Unified Ciphertext-Policy Weighted Attribute-Based Encryption for Sharing Data in Cloud Computing
Abstract
1. Introduction
1.1. Problem Statement
1.2. Our Contributions
1.3. Organization
2. Related Work
3. Preliminaries
3.1. Bilinear Mapping
- Bilinearity: For any and , is the set of integers . It has .
- Non-degeneracy: .
- Computability: For all , there is an efficient computation .
3.2. Weighted Access Tree
4. System Model and Security Model of UCP-WABE
4.1. System Model of UCP-WABE
4.2. Security Model of UCP-WABE
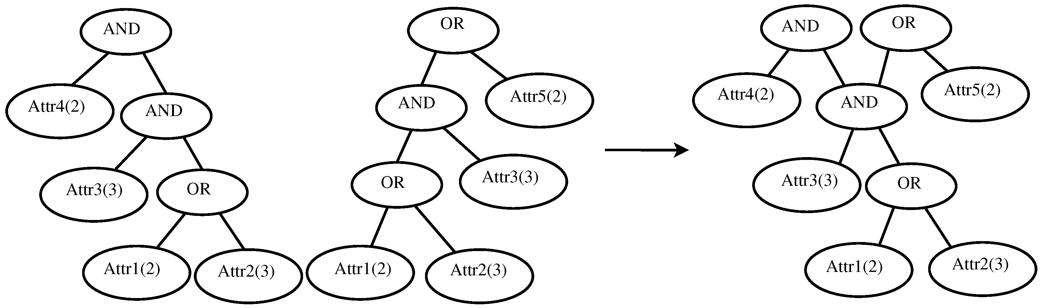
5. Proposed Unified Ciphertext-Policy Weighted Attribute-Based Encryption
5.1. Overview of UCP-WABE
5.2. The Design of UCP-WABE
| Algorithm 1 The mutual information generation algorithm (MutualInfoGen). |
| Input:: The public parameter. : The weighted access tree of Provider A. : The weighted access tree of Provider B. Output:: The mutual information. 1: Create according to the mutual sub-policy of and 2: Select a random ; set ; and randomly choose other points to determine 3: for ∀ non-root node do 4: Calculate , and randomly choose other points to determine 5: if then 6: Calculate 7: for to do 8: if then 9: Calculate 10: else 11: Set , and calculate 12: end if 13: end for 14: Calculate 15: end if 16: end for 17: |
| Algorithm 2 The encryption algorithm (Encrypt). |
| Input:: The public parameter. : The data that Provider A wants to share. : The weighted access tree of Provider A. : The mutual information. Output:: The ciphertext of . 1: Create based on 2: for ∀ trunk node above do 3: Calculate ; select non-constant coefficients randomly; and calculate 4: if then 5: Calculate 6: end if 7: end for 8: for ∀ non-trunk node do 9: Determine the same as MutualInfoGen 10: if then 11: Calculate 12: for to do 13: if then 14: Calculate 15: else 16: Set , and calculate 17: end if 18: end for 19: Calculate 20: end if 21: end for 22: |
| Algorithm 3 The decryption algorithm (Decrypt). |
| Input:: The public parameter. : The secret key of the consumer. : The ciphertext of . Output:: The plaintext of . 1: for ∀ leaf node do 2: if attribute of , and then 3: Set ’s Boolean value to be TRUE, and calculate 4: for to do 5: if then 6: Calculate 7: else 8: Calculate 9: end if 10: end for 11: Calculate 12: else 13: Set 14: end if 15: end for 16: for ∀ non-leaf node do 17: Set as the children of and as an arbitrary -size set of , where . 18: if then 19: Set 20: else 21: Set ’s Boolean value to be TRUE, and calculate 22: end if 23: end for 24: if ’s Boolean value is TRUE then 25: Calculate 26: end if 27: |
6. Security Analysis
6.1. Security Proof
6.2. Discussion
7. Evaluation of the Encryption Efficiency
7.1. Efficiency Analysis Based on Encryption Methodologies
7.2. Efficiency Analysis Based on Implementation
8. Conclusions
Author Contributions
Funding
Acknowledgments
Conflicts of Interest
Abbreviations and Notations
| UCP-WABE | unified ciphertext-policy weighted attribute-based encryption |
| the data that provider i wants to share | |
| the weighted access tree relates to | |
| a bilinear mapping | |
| ’s input group | |
| ’s output group | |
| p | ’s order, namely there are p elements in |
| the set of integers | |
| g | ’s generator. |
| the jth node in | |
| ’s children number | |
| ’s threshold value | |
| the attribute set of a data consumer | |
| the ith attribute of a data consumer | |
| WAA | weighted attribute authority |
| MIE | mutual information extractor |
| the public parameter and master secret key of UCP-WABE | |
| secret key of a data consumer, issued by WAA | |
| the set of all attributes in the system | |
| the ith attribute in | |
| the maximum weight of | |
| the weight of from | |
| the weight of from | |
| the number of leaf nodes in | |
| the root node of the mutual access tree | |
| the mutual information | |
| the hash function to hash an attribute | |
| the ciphertext of | |
| ⊥ | termination signal |
| the operation in | |
| the operation in | |
| the bit size of an element of ∗ | |
| the number of elements of ∗ |
References
- Yu, S.; Wang, C.; Ren, K.; Lou, W. Achieving secure, scalable, and fine-grained data access control in cloud computing. In Proceedings of the 2010 Proceedings IEEE INFOCOM, San Diego, CA, USA, 14–19 March 2010; pp. 1–9. [Google Scholar] [CrossRef]
- Lee, Y.H.; Huang, K.C.; Wu, C.H.; Kuo, Y.H.; Lai, K.C. A Framework for Proactive Resource Provisioning in IaaS Clouds. Appl. Sci. 2017, 7, 777. [Google Scholar] [CrossRef]
- Chadwick, D.W.; Fatema, K. A privacy preserving authorisation system for the cloud. J. Comput. Syst. Sci. 2012, 78, 1359–1373. [Google Scholar] [CrossRef]
- Liu, X.; Zhang, Y.; Wang, B.; Yan, J. Mona: Secure multi-owner data sharing for dynamic groups in the cloud. IEEE Trans. Parallel Distrib. Syst. 2013, 24, 1182–1191. [Google Scholar] [CrossRef]
- Abbas, A.; Khan, S.U. A Review on the State-of-the-Art Privacy-Preserving Approaches in the e-Health Clouds. IEEE J. Biomed. Health Inform. 2014, 18, 1431–1441. [Google Scholar] [CrossRef] [PubMed]
- Liu, L.; Lai, J.; Deng, R.H.; Li, Y. Ciphertext-policy attribute-based encryption with partially hidden access structure and its application to privacy-preserving electronic medical record system in cloud environment. Secur. Commun. Netw. 2016, 9, 4897–4913. [Google Scholar] [CrossRef]
- Li, W.; Liu, B.M.; Liu, D.; Liu, R.P.; Wang, P.; Luo, S.; Ni, W. Unified Fine-grained Access Control for Personal Health Records in Cloud Computing. IEEE J. Biomed. Health Inform. 2018. [Google Scholar] [CrossRef] [PubMed]
- Qiu, M.; Gai, K.; Thuraisingham, B.; Tao, L.; Zhao, H. Proactive user-centric secure data scheme using attribute-based semantic access controls for mobile clouds in financial industry. Future Gener. Comput. Syst. 2018, 80, 421–429. [Google Scholar] [CrossRef]
- Chang, V.; Ramachandran, M. Financial Modeling and Prediction as a Service. J. Grid Comput. 2017, 15, 177–195. [Google Scholar] [CrossRef]
- Gai, K.; Du, Z.; Qiu, M.; Zhao, H. Efficiency-Aware Workload Optimizations of Heterogeneous Cloud Computing for Capacity Planning in Financial Industry. In Proceedings of the IEEE International Conference on Cyber Security and Cloud Computing, New York, NY, USA, 3–5 November 2015; pp. 1–6. [Google Scholar]
- Wang, G.; Liu, Q.; Wu, J.; Guo, M. Hierarchical attribute-based encryption and scalable user revocation for sharing data in cloud servers. Comput. Secur. 2011, 30, 320–331. [Google Scholar] [CrossRef]
- Li, M.; Yu, S.; Zheng, Y.; Ren, K.; Lou, W. Scalable and secure sharing of personal health records in cloud computing using attribute-based encryption. IEEE Trans. Parallel Distrib. Syst. 2013, 24, 131–143. [Google Scholar] [CrossRef]
- Hur, J. Improving security and efficiency in attribute-based data sharing. IEEE Trans. Knowl. Data Eng. 2013, 25, 2271–2282. [Google Scholar] [CrossRef]
- Li, J.; Zhang, Y.; Chen, X.; Xiang, Y. Secure attribute-based data sharing for resource-limited users in cloud computing. Comput. Secur. 2018, 72, 1–12. [Google Scholar] [CrossRef]
- Sahai, A.; Waters, B. Fuzzy identity-based encryption. In Proceedings of the Annual International Conference on the Theory and Applications of Cryptographic Techniques, Aarhus, Denmark, 22–26 May 2005; Springer: Berlin, Germany, 2005; pp. 457–473. [Google Scholar] [CrossRef]
- Liu, X.; Ma, J.; Xiong, J.; Li, Q.; Ma, J. Ciphertext-Policy Weighted Attribute Based Encryption for Fine-Grained Access Control. In Proceedings of the International Conference on Intelligent NETWORKING and Collaborative Systems, Xi’an, China, 9–11 September 2013; pp. 51–57. [Google Scholar]
- Liu, X.; Ma, J.; Xiong, J.; Li, Q.; Zhang, T. Ciphertext-policy weighted attribute based encryption scheme. J. Xi’an Jiaotong Univ. 2013, 47, 44–48. [Google Scholar]
- Liu, X.; Ma, J.; Xiong, J.; Li, Q.; Zhang, T.; Zhu, H. ciphertext-policy weighted attribute-based encryption scheme in cloud computing. J. Sichuan Univ. (Eng. Sci. Ed.) 2013, 45, 21–26. [Google Scholar]
- Wang, Y.; Zhang, D.; Zhong, H. Multi-authority based weighted attribute encryption scheme in cloud computing. In Proceedings of the International Conference on Natural Computation, Xiamen, China, 19–21 August 2014; pp. 1033–1038. [Google Scholar]
- Liu, X.; Zhu, H.; Ma, J.; Ma, J.; Ma, S. Key-Policy Weighted Attribute based Encryption for fine-grained access control. In Proceedings of the 2014 IEEE International Conference on Communications Workshops (ICC), Sydney, NSW, Australia, 10–14 June 2014; pp. 694–699. [Google Scholar] [CrossRef]
- Ghosh, S.; Karar, V. Blowfish Hybridized Weighted Attribute-Based Encryption for Secure and Efficient Data Collaboration in Cloud Computing. Appl. Sci. 2018, 8, 1119. [Google Scholar] [CrossRef]
- Li, W.; Ni, W.; Liu, D.; Liu, R.P.; Wang, P.; Luo, S. Fine-Grained Access Control for Personal Health Records in Cloud Computing. In Proceedings of the 2017 IEEE 85th Vehicular Technology Conference (VTC Spring), Sydney, NSW, Australia, 4–7 June 2017; pp. 1–5. [Google Scholar] [CrossRef]
- Boneh, D.; Boyen, X. Efficient selective-ID secure identity-based encryption without random oracles. In Proceedings of the International Conference on the Theory and Applications of Cryptographic Techniques, Interlaken, Switzerland, 2–6 May 2004; Springer: Berlin, Germany, 2004; pp. 223–238. [Google Scholar]
- Bethencourt, J.; Sahai, A.; Waters, B. Ciphertext-policy attribute-based encryption. In Proceedings of the 2007 IEEE Symposium on Security and Privacy (SP’07), Berkeley, CA, USA, 20–23 May 2007; pp. 321–334. [Google Scholar] [CrossRef]
- Goyal, V.; Pandey, O.; Sahai, A.; Waters, B. Attribute-based encryption for fine-grained access control of encrypted data. In Proceedings of the 13th ACM conference on Computer and Communications Security, Alexandria, VA, USA, 30 October–3 November 2006; ACM: New York, NY, USA, 2006; pp. 89–98. [Google Scholar] [CrossRef]
- Waters, B. Ciphertext-Policy Attribute-Based Encryption: An Expressive, Efficient, and Provably Secure Realization; Springer: Berlin/Heidelberg, Germany, 2011; pp. 53–70. [Google Scholar]
- Beimel, A. Secure Schemes for Secret Sharing and Key Distribution. Ph.D. Thesis, Israel Institute of Technology Technion, Haifa, Israel, 1996. [Google Scholar]
- Beimel, A.; Tassa, T.; Weinreb, E. Characterizing ideal weighted threshold secret sharing. In Proceedings of the Theory of Cryptography Conference, Cambridge, MA, USA, 10–12 February 2005; Springer: New York, NY, USA, 2005; pp. 600–619. [Google Scholar]
- Chase, M. Multi-authority attribute based encryption. In Proceedings of the Conference on Theory of Cryptography, Amsterdam, The Netherlands, 21–24 February 2007; pp. 515–534. [Google Scholar]
- Liang, K.; Huang, X.; Guo, F.; Liu, J.K. Privacy-Preserving and Regular Language Search Over Encrypted Cloud Data. IEEE Trans. Inf. Forensics Secur. 2016, 11, 2365–2376. [Google Scholar] [CrossRef]
- Cohen, H.; Frey, G.; Avanzi, R.; Doche, C.; Lange, T.; Nguyen, K.; Vercauteren, F. Handbook of Elliptic and Hyperelliptic Curve Cryptography; CRC Press: Boca Raton, FL, USA, 2005. [Google Scholar]
- Stinson, D.R. Cryptography: Theory and Practice; CRC Press: Boca Raton, FL, USA, 2005. [Google Scholar]
- The CPABE Toolkit. Available online: http://acsc.cs.utexas.edu/cpabe/ (accessed on 4 March 2018).
- Pairing-Based Cryptography Library. Available online: http://crypto.stanford.edu/pbc/ (accessed on 4 March 2018).








| Attr1(3), Attr2(2), Attr3(4), Attr4(2) | FALSE | FALSE |
| Attr1(3), Attr2(3), Attr3(2), Attr4(2) | FALSE | TRUE |
| Attr1(3), Attr2(3), Attr3(4), Attr4(1) | TRUE | FALSE |
| Attr1(3), Attr2(3), Attr3(4), Attr4(2) | TRUE | TRUE |
| Component | CP-ABE | CP-WABE | UCP-WABE |
|---|---|---|---|
| Public key size | |||
| Master key size | |||
| Secret key size | |||
| Ciphertext size | |||
| Encryption Time | |||
| Decryption Time | |||
| Weighted Attributes | NO | YES | YES |
| Unified Encryption | NO | NO | YES |
© 2018 by the authors. Licensee MDPI, Basel, Switzerland. This article is an open access article distributed under the terms and conditions of the Creative Commons Attribution (CC BY) license (http://creativecommons.org/licenses/by/4.0/).
Share and Cite
Li, W.; Ni, W.; Liu, D.; Liu, R.P.; Luo, S. Unified Ciphertext-Policy Weighted Attribute-Based Encryption for Sharing Data in Cloud Computing. Appl. Sci. 2018, 8, 2519. https://doi.org/10.3390/app8122519
Li W, Ni W, Liu D, Liu RP, Luo S. Unified Ciphertext-Policy Weighted Attribute-Based Encryption for Sharing Data in Cloud Computing. Applied Sciences. 2018; 8(12):2519. https://doi.org/10.3390/app8122519
Chicago/Turabian StyleLi, Wei, Wei Ni, Dongxi Liu, Ren Ping Liu, and Shoushan Luo. 2018. "Unified Ciphertext-Policy Weighted Attribute-Based Encryption for Sharing Data in Cloud Computing" Applied Sciences 8, no. 12: 2519. https://doi.org/10.3390/app8122519
APA StyleLi, W., Ni, W., Liu, D., Liu, R. P., & Luo, S. (2018). Unified Ciphertext-Policy Weighted Attribute-Based Encryption for Sharing Data in Cloud Computing. Applied Sciences, 8(12), 2519. https://doi.org/10.3390/app8122519
