubMed]
  34. Riepe, F.G.; Krone, N.; Krüger, S.N.; Sweep, F.C.; Lenders, J.W.; Dötsch, J.; Mönig, H.; Sippell, W.G.; Partsch, C.J. Absence of exercise-induced leptin suppression associated with insufficient epinephrine reserve in patients with classic congenital adrenal hyperplasia due to 21-hydroxylase deficiency. Exp. Clin. Endocrinol. Diabetes. 2006, 114, 105–110. [Google Scholar] [CrossRef] [PubMed]
  35. Osinga, T.E.; van den Eijnden, M.H.; Kema, I.P.; Kerstens, M.N.; Dullaart, R.P.; de Jong, W.H.; Sluiter, W.J.; Links, T.P.; van der Horst-Schrivers, A.N. Unilateral and bilateral adrenalectomy for pheochromocytoma requires adjustment of urinary and plasma metanephrine reference ranges. J. Clin. Endocrinol. Metab. 2013, 98, 1076–1083. [Google Scholar] [CrossRef]
Figure 1. (a) Distribution of cortisol and metanephrine at baseline in patients with detectable MN. P-metanephrine and s-cortisol, both in nmol/L; detectable level of MN ≥ 0.1. (b) Distribution of cortisol and metanephrine at 30 min, during the cosyntropin test, in patients with detectable MN. P-metanephrine and s-cortisol, both in nmol/L; detectable level of MN ≥ 0.1. (c) Distribution of cortisol and metanephrine at 60 min, during the cosyntropin test, in patients with detectable MN. P-metanephrine and s-cortisol, both in nmol/L; detectable level of MN ≥ 0.1.
Figure 1. (a) Distribution of cortisol and metanephrine at baseline in patients with detectable MN. P-metanephrine and s-cortisol, both in nmol/L; detectable level of MN ≥ 0.1. (b) Distribution of cortisol and metanephrine at 30 min, during the cosyntropin test, in patients with detectable MN. P-metanephrine and s-cortisol, both in nmol/L; detectable level of MN ≥ 0.1. (c) Distribution of cortisol and metanephrine at 60 min, during the cosyntropin test, in patients with detectable MN. P-metanephrine and s-cortisol, both in nmol/L; detectable level of MN ≥ 0.1.
Jcm 12 03602 g001
Figure 2. (a) Distribution of cortisol levels at 0, 30, and 60 min, during the cosyntropin test, in patients with and without residual adrenocortical function. (b) Distribution of detectable metanephrine levels at 0, 30, and 60 min, during the cosyntropin test, in patients with and without residual adrenocortical function.
Figure 2. (a) Distribution of cortisol levels at 0, 30, and 60 min, during the cosyntropin test, in patients with and without residual adrenocortical function. (b) Distribution of detectable metanephrine levels at 0, 30, and 60 min, during the cosyntropin test, in patients with and without residual adrenocortical function.
Jcm 12 03602 g002
Table 1. Patient characteristics.
Table 1. Patient characteristics.
Characteristicwithout RAFwith RAFp-Value
N2050
Age (year), median (IQR)49 (32, 55)50 (36, 59)0.62
Female13 (65%)23 (46%)0.15
BMI (kg/m2), mean (SD)24 (4.2)26 (4.3)0.20
Adrenal crisis everno5 (25%)18 (36%)0.38
yes15 (75%)32 (64%)
Systolic BP (mmHg), median (IQR)110 (101,120)121 (116,132)0.01
Diastolic BP (mmHg), median (IQR)71 (69, 80)78 (70, 85)0.14
PRC. (mIE/L) median (IQR)71 (17, 192)91 (27, 206)0.25
S-DHEAS (nmol/L) median (IQR)<0.62 * (0, 192)428 (160, 628)<0.001
Abbreviations: BMI; body mass index, BP; blood pressure, IQR; inter-quartile range, S-DHEAS; serum dehydroepiandrosterone sulfate, PRC; plasma renin concentration * Lower limit of quantification.
Table 2. Median and range of cortisol * in patients with and without detectable metanephrine ** levels at 0, 30, and 60 min in patients with and without residual adrenocortical function during the cosyntropin test.
Table 2. Median and range of cortisol * in patients with and without detectable metanephrine ** levels at 0, 30, and 60 min in patients with and without residual adrenocortical function during the cosyntropin test.
All PatientsCortisolWithout RAF ***CortisolWith RAFCortisol
NMedianMin-MaxNMedianMin-MaxNMedianMin-Max
Time 0 min
MN < 0.14716<0.91–39717<0.91<0.91–143047<0.91–397
MN ≥ 0.123701–29431.81–102010416–294
Time 30 min
MN < 0.15225<0.91–39917<0.91<0.91–1435678–399
MN ≥ 0.117631–31538.51–111412624–315
Time 60 min
MN < 0.15118<0.91–31219<0.91<0.91–232475–312
MN ≥ 0.1181511–4181111717824–418
* P-metanephrine and s-cortisol, both in nmol/L ** Detectable level of MN ≥ 0.1, *** RAF = residual adrenocortical function.
Disclaimer/Publisher’s Note: The statements, opinions and data contained in all publications are solely those of the individual author(s) and contributor(s) and not of MDPI and/or the editor(s). MDPI and/or the editor(s) disclaim responsibility for any injury to people or property resulting from any ideas, methods, instructions or products referred to in the content.

Share and Cite

MDPI and ACS Style

Åkerman, A.-K.; Sævik, Å.B.; Thorsby, P.M.; Methlie, P.; Quinkler, M.; Jørgensen, A.P.; Höybye, C.; Debowska, A.J.; Nedrebø, B.G.; Dahle, A.L.; et al. Plasma-Metanephrines in Patients with Autoimmune Addison’s Disease with and without Residual Adrenocortical Function. J. Clin. Med. 2023, 12, 3602. https://doi.org/10.3390/jcm12103602

AMA Style

Åkerman A-K, Sævik ÅB, Thorsby PM, Methlie P, Quinkler M, Jørgensen AP, Höybye C, Debowska AJ, Nedrebø BG, Dahle AL, et al. Plasma-Metanephrines in Patients with Autoimmune Addison’s Disease with and without Residual Adrenocortical Function. Journal of Clinical Medicine. 2023; 12(10):3602. https://doi.org/10.3390/jcm12103602

Chicago/Turabian Style

Åkerman, Anna-Karin, Åse Bjorvatn Sævik, Per Medbøe Thorsby, Paal Methlie, Marcus Quinkler, Anders Palmstrøm Jørgensen, Charlotte Höybye, Aleksandra J. Debowska, Bjørn Gunnar Nedrebø, Anne Lise Dahle, and et al. 2023. "Plasma-Metanephrines in Patients with Autoimmune Addison’s Disease with and without Residual Adrenocortical Function" Journal of Clinical Medicine 12, no. 10: 3602. https://doi.org/10.3390/jcm12103602

APA Style

Åkerman, A.-K., Sævik, Å. B., Thorsby, P. M., Methlie, P., Quinkler, M., Jørgensen, A. P., Höybye, C., Debowska, A. J., Nedrebø, B. G., Dahle, A. L., Carlsen, S., Tomkowicz, A., Sollid, S. T., Nermoen, I., Grønning, K., Dahlqvist, P., Grimnes, G., Skov, J., Finnes, T., ... Bensing, S. (2023). Plasma-Metanephrines in Patients with Autoimmune Addison’s Disease with and without Residual Adrenocortical Function. Journal of Clinical Medicine, 12(10), 3602. https://doi.org/10.3390/jcm12103602

Note that from the first issue of 2016, this journal uses article numbers instead of page numbers. See further details here.

Article Metrics

Back to TopTop