Effects of Extra Virgin Olive Oil and Apples Enriched-Dark Chocolate on Endothelial Progenitor Cells in Patients with Cardiovascular Risk Factors: A Randomized Cross-Over Trial
Abstract
:1. Introduction
2. Materials and Methods
2.1. Participants
2.2. Recruitment, Screening and Study Design
2.3. Blood Pressure
2.4. Evaluation of Circulating Endothelial Progenitor Cells
2.5. Analytical Parameters of Ingredients and Final Bars
2.6. 1H NMR Analysis of Chocolate Extracts Samples
Sample Preparation and 1H Spectra Acquisition
2.7. 1H NMR Analysis of Urine Samples
Sample Preparation and 1H Spectra Acquisition
2.8. Statistical Analysis
3. Results
3.1. Cocoa Bar Product Characteristics
3.2. Clinical Outcome
3.3. Endothelial Progenitor Cell Levels
3.4. Biochemical Parameters
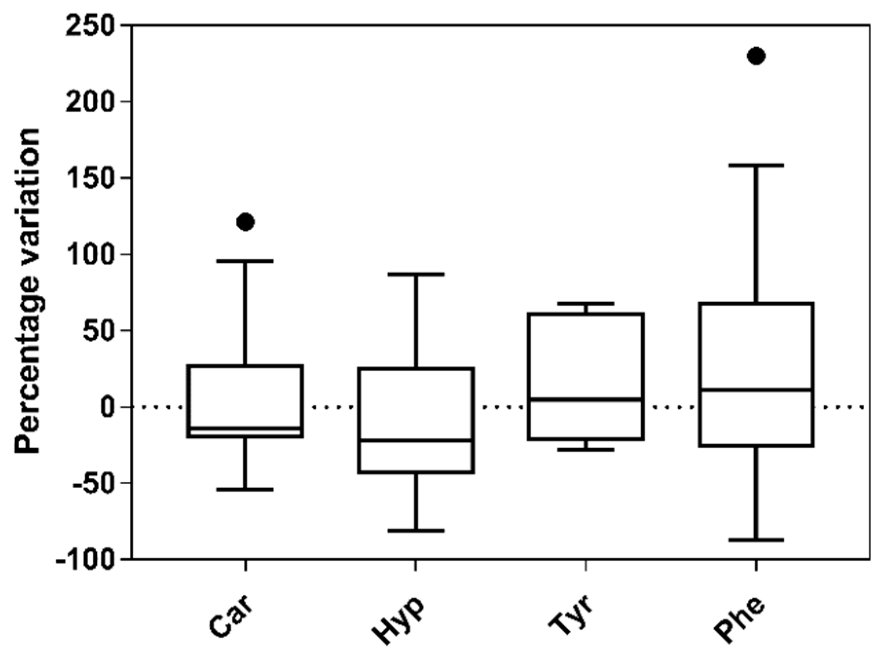
3.5. H NMR Spectrum of Urine
4. Discussion
5. Conclusions
Supplementary Materials
Author Contributions
Funding
Conflicts of Interest
References
- Doughty, K.N.; Del Pilar, N.X.; Audette, A.; Katz, D.L. Lifestyle Medicine and the Management of Cardiovascular Disease. Curr. Cardiol. Rep. 2017, 19, 116. [Google Scholar] [CrossRef]
- Asahara, T.; Murohara, T.; Sullivan, A.; Silver, M.; van der Zee, R.; Li, T.; Witzenbichler, B.; Schatteman, G.; Isner, J.M. Isolation of putative progenitor endothelial cells for angiogenesis. Science 1997, 275, 964–967. [Google Scholar] [CrossRef]
- Zhang, M.; Malik, A.B.; Rehman, J. Endothelial progenitor cells and vascular repair. Curr. Opin. Hematol. 2014, 21, 224–228. [Google Scholar] [CrossRef]
- Hill, J.M.; Zalos, G.; Halcox, J.P.; Schenke, W.H.; Waclawiw, M.A.; Quyyumi, A.A.; Finkel, T. Circulating endothelial progenitor cells, vascular function, and cardiovascular risk. N. Engl. J. Med. 2003, 348, 593–600. [Google Scholar] [CrossRef] [PubMed]
- King, T.; McDermott, J.H. Endothelial progenitor cells and cardiovascular disease. J. Stem Cells 2014, 9, 93–106. [Google Scholar] [PubMed]
- Ishikawa, H.; Tajiri, N.; Shinozuka, K.; Vasconcellos, J.; Kaneko, Y.; Lee, H.J.; Mimura, O.; Dezawa, M.; Kim, S.U.; Borlongan, C.V. Vasculogenesis in experimental stroke after human cerebral endothelial cell transplantation. Stroke 2013, 44, 3473–3481. [Google Scholar] [CrossRef] [PubMed]
- Friedrich, E.B.; Walenta, K.; Scharlau, J.; Nickenig, G.; Werner, N. CD34-/CD133+/VEGFR-2+ endothelial progenitor cell subpopulation with potent vasoregenerative capacities. Circ. Res. 2006, 98, e20–25. [Google Scholar] [CrossRef] [PubMed]
- Werner, N.; Nickenig, G. Clinical and therapeutical implications of EPC biology in atherosclerosis. J. Cell Mol. Med. 2006, 10, 318–332. [Google Scholar] [CrossRef] [PubMed]
- Calo, L.A.; Facco, M.; Davis, P.A.; Pagnin, E.; Maso, L.D.; Puato, M.; Caielli, P.; Agostini, C.; Pessina, A.C. Endothelial progenitor cells relationships with clinical and biochemical factors in a human model of blunted angiotensin II signaling. Hypertens. Res. 2011, 34, 1017–1022. [Google Scholar] [CrossRef] [PubMed]
- Werner, N.; Kosiol, S.; Schiegl, T.; Ahlers, P.; Walenta, K.; Link, A.; Bohm, M.; Nickenig, G. Circulating endothelial progenitor cells and cardiovascular outcomes. N. Engl. J. Med. 2005, 353, 999–1007. [Google Scholar] [CrossRef]
- Di Stefano, R.; Felice, F.; Feriani, R.; Balbarini, A. Endothelial progenitor cells, cardiovascular risk factors and lifestyle modifications. Intern. Emerg. Med. 2013, 8 (Suppl. 1), S47–S49. [Google Scholar] [CrossRef]
- Felice, F.; Zambito, Y.; Di Colo, G.; D’Onofrio, C.; Fausto, C.; Balbarini, A.; Di Stefano, R. Red grape skin and seeds polyphenols: Evidence of their protective effects on endothelial progenitor cells and improvement of their intestinal absorption. Eur. J. Pharm. Biopharm. 2012, 80, 176–184. [Google Scholar] [CrossRef]
- Buijsse, B.; Feskens, E.J.; Kok, F.J.; Kromhout, D. Cocoa intake, blood pressure, and cardiovascular mortality: The Zutphen Elderly Study. Arch. Intern. Med. 2006, 166, 411–417. [Google Scholar] [CrossRef] [PubMed]
- Baba, S.; Natsume, M.; Yasuda, A.; Nakamura, Y.; Tamura, T.; Osakabe, N.; Kanegae, M.; Kondo, K. Plasma LDL and HDL cholesterol and oxidized LDL concentrations are altered in normo- and hypercholesterolemic humans after intake of different levels of cocoa powder. J. Nutr. 2007, 137, 1436–1441. [Google Scholar] [CrossRef]
- Grassi, D.; Necozione, S.; Lippi, C.; Croce, G.; Valeri, L.; Pasqualetti, P.; Desideri, G.; Blumberg, J.B.; Ferri, C. Cocoa reduces blood pressure and insulin resistance and improves endothelium-dependent vasodilation in hypertensives. Hypertension 2005, 46, 398–405. [Google Scholar] [CrossRef] [PubMed]
- Żyżelewicz, D.; Krysiak, W.; Oracz, J.; Sosnowska, D.; Budryn, G.; Nebesny, E. The influence of the roasting process conditions on the polyphenol content in cocoa beans, nibs and chocolates. Food Res. Int. 2016, 89, 918–929. [Google Scholar] [CrossRef]
- Nogueira, L.P.; Knibel, M.P.; Torres, M.R.; Nogueira-Neto, J.F.; Sanjuliani, A.F. Consumption of high-polyphenol dark chocolate improves endothelial function in individuals with stage 1 hypertension and excess body weight. Int. J. Hypertens. 2012, 2012, 147321. [Google Scholar] [CrossRef] [PubMed]
- Khan, N.; Khymenets, O.; Urpi-Sarda, M.; Tulipani, S.; Garcia-Aloy, M.; Monagas, M.; Mora-Cubillos, X.; Llorach, R.; Andres-Lacueva, C. Cocoa polyphenols and inflammatory markers of cardiovascular disease. Nutrients 2014, 6, 844–880. [Google Scholar] [CrossRef]
- Ludovici, V.; Barthelmes, J.; Nagele, M.P.; Enseleit, F.; Ferri, C.; Flammer, A.J.; Ruschitzka, F.; Sudano, I. Cocoa, Blood Pressure, and Vascular Function. Front. Nutr. 2017, 4, 36. [Google Scholar] [CrossRef]
- Sofi, F.; Macchi, C.; Abbate, R.; Gensini, G.F.; Casini, A. Mediterranean diet and health. BioFactors 2013, 39, 335–342. [Google Scholar] [CrossRef]
- Davis, P.A.; Polagruto, J.A.; Valacchi, G.; Phung, A.; Soucek, K.; Keen, C.L.; Gershwin, M.E. Effect of apple extracts on NF-kappaB activation in human umbilical vein endothelial cells. Exp. Biol. Med. 2006, 231, 594–598. [Google Scholar] [CrossRef]
- Felice, F.; Maragò, E.; Sebastiani, L.; Di Stefano, R. Apple juices from ancient Italian cultivars: A study on mature endothelial cells model. Fruits 2015, 70, 361–369. [Google Scholar] [CrossRef]
- Rezzi, S.; Ramadan, Z.; Martin, F.P.; Fay, L.B.; van Bladeren, P.; Lindon, J.C.; Nicholson, J.K.; Kochhar, S. Human metabolic phenotypes link directly to specific dietary preferences in healthy individuals. J. Proteome Res. 2007, 6, 4469–4477. [Google Scholar] [CrossRef]
- Heiss, C.; Jahn, S.; Taylor, M.; Real, W.M.; Angeli, F.S.; Wong, M.L.; Amabile, N.; Prasad, M.; Rassaf, T.; Ottaviani, J.I.; et al. Improvement of endothelial function with dietary flavanols is associated with mobilization of circulating angiogenic cells in patients with coronary artery disease. J. Am. Coll. Cardiol. 2010, 56, 218–224. [Google Scholar] [CrossRef]
- Whelton, P.K.; Carey, R.M.; Aronow, W.S.; Casey, D.E.; Collins, K.J.; Dennison Himmelfarb, C.; DePalma, S.M.; Gidding, S.; Jamerson, K.A.; Jones, D.W.; et al. 2017 ACC/AHA/AAPA/ABC/ACPM/AGS/APhA/ASH/ASPC/NMA/PCNA Guideline for the Prevention, Detection, Evaluation, and Management of High Blood Pressure in Adults. J. Am. Coll. Cardiol. 2018, 71, e127–e248. [Google Scholar] [CrossRef]
- Di Stefano, R.; Felice, F.; Pini, S.; Mazzotta, G.; Bovenzi, F.M.; Bertoli, D.; Abelli, M.; Borelli, L.; Cardini, A.; Lari, L.; et al. Impact of depression on circulating endothelial progenitor cells in patients with acute coronary syndromes: A pilot study. J. Cardiovasc. Med. 2014, 15, 353–359. [Google Scholar] [CrossRef]
- Sutherland, D.R.; Anderson, L.; Keeney, M.; Nayar, R.; Chin-Yee, I. The ISHAGE guidelines for CD34+ cell determination by flow cytometry. International Society of Hematotherapy and Graft Engineering. J. Hematother. 1996, 5, 213–226. [Google Scholar] [CrossRef]
- Francini, A.; Romeo, S.; Cifelli, M.; Gori, D.; Domenici, V.; Sebastiani, L. 1H NMR and PCA-based analysis revealed variety dependent changes in phenolic contents of apple fruit after drying. Food Chem. 2017, 221, 1206–1213. [Google Scholar] [CrossRef]
- Llorach, R.; Urpi-Sarda, M.; Tulipani, S.; Garcia-Aloy, M.; Monagas, M.; Andres-Lacueva, C. Metabolomic fingerprint in patients at high risk of cardiovascular disease by cocoa intervention. Mol. Nutr. Food Res. 2013, 57, 962–973. [Google Scholar] [CrossRef]
- Wurtz, P.; Havulinna, A.S.; Soininen, P.; Tynkkynen, T.; Prieto-Merino, D.; Tillin, T.; Ghorbani, A.; Artati, A.; Wang, Q.; Tiainen, M.; et al. Metabolite profiling and cardiovascular event risk: A prospective study of 3 population-based cohorts. Circulation 2015, 131, 774–785. [Google Scholar] [CrossRef]
- Martin, F.P.; Rezzi, S.; Pere-Trepat, E.; Kamlage, B.; Collino, S.; Leibold, E.; Kastler, J.; Rein, D.; Fay, L.B.; Kochhar, S. Metabolic effects of dark chocolate consumption on energy, gut microbiota, and stress-related metabolism in free-living subjects. J. Proteome Res. 2009, 8, 5568–5579. [Google Scholar] [CrossRef]
- Lee, Y.; Berryman, C.E.; West, S.G.; Chen, C.O.; Blumberg, J.B.; Lapsley, K.G.; Preston, A.G.; Fleming, J.A.; Kris-Etherton, P.M. Effects of Dark Chocolate and Almonds on Cardiovascular Risk Factors in Overweight and Obese Individuals: A Randomized Controlled-Feeding Trial. J. Am. Heart Assoc. 2017, 6, e005162. [Google Scholar] [CrossRef]
- Lenz, E.M.; Bright, J.; Wilson, I.D.; Morgan, S.R.; Nash, A.F. A 1H NMR-based metabonomic study of urine and plasma samples obtained from healthy human subjects. J. Pharm. Biomed. Anal. 2003, 33, 1103–1115. [Google Scholar] [CrossRef]
- Tredwell, G.D.; Bundy, J.G.; De Iorio, M.; Ebbels, T.M. Modelling the acid/base 1H NMR chemical shift limits of metabolites in human urine. Metabolomics 2016, 12, 152. [Google Scholar] [CrossRef] [PubMed]
- Arranz, S.; Valderas-Martinez, P.; Chiva-Blanch, G.; Casas, R.; Urpi-Sarda, M.; Lamuela-Raventos, R.M.; Estruch, R. Cardioprotective effects of cocoa: Clinical evidence from randomized clinical intervention trials in humans. Mol. Nutr. Food Res. 2013, 57, 936–947. [Google Scholar] [CrossRef]
- Hooper, L.; Kroon, P.A.; Rimm, E.B.; Cohn, J.S.; Harvey, I.; Le Cornu, K.A.; Ryder, J.J.; Hall, W.L.; Cassidy, A. Flavonoids, flavonoid-rich foods, and cardiovascular risk: A meta-analysis of randomized controlled trials. Am. J. Clin. Nutr. 2008, 88, 38–50. [Google Scholar] [CrossRef] [PubMed]
- Fadini, G.; Pagano, C.; Baesso, I.; Kotsafti, O.; Doro, D.; de Kreutzenberg, S.V.; Avogaro, A.; Agostini, C.; Dorigo, M.T. Reduced endothelial progenitor cells and brachial artery flow-mediated dilation as evidence of endothelial dysfunction in ocular hypertension and primary open-angle glaucoma. Acta Ophthalmol. 2010, 88, 135–141. [Google Scholar] [CrossRef] [PubMed]
- Quyyumi, A.A. Circulating endothelial progenitor cells as novel biological determinants of vascular function and risk. Can. J. Cardiol. 2004, 20 (Suppl. B), 44B–48B. [Google Scholar]
- Tokede, O.A.; Gaziano, J.M.; Djousse, L. Effects of cocoa products/dark chocolate on serum lipids: A meta-analysis. Eur. J. Clin. Nutr. 2011, 65, 879–886. [Google Scholar] [CrossRef]
- Ried, K.; Sullivan, T.; Fakler, P.; Frank, O.R.; Stocks, N.P. Does chocolate reduce blood pressure? A meta-analysis. BMC Med. 2010, 8, 39. [Google Scholar] [CrossRef]
- Ding, E.L.; Hutfless, S.M.; Ding, X.; Girotra, S. Chocolate and prevention of cardiovascular disease: A systematic review. Nutr. Metab. 2006, 3, 2. [Google Scholar] [CrossRef] [PubMed]
- Engler, M.B.; Engler, M.M.; Chen, C.Y.; Malloy, M.J.; Browne, A.; Chiu, E.Y.; Kwak, H.K.; Milbury, P.; Paul, S.M.; Blumberg, J.; et al. Flavonoid-rich dark chocolate improves endothelial function and increases plasma epicatechin concentrations in healthy adults. J. Am. Coll. Nutr. 2004, 23, 197–204. [Google Scholar] [CrossRef] [PubMed]
- Fisher, N.D.; Hughes, M.; Gerhard-Herman, M.; Hollenberg, N.K. Flavanol-rich cocoa induces nitric-oxide-dependent vasodilation in healthy humans. J. Hypertens. 2003, 21, 2281–2286. [Google Scholar] [CrossRef] [PubMed]
- Murr, C.; Grammer, T.B.; Meinitzer, A.; Kleber, M.E.; Marz, W.; Fuchs, D. Immune activation and inflammation in patients with cardiovascular disease are associated with higher phenylalanine to tyrosine ratios: The ludwigshafen risk and cardiovascular health study. J. Amino Acids 2014, 2014, 783730. [Google Scholar] [CrossRef]
- Fritz, I.B.; Arrigoni-Martelli, E. Sites of action of carnitine and its derivatives on the cardiovascular system: Interactions with membranes. Trends Pharmacol. Sci. 1993, 14, 355–360. [Google Scholar] [CrossRef]
- Lees, H.J.; Swann, J.R.; Wilson, I.D.; Nicholson, J.K.; Holmes, E. Hippurate: The natural history of a mammalian-microbial cometabolite. J. Proteome Res. 2013, 12, 1527–1546. [Google Scholar] [CrossRef] [PubMed]
- Bervoets, L.; Van Hoorenbeeck, K.; Kortleven, I.; Van Noten, C.; Hens, N.; Vael, C.; Goossens, H.; Desager, K.N.; Vankerckhoven, V. Differences in gut microbiota composition between obese and lean children: A cross-sectional study. Gut Pathog. 2013, 5, 10. [Google Scholar] [CrossRef]
- Michielsen, C.; Almanza-Aguilera, E.; Brouwer-Brolsma, E.M.; Urpi-Sarda, M.; Afman, L.A. Biomarkers of food intake for cocoa and liquorice (products): A systematic review. Genes Nutr. 2018, 13, 22. [Google Scholar] [CrossRef]




| Nutrient | Dark Chocolate (70% Cocoa) with 10% Extra Virgin Olive Oil (EVOO) | Dark Chocolate (70% Cocoa) with 2.5% Panaia Red Apple |
|---|---|---|
| Energy (kcal) | 566 | 512 |
| Protein (g) | 9.2 | 8.9 |
| Carbohydrate (g) | 26.6 | 39.3 |
| Sugar (g) | 24 | 36.8 |
| Total fat (g) | 47 | 35.3 |
| Saturated fat (g) | 24.5 | 22.1 |
| Parameters | Dark Chocolate with 10% EVOO | Dark Chocolate with 2.5% Apple | p Value |
|---|---|---|---|
| Total Polyphenols (GAeq/100 g fresh weight) | 80.9 ± 2.54 | 130.1 ± 4.80 * | 0.000 |
| Theobromine (mg g−1 fresh weight) | 1.52 ± 0.018 * | 1.19 ± 0.004 | 0.000 |
| Catechin (mg g−1 fresh weight) | 0.04 ± 0.004 * | 0.03 ± 0.005 | 0.0199 |
| Epicatechin (mg g−1 fresh weight) | 0.11 ± 0.003 * | 0.08 ± 0.003 | 0.0008 |
| IC20 (mg ml−1) | 2.0 ± 0.10 | 7.68 ± 0.05 * | 0.000 |
| Characteristic | Value |
|---|---|
| N (male/female) | 26 (14/12) |
| Age (years, mean ± SD) | 51 ± 9 |
| Body mass index (kg/m2) | 29 ± 6 |
| Cardiovascular Risk Factors | |
| CAD family history (n) | 19 |
| Overweight (n) | 20 |
| Hypertension (n) | 14 |
| Dyslipidemia (n) | 15 |
| Active smokers (n) | 9 |
| Medication | |
| Statins (n) | 1 |
| ACE-inhibitors (n) | 3 |
| Beta-blockers (n) | 2 |
| Calcium channel blockers (n) | 2 |
| Antidiabetics (n) | 0 |
| Sartanic (n) | 3 |
| Diuretic (n) | 2 |
| Other (n) | 2 |
| Biochemical Parameter | EVOO-Dark Chocolate Bar | ||
|---|---|---|---|
| Pre-Treatment | Post-Treatment | p-Value | |
| BMI (Kg/m2) | 29 ± 6 | 29 ± 6 | 0.80 § |
| Glucose (mg/dL) | 90 ± 9 | 91 ± 13 | 0.78 § |
| Total cholesterol (mg/dL) | 216 ± 32 | 213 ± 33 | 0.49 ‡ |
| HDL cholesterol (mg/dL) | 50 ± 13 | 51 ± 16 | 0.28 ‡ |
| LDL cholesterol(mg/dL) | 139 ± 31 | 133 ± 31 | 0.09 ‡ |
| Triglycerides (mg/dL) | 134 ± 61 | 142 ± 94 | 0.58 § |
| Systolic BP (mmHg) | 128 ± 13 | 128 ± 17 | 0.90 ‡ |
| Diastolic BP (mmHg) | 84 ± 10 | 80 ± 9 | 0.07 ‡ |
| Biochemical Parameter | Panaia red Apple-Dark Chocolate Bar | ||
|---|---|---|---|
| Pre-Treatment | Post-Treatment | p-value | |
| BMI (Kg/m2) | 29 ± 6 | 28 ± 6 | 0.08 § |
| Glucose (mg/dL) | 91 ± 12 | 93 ± 8 | 0.44 § |
| Total cholesterol (mg/dL) | 213 ± 32 | 220 ± 34 | 0.16 ‡ |
| HDL cholesterol (mg/dL) | 50 ± 15 | 50 ± 14 | 0.43 ‡ |
| LDL cholesterol(mg/dL) | 132 ± 32 | 142 ± 33 * | 0.03 ‡ |
| Triglycerides (mg/dL) | 152 ± 80 | 135 ± 48 | 0.37 § |
| Systolic BP (mmHg) | 128 ± 21 | 123 ± 15 | 0.18 ‡ |
| Diastolic BP (mmHg) | 81 ± 10 | 79 ± 8 | 0.34 ‡ |
© 2019 by the authors. Licensee MDPI, Basel, Switzerland. This article is an open access article distributed under the terms and conditions of the Creative Commons Attribution (CC BY) license (http://creativecommons.org/licenses/by/4.0/).
Share and Cite
Felice, F.; Francini, A.; Domenici, V.; Cifelli, M.; Belardinelli, E.; Sebastiani, L.; Cantini, C.; Di Stefano, R. Effects of Extra Virgin Olive Oil and Apples Enriched-Dark Chocolate on Endothelial Progenitor Cells in Patients with Cardiovascular Risk Factors: A Randomized Cross-Over Trial. Antioxidants 2019, 8, 88. https://doi.org/10.3390/antiox8040088
Felice F, Francini A, Domenici V, Cifelli M, Belardinelli E, Sebastiani L, Cantini C, Di Stefano R. Effects of Extra Virgin Olive Oil and Apples Enriched-Dark Chocolate on Endothelial Progenitor Cells in Patients with Cardiovascular Risk Factors: A Randomized Cross-Over Trial. Antioxidants. 2019; 8(4):88. https://doi.org/10.3390/antiox8040088
Chicago/Turabian StyleFelice, Francesca, Alessandra Francini, Valentina Domenici, Mario Cifelli, Ester Belardinelli, Luca Sebastiani, Claudio Cantini, and Rossella Di Stefano. 2019. "Effects of Extra Virgin Olive Oil and Apples Enriched-Dark Chocolate on Endothelial Progenitor Cells in Patients with Cardiovascular Risk Factors: A Randomized Cross-Over Trial" Antioxidants 8, no. 4: 88. https://doi.org/10.3390/antiox8040088
APA StyleFelice, F., Francini, A., Domenici, V., Cifelli, M., Belardinelli, E., Sebastiani, L., Cantini, C., & Di Stefano, R. (2019). Effects of Extra Virgin Olive Oil and Apples Enriched-Dark Chocolate on Endothelial Progenitor Cells in Patients with Cardiovascular Risk Factors: A Randomized Cross-Over Trial. Antioxidants, 8(4), 88. https://doi.org/10.3390/antiox8040088

