Calibrated Phase-Shifting Digital Holographic Microscope Using a Sampling Moiré Technique
Abstract
:1. Introduction
2. A Calibrated Phase-Shifting Digital Holographic Microscope System
3. The Sampling Moiré Technique
4. Numerical Simulation
5. Experiment
5.1. Experimental Conditions
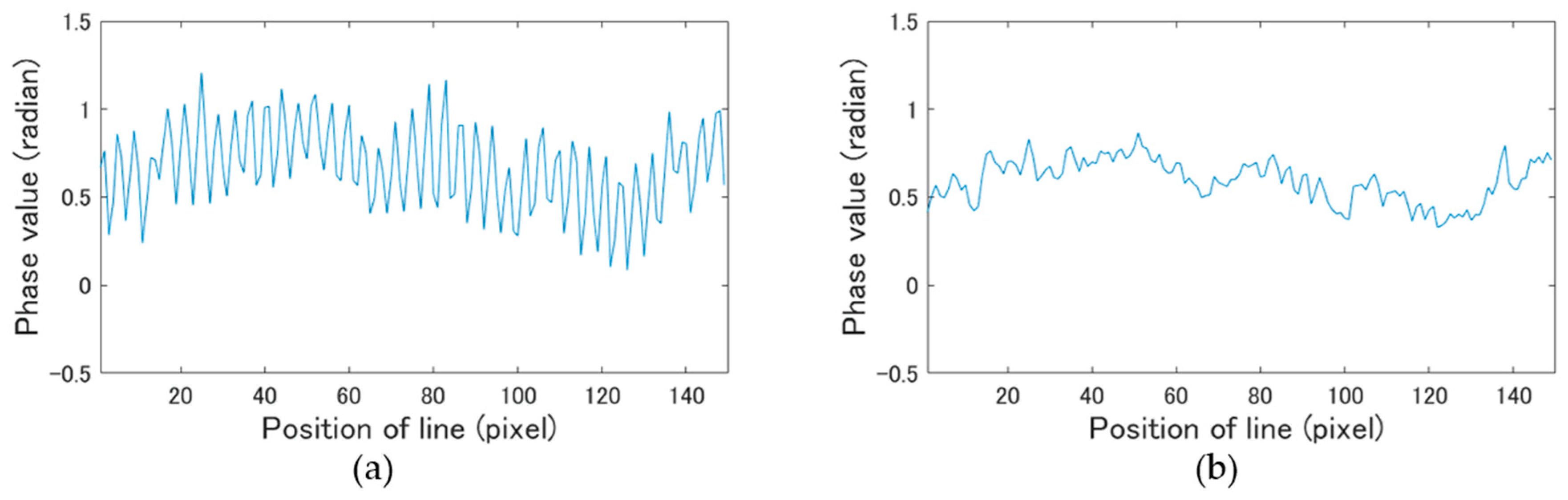
5.2. Experimental Results and Discussion
6. Conclusions
Author Contributions
Funding
Conflicts of Interest
References
- Mann, C.J.; Yu, L.F.; Lo, C.M.; Kim, M.K. High-resolution quantitative phase-contrast microscopy by digital holography. Opt. Express 2005, 13, 8693–8698. [Google Scholar] [CrossRef] [PubMed]
- Dubois, F.; Joannes, L.; Legros, J.C. Improved three-dimensional imaging with a digital holography microscope with a source of partial spatial coherence. Appl. Opt. 1999, 38, 7085–7094. [Google Scholar] [CrossRef] [PubMed]
- Zakerin, M.; Novak, A.; Toda, M.; Emery, Y.; Natalio, F.; Butt, H.J.; Berger, R. Thermal characterization of dynamic silicon cantilever array sensors by digital holographic microscopy. Sensors 2017, 17, 1191. [Google Scholar] [CrossRef] [PubMed]
- Poon, T.-C.; Doh, K.; Schilling, B.; Wu, M.; Shinoda, K.; Suzuki, Y. Three-dimensional microscopy by optical scanning holography. Opt. Eng. 1995, 34, 1338–1344. [Google Scholar] [CrossRef]
- Martínez-León, L.; Pedrini, G.; Osten, W. Applications of short-coherence digital holography in microscopy. Appl. Opt. 2005, 44, 3977–3984. [Google Scholar] [CrossRef] [PubMed]
- Claus, D.; Iliescu, D. Optical parameters and space–bandwidth product optimization in digital holographic microscopy. Appl. Opt. 2013, 52, A410–A422. [Google Scholar] [CrossRef] [PubMed]
- Zhang, T.; Yamaguchi, I. Three-dimensional microscopy with phase-shifting digital holography. Opt. Lett. 1998, 23, 1221–1223. [Google Scholar] [CrossRef] [PubMed]
- Garcia-Sucerquia, J.; Xu, W.B.; Jericho, S.K.; Klages, P.; Jericho, M.H.; Kreuzer, H.J. Digital in-line holographic microscopy. Appl. Opt. 2006, 45, 836–850. [Google Scholar] [CrossRef] [PubMed]
- He, X.; Nguyen, C.V.; Pratap, M.; Zheng, Y.; Wang, Y.; Nisbet, R.D.; Williams, R.J.; Rug, M.; Maier, A.G.; Lee, W.M. Automated Fourier space region-recognition filtering for off-axis digital holographic microscopy. Biomed. Opt. Express 2016, 7, 3111–3123. [Google Scholar] [CrossRef] [PubMed]
- Verrier, N.; Atlan, M. Off-axis digital hologram reconstruction: Some practical considerations. Appl. Opt. 2011, 50, H136–H146. [Google Scholar] [CrossRef] [PubMed]
- Yamaguchi, I.; Zhang, T. Phase-shifting digital holography. Opt. Lett. 1997, 22, 1268–1270. [Google Scholar] [CrossRef] [PubMed]
- Mercer, C.R.; Beheim, G. Fiber optic phase stepping system for interferometry. Appl. Opt. 1991, 30, 729–734. [Google Scholar] [CrossRef] [PubMed]
- Nomura, T.; Imbe, M. Single-exposure phase-shifting digital holography using a random-phase reference wave. Opt. Lett. 2010, 35, 2281–2283. [Google Scholar] [CrossRef] [PubMed]
- Larkin, K. A self-calibrating phase-shifting algorithm based on the natural demodulation of two-dimensional fringe patterns. Opt. Express 2001, 9, 236–253. [Google Scholar] [CrossRef] [PubMed]
- Xia, P.; Wang, Q.; Ri, S.; Tsuda, H. Calibrated phase-shifting digital holography based on dual-camera system. Opt. Lett. 2017, 42, 4954–4957. [Google Scholar] [CrossRef] [PubMed]
- Ri, S.; Muramatsu, T.; Saka, M.; Nanbara, K.; Kobayashi, D. Accuracy of the sampling moiré method and its application to deflection measurements of large-scale structures. Exp. Mech. 2012, 52, 331–340. [Google Scholar] [CrossRef]
- Ri, S.; Fujigaki, M.; Morimoto, Y. Sampling moiré method for accurate small deformation distribution measurement. Exp. Mech. 2010, 50, 501–508. [Google Scholar] [CrossRef]
- Ri, S.; Muramatsu, T. Theoretical error analysis of the sampling moiré method and phase compensation methodology for single-shot phase analysis. Appl. Opt. 2012, 51, 3214–3223. [Google Scholar] [CrossRef] [PubMed]










| Image | Conventional | Proposed | 
|---|---|---|
| Amplitude | 6.433 | 0.042 | 
| Phase | 0.044 | 0.000 | 
© 2018 by the authors. Licensee MDPI, Basel, Switzerland. This article is an open access article distributed under the terms and conditions of the Creative Commons Attribution (CC BY) license (http://creativecommons.org/licenses/by/4.0/).
Share and Cite
Xia, P.; Wang, Q.; Ri, S.; Tsuda, H. Calibrated Phase-Shifting Digital Holographic Microscope Using a Sampling Moiré Technique. Appl. Sci. 2018, 8, 706. https://doi.org/10.3390/app8050706
Xia P, Wang Q, Ri S, Tsuda H. Calibrated Phase-Shifting Digital Holographic Microscope Using a Sampling Moiré Technique. Applied Sciences. 2018; 8(5):706. https://doi.org/10.3390/app8050706
Chicago/Turabian StyleXia, Peng, Qinghua Wang, Shien Ri, and Hiroshi Tsuda. 2018. "Calibrated Phase-Shifting Digital Holographic Microscope Using a Sampling Moiré Technique" Applied Sciences 8, no. 5: 706. https://doi.org/10.3390/app8050706
APA StyleXia, P., Wang, Q., Ri, S., & Tsuda, H. (2018). Calibrated Phase-Shifting Digital Holographic Microscope Using a Sampling Moiré Technique. Applied Sciences, 8(5), 706. https://doi.org/10.3390/app8050706
 
        

 
                         
       