Effect of the Metro Train on the Smoke Back-Layering Length under Different Tunnel Cross-Sections
Abstract
:1. Introduction
2. Literature Review
3. Dimensionless Analysis
3.1. Without Metro Train Blockage in Tunnel
3.2. With Metro Train Blockage in Tunnel
3.2.1. Smoke Is Restricted to the Length of the Metro Train
3.2.2. Smoke Spread Exceeds the Length of the Metro Train
4. Numerical Simulation
4.1. FDS Model
4.2. Fire Source
4.3. Boundary Condition
4.4. A Sensitivity Study on the Mesh System
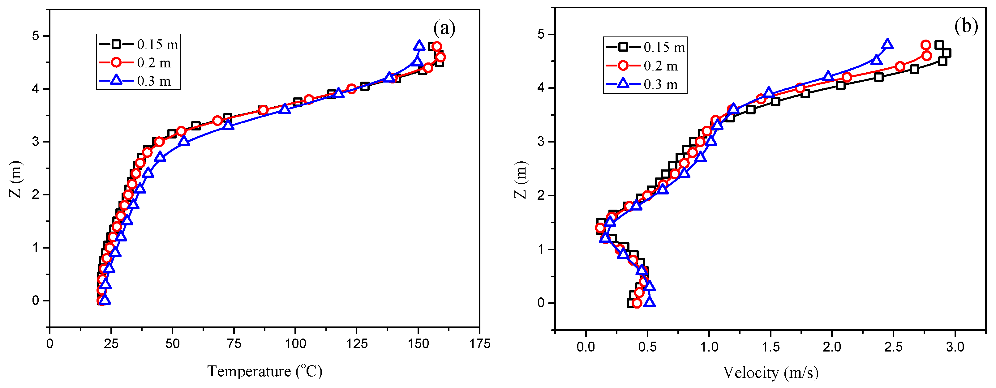
4.5. Validation
5. Results and Discussions
5.1. Smoke Back-Layering Length at Different Cross-Sections
5.1.1. Simulation Results of Smoke Back-Layering Length
5.1.2. Smoke Is Restricted to the Length of the Metro Train
5.1.3. Smoke Spread Exceeds the Length of the Metro Train
5.2. Model Validation and Comparison
6. Conclusions
- (1)
- The impact of metro trains on the length of smoke back-layering is significant at all different tunnel cross-sections. The blockage ratio alone cannot well characterize the blockage effect of metro trains on the smoke back-layering length in tunnels with different cross-sections.
- (2)
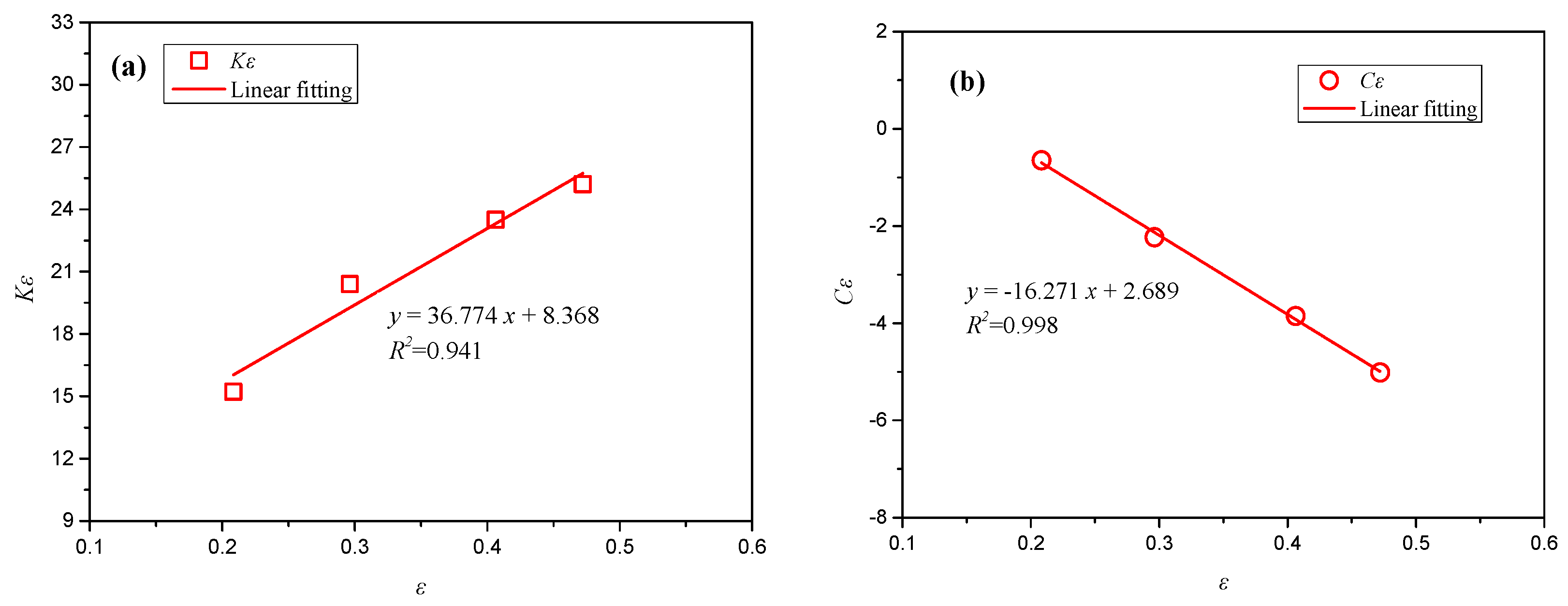
- Based on the blockage ratio, the headroom ratio ε was proposed to more accurately characterize the effect of metro trains on the length of the smoke back-layering in tunnels with different cross-sections.
- (3)
- A new prediction model was proposed to take into account the effect of metro trains stopped in a tunnel with different tunnel cross-sections to predict the length of back-layering in metro tunnels. The superiority of the proposed model for predicting the length of smoke back-layering from metro trains in tunnels with different cross-sections was demonstrated by comparing it with previous prediction models and experimental results.
Author Contributions
Funding
Institutional Review Board Statement
Informed Consent Statement
Data Availability Statement
Acknowledgments
Conflicts of Interest
Nomenclature
| Smoke back-layering length (m) | |
| Tunnel height (m) | |
| Tunnel cross-sectional area (m2) | |
| Heat release rate (kW) | |
| Ambient air density (kg/m3) | |
| Thermal capacity of air (kJ/(kg K)) | |
| Smoke temperature (K) | |
| Ambient temperature (K) | |
| Acceleration of gravity (m/s2) | |
| Longitudinal ventilation velocity (m/s) | |
| Coefficient in Equation (2) | |
| Dimensionless heat release rate | |
| and | Coefficient in Equation (2) |
| Froude number | |
| Dimensionless back-layering length | |
| Dimensionless ventilation velocity | |
| Hydraulic diameter of the tunnel (m) | |
| Metro train length (m) | |
| Dimensionless metro train length | |
| Blockage ratio | |
| Dimensionless heat release rate of the virtual fire source at the rear of the metro train in Equation (5) | |
| Dimensionless critical heat release rate of the fire source in Equation (5) | |
| Dimensionless heat release rate of the equivalent fire source at the front of the train in Equation (6) | |
| Critical value of ventilation velocity in Equation (13) | |
| Dimensionless critical value of ventilation velocity in Equation (14) | |
| Smoke back-layering length in the upstream region of the tunnel without blockage | |
| Heat release rate of the virtual fire source at the rear of the metro train (kW) | |
| Dimensionless smoke back-layering length in the upstream region of the tunnel without blockage | |
| Dimensionless heat release rate of the virtual fire source at the rear of the metro train | |
| Dimensionless critical ventilation velocity | |
| Coefficient in Equation (16) | |
| Characteristic fire diameter (m) | |
| Headroom ratio | |
| Coefficient in Equation (24) | |
| Coefficient in Equation (24) |
References
- El-khateeb, L.; Mohammed Abdelkader, E.; Al-Sakkaf, A.; Zayed, T. A hybrid multi-criteria decision making model for defect-based condition assessment of railway infrastructure. Sustainability 2021, 13, 7186. [Google Scholar] [CrossRef]
- Meng, N.; Liu, B.; Li, X.; Jin, X.; Huang, Y.; Wang, Q. Effect of blockage-induced near wake flow on fire properties in a longitudinally ventilated tunnel. Int. J. Therm. Sci. 2018, 134, 1–12. [Google Scholar] [CrossRef]
- Wu, Y.; Bakar, M.Z.A. Control of smoke flow in tunnel fires using longitudinal ventilation systems—A study of the critical velocity. Fire Saf. J. 2000, 35, 363–390. [Google Scholar] [CrossRef]
- Li, Y.Z.; Lei, B.; Ingason, H. Study of critical velocity and backlayering length in longitudinally ventilated tunnel fires. Fire Saf. J. 2010, 45, 361–370. [Google Scholar] [CrossRef]
- Weng, M.-C.; Lu, X.-l.; Liu, F.; Du, C.-X. Study on the critical velocity in a sloping tunnel fire under longitudinal ventilation. Appl. Therm. Eng. 2016, 94, 422–434. [Google Scholar] [CrossRef]
- Thomas, P.H. The movement of buoyant fluid against a stream and the venting of underground fires. Fire Saf. Sci. 1958, 351, 1–7. [Google Scholar]
- Hu, L.H.; Huo, R.; Chow, W.K. Studies on buoyancy-driven back-layering flow in tunnel fires. Exp. Therm. Fluid Sci. 2008, 32, 1468–1483. [Google Scholar] [CrossRef]
- Weng, M.-C.; Lu, X.-l.; Liu, F.; Shi, X.-P.; Yu, L.-X. Prediction of backlayering length and critical velocity in metro tunnel fires. Tunn. Undergr. Space Technol. 2015, 47, 64–72. [Google Scholar] [CrossRef]
- Zhu, K.; Shi, L.; Yao, Y.; Zhang, S.; Cheng, X. Smoke movement in a sloping subway tunnel under longitudinal ventilation with blockage. Fire Technol. 2017, 53, 1985–2006. [Google Scholar] [CrossRef]
- Zhao, S.; Liu, F.; Wang, F.; Weng, M.; Zeng, Z. A numerical study on smoke movement in a metro tunnel with a non-axisymmetric cross-section. Tunn. Undergr. Space Technol. 2018, 73, 187–202. [Google Scholar] [CrossRef]
- Zhang, S.G.; Yang, H.; Yao, Y.Z.; Zhu, K.; Zhou, Y.; Cheng, X.D.; Shi, L. Numerical investigation of back-layering length and critical velocity in curved subway tunnels with different turning radius. Fire Technol. 2017, 53, 1765–1793. [Google Scholar] [CrossRef]
- Chen, L.F.; Hu, L.H.; Tang, W.; Yi, L. Studies on buoyancy driven two-directional smoke flow layering length with combination of point extraction and longitudinal ventilation in tunnel fires. Fire Saf. J. 2013, 59, 94–101. [Google Scholar] [CrossRef]
- Chen, L.F.; Hu, L.H.; Zhang, X.L.; Zhang, X.Z.; Zhang, X.C.; Yang, L.Z. Thermal buoyant smoke back-layering flow length in a longitudinal ventilated tunnel with ceiling extraction at difference distance from heat source. Appl. Therm. Eng. 2015, 78, 129–135. [Google Scholar] [CrossRef]
- Wang, J.; Yuan, J.; Fang, Z.; Tang, Z.; Qian, P.; Ye, J. A model for predicting smoke back-layering length in tunnel fires with the combination of longitudinal ventilation and point extraction ventilation in the roof. Tunn. Undergr. Space Technol. 2018, 80, 16–25. [Google Scholar] [CrossRef] [Green Version]
- Huang, Y.; Li, Y.; Li, J.; Wu, K.; Li, H.; Zhu, K.; Li, J. Experimental investigation of the thermal back-layering length in a branched tunnel fire under longitudinal ventilation. Int. J. Therm. Sci. 2022, 173, 107415. [Google Scholar] [CrossRef]
- Wu, F.; Zhou, R.; Shen, G.; Jiang, J.; Li, K. Effects of ambient pressure on smoke back-layering in subway tunnel fires. Tunn. Undergr. Space Technol. 2018, 79, 134–142. [Google Scholar] [CrossRef]
- Guo, F.; Gao, Z.; Wan, H.; Ji, J.; Yu, L.; Ding, L. Influence of ambient pressure on critical ventilation velocity and backlayering distance of thermal driven smoke in tunnels with longitudinal ventilation. Int. J. Therm. Sci. 2019, 145, 105989. [Google Scholar] [CrossRef]
- Zhang, S.; Wang, J.; He, K.; Yao, Y.; Peng, M. Study on the smoke back-layering and critical ventilation in the road tunnel fire at high altitude. Fire Mater. 2019, 43, 422–429. [Google Scholar] [CrossRef]
- El-Zahab, S.; Al-Sakkaf, A.; Mohammed Abdelkader, E.; Zayed, T. A machine learning-based model for real-time leak pinpointing in buildings using accelerometers. J. Vib. Control 2022. [Google Scholar] [CrossRef]
- Wu, X.; Park, Y.; Li, A.; Huang, X.; Xiao, F.; Usmani, A. Smart detection of fire source in tunnel based on the numerical database and artificial intelligence. Fire Technol. 2020, 57, 657–682. [Google Scholar] [CrossRef]
- Hong, Y.; Kang, J.; Fu, C. Tunnel fire smoke control based on the pid method: A numerical study. Tunn. Undergr. Space Technol. 2022, 124, 104450. [Google Scholar] [CrossRef]
- Tang, W.; Hu, L.H.; Chen, L.F. Effect of blockage-fire distance on buoyancy driven back-layering length and critical velocity in a tunnel: An experimental investigation and global correlations. Appl. Therm. Eng. 2013, 60, 7–14. [Google Scholar] [CrossRef]
- Gannouni, S.; Maad, R.B. Numerical study of the effect of blockage on critical velocity and backlayering length in longitudinally ventilated tunnel fires. Tunn. Undergr. Space Technol. 2015, 48, 147–155. [Google Scholar] [CrossRef]
- Zhang, S.; Yao, Y.; Zhu, K.; Li, K.; Zhang, R.; Lu, S.; Cheng, X. Prediction of smoke back-layering length under different longitudinal ventilations in the subway tunnel with metro train. Tunn. Undergr. Space Technol. 2016, 53, 13–21. [Google Scholar] [CrossRef]
- Zhang, S.; Cheng, X.; Yao, Y.; Zhu, K.; Li, K.; Lu, S.; Zhang, R.; Zhang, H. An experimental investigation on blockage effect of metro train on the smoke back-layering in subway tunnel fires. Appl. Therm. Eng. 2016, 99, 214–223. [Google Scholar] [CrossRef]
- Meng, N.; Liu, X.; Li, X.; Liu, B. Effect of blockage ratio on backlayering length of thermal smoke flow in a longitudinally ventilated tunnel. Appl. Therm. Eng. 2018, 132, 1–7. [Google Scholar] [CrossRef]
- Wang, Y.; Wu, F.; Wu, P. Effects of passenger blockage on smoke flow properties in longitudinally ventilated tunnel fires. Fire Mater. 2019, 44, 283–295. [Google Scholar] [CrossRef]
- Wang, F.; Weng, M.; Han, J.; Obadi, I.; Liu, F. Effect of metro train on the critical driving force for preventing smoke back-layering in tunnel fires. Fire Mater. 2021. [Google Scholar] [CrossRef]
- Haddad, R.K.; Maluk, C.; Reda, E.; Harun, Z. Critical velocity and backlayering conditions in rail tunnel fires: State-of-the-art review. J. Combust. 2019, 2019, 3510245. [Google Scholar] [CrossRef] [Green Version]
- Chaabat, F.; Creyssels, M.; Mos, A.; Wingrave, J.; Correia, H.; Marro, M.; Salizzoni, P. The effects of solid barriers and blocks on the propagation of smoke within longitudinally ventilated tunnels. Build. Environ. 2019, 160, 106207. [Google Scholar] [CrossRef]
- Lee, Y.-P.; Tsai, K.-C. Effect of vehicular blockage on critical ventilation velocity and tunnel fire behavior in longitudinally ventilated tunnels. Fire Saf. J. 2012, 53, 35–42. [Google Scholar] [CrossRef]
- McGrattan, K.; Hostikka, S.; McDermott, R.; Floyd, J.; Weinschenk, C.; Overholt, K. Fire Dynamics Simulator User’s Guide; NIST Special Publication: Gaithersburg, MD, USA, 2016. [Google Scholar]
- Zhao, S.; Li, Y.Z.; Kumm, M.; Ingason, H.; Liu, F. Re-direction of smoke flow in inclined tunnel fires. Tunn. Undergr. Space Technol. 2019, 86, 113–127. [Google Scholar] [CrossRef]
- Han, J.; Liu, F.; Wang, F.; Weng, M.; Wang, J. Study on the smoke movement and downstream temperature distribution in a sloping tunnel with one closed portal. Int. J. Therm. Sci. 2020, 149, 106165. [Google Scholar] [CrossRef]
- Tan, T.; Yu, L.; Ding, L.; Gao, Z.; Ji, J. Numerical investigation on the effect of ambient pressure on mechanical smoke extraction efficiency in tunnel fires. Fire Saf. J. 2020, 120, 103136. [Google Scholar] [CrossRef]
- Yao, Y.; Li, Y.Z.; Ingason, H.; Cheng, X. Numerical study on overall smoke control using naturally ventilated shafts during fires in a road tunnel. Int. J. Therm. Sci. 2019, 140, 491–504. [Google Scholar] [CrossRef]
- Liu, C.; Zhong, M.; Tian, X.; Zhang, P.; Xiao, Y.; Mei, Q. Experimental and numerical study on fire-induced smoke temperature in connected area of metro tunnel under natural ventilation. Int. J. Therm. Sci. 2019, 138, 84–97. [Google Scholar] [CrossRef]
- Yan, G.; Wang, M.; Yu, L.; Tian, Y.; Guo, X. Study of smoke movement characteristics in tunnel fires in high-altitude areas. Fire Mater. 2020, 44, 65–75. [Google Scholar] [CrossRef]
- Zhang, S.; Shi, L.; Li, X.; Huang, Y.; He, K.; Wang, J. Critical ventilation velocity under the blockage of different metro train in a long metro tunnel. Fire Mater. 2020, 44, 497–505. [Google Scholar] [CrossRef]
- Liu, F.; Yu, L.X.; Weng, M.C.; Lu, X.L. Study on longitudinal temperature distribution of fire-induced ceiling flow in tunnels with different sectional coefficients. Tunn. Undergr. Space Technol. 2016, 54, 49–60. [Google Scholar] [CrossRef]
- Wang, F.; Liu, F.; Obadi, I.; Weng, M. Study on the smoke propagation characteristics of metro tunnel fire under the effects of piston wind. Indoor Built Environ. 2021. [Google Scholar] [CrossRef]















| Case | HRR (MW) | Tunnel | Longitudinal Ventilation Velocity (m/s) |
|---|---|---|---|
| 1–9 | 5 | A | 0.5, 0.6, 0.7, 0.8, 0.9, 1.0, 1.1, 1.2, 1.3 |
| 10–18 | B | 0.6, 0.7, 0.8, 0.9, 1.0, 1.1, 1.2, 1.3, 1.4 | |
| 19–27 | C | 0.7, 0.8, 0.9, 1.0, 1.1, 1.2, 1.3, 1.4, 1.5 | |
| 28–36 | D | 0.8, 0.9, 1.0, 1.1, 1.2, 1.3, 1.4, 1.5, 1.6 | |
| 37–45 | 7.5 | A | 0.6, 0.7, 0.8, 0.9, 1.0, 1.1, 1.2, 1.3, 1.4 |
| 46–54 | B | 0.7, 0.8, 0.9, 1.0, 1.1,1.2, 1.3, 1.4, 1.5 | |
| 55–63 | C | 0.8, 0.9, 1.0, 1.1, 1.2, 1.3, 1.4, 1.5, 1.6 | |
| 64–72 | D | 0.9, 1.0, 1.1, 1.2, 1.3, 1.4, 1.5, 1.6, 1.7 |
| Tunnel | |||||
|---|---|---|---|---|---|
| A | 0.462 | 0.2083 | 15.222 | −0.650 | 0.997 |
| B | 0.410 | 0.2963 | 20.404 | −2.234 | 0.996 |
| C | 0.346 | 0.4063 | 23.498 | −3.852 | 0.997 |
| D | 0.308 | 0.4722 | 25.212 | −5.013 | 0.992 |
| HRR (MW) | Tunnel | Longitudinal Ventilation Velocity (m/s) | ||||||||
|---|---|---|---|---|---|---|---|---|---|---|
| 0.5 | 0.6 | 0.7 | 0.8 | 0.9 | 1.0 | 1.1 | 1.2 | |||
| 5 | A | 0.002130 | 22.604 | 11.250 | - | - | - | - | - | - |
| B | 0.003276 | \ | 20.069 | 12.101 | 4.722 | - | - | - | - | |
| C | 0.004776 | \ | \ | 19.505 | 12.852 | 7.383 | 0.820 | - | - | |
| D | 0.005635 | \ | \ | \ | 17.882 | 11.719 | 5.469 | - | - | |
| 7.5 | A | 0.003195 | \ | 21.104 | 9.479 | 0.104 | - | - | - | - |
| B | 0.004914 | \ | \ | 19.971 | 12.888 | 6.001 | 0.197 | - | - | |
| C | 0.007163 | \ | \ | \ | 20.599 | 14.310 | 8.750 | 2.552 | - | |
| D | 0.008453 | \ | \ | \ | \ | 19.271 | 13.194 | 7.813 | 2.431 | |
Publisher’s Note: MDPI stays neutral with regard to jurisdictional claims in published maps and institutional affiliations. |
© 2022 by the authors. Licensee MDPI, Basel, Switzerland. This article is an open access article distributed under the terms and conditions of the Creative Commons Attribution (CC BY) license (https://creativecommons.org/licenses/by/4.0/).
Share and Cite
Wang, M.; Liu, H.; Wang, F.; Shen, L.; Weng, M. Effect of the Metro Train on the Smoke Back-Layering Length under Different Tunnel Cross-Sections. Appl. Sci. 2022, 12, 6775. https://doi.org/10.3390/app12136775
Wang M, Liu H, Wang F, Shen L, Weng M. Effect of the Metro Train on the Smoke Back-Layering Length under Different Tunnel Cross-Sections. Applied Sciences. 2022; 12(13):6775. https://doi.org/10.3390/app12136775
Chicago/Turabian StyleWang, Meng, Henan Liu, Fei Wang, Linhan Shen, and Miaocheng Weng. 2022. "Effect of the Metro Train on the Smoke Back-Layering Length under Different Tunnel Cross-Sections" Applied Sciences 12, no. 13: 6775. https://doi.org/10.3390/app12136775
APA StyleWang, M., Liu, H., Wang, F., Shen, L., & Weng, M. (2022). Effect of the Metro Train on the Smoke Back-Layering Length under Different Tunnel Cross-Sections. Applied Sciences, 12(13), 6775. https://doi.org/10.3390/app12136775

