Protective Effect of HER2 Gene Polymorphism rs24537331 in the Outcome of Canine Mammary Tumors
Abstract
Simple Summary
Abstract
1. Introduction
2. Materials and Methods
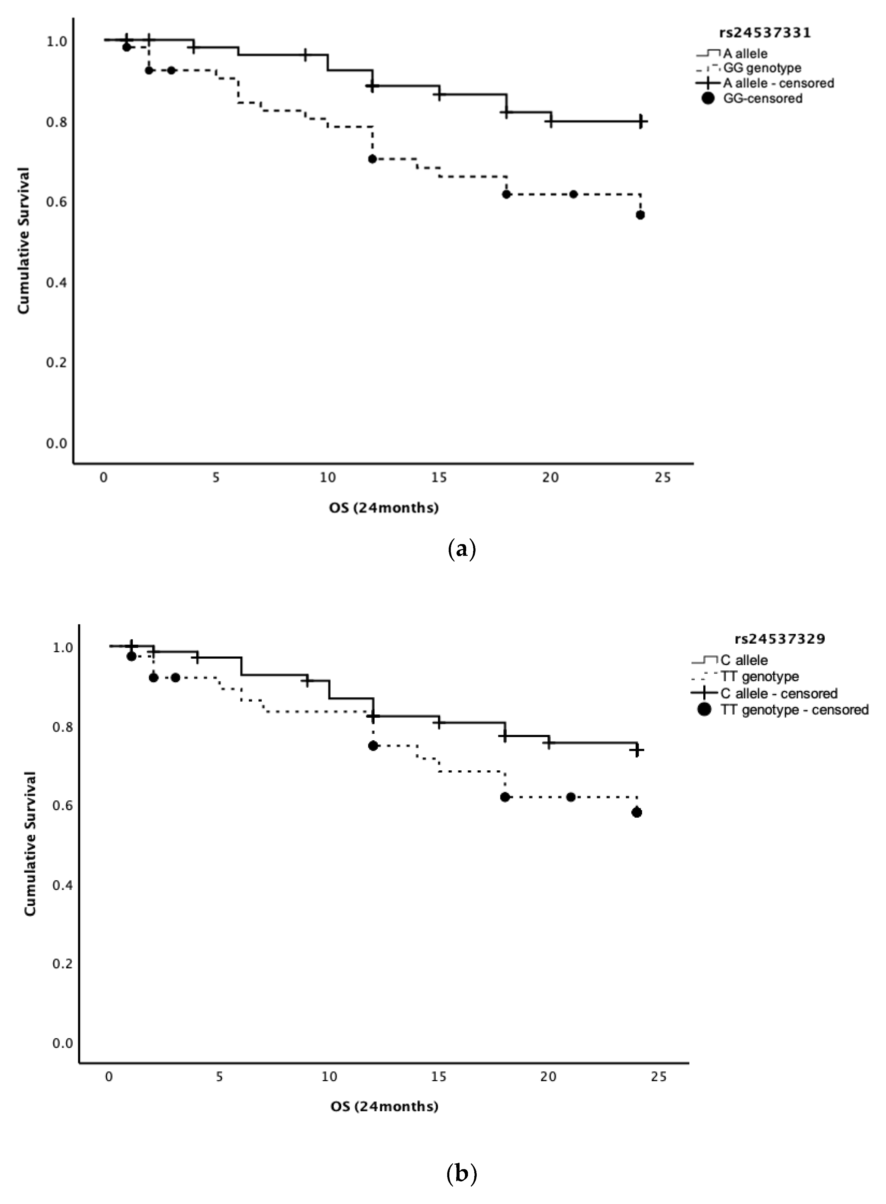
3. Results
4. Discussion
5. Conclusions
Author Contributions
Funding
Institutional Review Board Statement
Informed Consent Statement
Data Availability Statement
Acknowledgments
Conflicts of Interest
References
- Wiechec, E.; Hansen, L.L. The effect of genetic variability on drug response in conventional breast cancer treatment. Eur. J. Pharmacol. 2009, 625, 122–130. [Google Scholar] [CrossRef] [PubMed]
- Talseth-Palmer, B.A.; Scott, R.J. Genetic variation and its role in malignancy. Int. J. Biomed. Sci. 2011, 7, 158–171. [Google Scholar] [PubMed]
- Sorenmo, K. Canine mammary gland tumors. Vet. Clin. N. Am. Small Anim. Pract. 2003, 33, 573–596. [Google Scholar] [CrossRef]
- Salas, Y.; Marquez, A.; Diaz, D.; Romero, L. Epidemiological Study of Mammary Tumors in Female Dogs Diagnosed during the Period 2002–2012: A Growing Animal Health Problem. PLoS ONE 2015, 10, e0127381. [Google Scholar] [CrossRef]
- Sleeckx, N.; de Rooster, H.; Veldhuis Kroeze, E.J.; Van Ginneken, C.; Van Brantegem, L. Canine mammary tumours, an overview. Reprod. Domest. Anim. 2011, 46, 1112–1131. [Google Scholar] [CrossRef] [PubMed]
- Moe, L. Population-based incidence of mammary tumours in some dog breeds. Adv. Reprod. Dogs Cats Exot. Carniv. 2001, 57, 439–443. [Google Scholar]
- Lana, S.E.; Rutteman, G.R.; Withrow, S.J. Tumors of the mammary gland. In Withrow and MacEwen’s Small Animal Clinical Oncology, 4th ed.; Vail, D.M., Withrow, S.J., Rodney, L., Eds.; Saunders Elsevier: Philadelphia, PA, USA, 2007; pp. 619–628. [Google Scholar]
- Dias Pereira, P.; Lopes, C.C.; Matos, A.J.; Pinto, D.; Gartner, F.; Lopes, C.; Medeiros, R. Estrogens metabolism associated with polymorphisms: Influence of COMT G482a genotype on age at onset of canine mammary tumors. Vet. Pathol. 2008, 45, 124–130. [Google Scholar] [CrossRef]
- Rivera, P.; Melin, M.; Biagi, T.; Fall, T.; Haggstrom, J.; Lindblad-Toh, K.; von Euler, H. Mammary tumor development in dogs is associated with BRCA1 and BRCA2. Cancer Res. 2009, 69, 8770–8774. [Google Scholar] [CrossRef]
- Dias Pereira, P.; Lopes, C.C.; Matos, A.J.; Pinto, D.; Gartner, F.; Lopes, C.; Medeiros, R. Influence of catechol-O-methyltransferase (COMT) genotypes on the prognosis of canine mammary tumors. Vet. Pathol. 2009, 46, 1270–1274. [Google Scholar] [CrossRef]
- Canadas, A.; Santos, M.; Pinto, R.; Medeiros, R.; Dias-Pereira, P. Catechol-o-methyltransferase genotypes are associated with progression and biological behaviour of canine mammary tumours. Vet. Comp. Oncol. 2018, 16, 664–669. [Google Scholar] [CrossRef]
- Canadas-Sousa, A.; Santos, M.; Medeiros, R.; Dias-Pereira, P. Single Nucleotide Polymorphisms Influence Histological Type and Grade of Canine Malignant Mammary Tumours. J. Comp. Pathol. 2019, 172, 72–79. [Google Scholar] [CrossRef] [PubMed]
- Godoy-Ortiz, A.; Sanchez-Munoz, A.; Chica Parrado, M.R.; Alvarez, M.; Ribelles, N.; Rueda Dominguez, A.; Alba, E. Deciphering HER2 Breast Cancer Disease: Biological and Clinical Implications. Front. Oncol. 2019, 9, 1124. [Google Scholar] [CrossRef] [PubMed]
- Sareyeldin, R.M.; Gupta, I.; Al-Hashimi, I.; Al-Thawadi, H.A.; Al Farsi, H.F.; Vranic, S.; Al Moustafa, A.E. Gene Expression and miRNAs Profiling: Function and Regulation in Human Epidermal Growth Factor Receptor 2 (HER2)-Positive Breast Cancer. Cancers 2019, 11, 646. [Google Scholar] [CrossRef]
- Wolff, A.C.; Hammond, M.E.H.; Allison, K.H.; Harvey, B.E.; Mangu, P.B.; Bartlett, J.M.S.; Bilous, M.; Ellis, I.O.; Fitzgibbons, P.; Hanna, W.; et al. Human Epidermal Growth Factor Receptor 2 Testing in Breast Cancer: American Society of Clinical Oncology/College of American Pathologists Clinical Practice Guideline Focused Update. Arch. Pathol. Lab. Med. 2018, 142, 1364–1382. [Google Scholar] [CrossRef] [PubMed]
- Burrai, G.P.; Tanca, A.; De Miglio, M.R.; Abbondio, M.; Pisanu, S.; Polinas, M.; Pirino, S.; Mohammed, S.I.; Uzzau, S.; Addis, M.F.; et al. Investigation of HER2 expression in canine mammary tumors by antibody-based, transcriptomic and mass spectrometry analysis: Is the dog a suitable animal model for human breast cancer? Tumour Biol. 2015, 36, 9083–9091. [Google Scholar] [CrossRef]
- Abadie, J.; Nguyen, F.; Loussouarn, D.; Peña, L.; Gama, A.; Rieder, N.; Belousov, A.; Bemelmans, I.; Jaillardon, L.; Ibisch, C.; et al. Canine invasive mammary carcinomas as models of human breast cancer. Part 2: Immunophenotypes and prognostic significance. Breast Cancer Res. Treat. 2018, 167, 459–468. [Google Scholar] [CrossRef]
- Dutra, A.P.; Granja, N.V.; Schmitt, F.C.; Cassali, G.D. c-erbB-2 expression and nuclear pleomorphism in canine mammary tumors. Braz. J. Med. Biol. Res. 2004, 37, 1673–1681. [Google Scholar] [CrossRef]
- Ressel, L.; Puleio, R.; Loria, G.R.; Vannozzi, I.; Millanta, F.; Caracappa, S.; Poli, A. HER-2 expression in canine morphologically normal, hyperplastic and neoplastic mammary tissues and its correlation with the clinical outcome. Res. Vet. Sci. 2013, 94, 299–305. [Google Scholar] [CrossRef]
- Muscatello, L.V.; Gobbo, F.; Di Oto, E.; Sarli, G.; De Maria, R.; De Leo, A.; Tallini, G.; Brunetti, B. HER2 Overexpression and Cytogenetical Patterns in Canine Mammary Carcinomas. Vet. Sci. 2022, 9, 583. [Google Scholar] [CrossRef]
- Hsu, W.L.; Huang, H.M.; Liao, J.W.; Wong, M.L.; Chang, S.C. Increased survival in dogs with malignant mammary tumours overexpressing HER-2 protein and detection of a silent single nucleotide polymorphism in the canine HER-2 gene. Vet. J. 2009, 180, 116–123. [Google Scholar] [CrossRef]
- Gama, A.; Alves, A.; Schmitt, F. Identification of molecular phenotypes in canine mammary carcinomas with clinical implications: Application of the human classification. Virchows Arch. 2008, 453, 123–132. [Google Scholar] [CrossRef] [PubMed]
- Pena, L.; Gama, A.; Goldschmidt, M.H.; Abadie, J.; Benazzi, C.; Castagnaro, M.; Diez, L.; Gartner, F.; Hellmen, E.; Kiupel, M.; et al. Canine mammary tumors: A review and consensus of standard guidelines on epithelial and myoepithelial phenotype markers, HER2, and hormone receptor assessment using immunohistochemistry. Vet. Pathol. 2014, 51, 127–145. [Google Scholar] [CrossRef] [PubMed]
- Borge, K.S.; Borresen-Dale, A.L.; Lingaas, F. Identification of genetic variation in 11 candidate genes of canine mammary tumour. Vet. Comp. Oncol. 2011, 9, 241–250. [Google Scholar] [CrossRef] [PubMed]
- Carvajal-Agudelo, J.D.; Trujillo-Betancur, M.P.; Velásquez-Guarín, D.; Ramírez-Chaves, H.E.; Pérez-Cárdenas, J.E.; Rivera-Páez, F.A. Field blood preservation and DNA extraction from wild mammals: Methods and key factors for biodiversity studies. Rev. U.D.C.A Actual. Divulg. Científica 2021, 24, 1–8. [Google Scholar] [CrossRef]
- Canadas, A.; Santos, M.; Nogueira, A.; Assis, J.; Gomes, M.; Lemos, C.; Medeiros, R.; Dias-Pereira, P. Canine mammary tumor risk is associated with polymorphisms in RAD51 and STK11 genes. J. Vet. Diagn. Investig. 2018, 30, 733–738. [Google Scholar] [CrossRef]
- Zappulli, V.; Pena, L.; Rasotto, R.; Goldschmidt, M.; Gama, A.; Scruggs, J.; Kiupel, M. Surgical Pathology of Tumors of Domestic Animals Volume 2: Mammary Tumors; Kiupel, M., Ed.; Davis-Thompson DVM Foundation: Gurnee, IL, USA, 2019; ISBN 9781733749114. [Google Scholar]
- Canadas, A.; Franca, M.; Pereira, C.; Vilaca, R.; Vilhena, H.; Tinoco, F.; Silva, M.J.; Ribeiro, J.; Medeiros, R.; Oliveira, P.; et al. Canine Mammary Tumors: Comparison of Classification and Grading Methods in a Survival Study. Vet. Pathol. 2019, 56, 208–219. [Google Scholar] [CrossRef]
- Elston, C.W.; Ellis, I.O. Pathological prognostic factors in breast cancer. I. The value of histological grade in breast cancer: Experience from a large study with long-term follow-up. Histopathology 1991, 19, 403–410. [Google Scholar] [CrossRef]
- Santos, M.; Correia-Gomes, C.; Marcos, R.; Santos, A.; De Matos, A.; Lopes, C.; Dias-Pereira, P. Value of the Nottingham Histological Grading Parameters and Nottingham Prognostic Index in Canine Mammary Carcinoma. Anticancer Res. 2015, 35, 4219–4227. [Google Scholar]
- Gabriel, S.; Ziaugra, L.; Tabbaa, D. SNP genotyping using the Sequenom MassARRAY iPLEX platform. Curr. Protoc. Hum. Genet. 2009, 60, 2–12. [Google Scholar] [CrossRef]
- Oeth, P.; del Mistro, G.; Marnellos, G.; Shi, T.; van den Boom, D. Qualitative and Quantitative Genotyping Using Single Base Primer Extension Coupled with Matrix-Assisted Laser Desorption/Ionization Time-of-Flight Mass Spectrometry (MassARRAY®). In Single Nucleotide Polymorphisms: Methods and Protocols; Komar, A.A., Ed.; Humana Press: Totowa, NJ, USA, 2009; pp. 307–343. [Google Scholar] [CrossRef]
- Munkácsy, G.; Szász, M.A.; Menyhárt, O. Gene expression-based prognostic and predictive tools in breast cancer. Breast Cancer 2015, 22, 245–252. [Google Scholar] [CrossRef]
- Cocciolone, V.; Cannita, K.; Calandrella, M.L.; Ricevuto, E.; Baldi, P.L.; Sidoni, T.; Irelli, A.; Paradisi, S.; Pizzorno, L.; Resta, V.; et al. Prognostic significance of clinicopathological factors in early breast cancer: 20 years of follow-up in a single-center analysis. Oncotarget 2017, 8, 72031–72043. [Google Scholar] [CrossRef] [PubMed]
- Ahn, S.; Woo, J.W.; Lee, K.; Park, S.Y. HER2 status in breast cancer: Changes in guidelines and complicating factors for interpretation. J. Pathol. Transl. Med. 2020, 54, 34–44. [Google Scholar] [CrossRef] [PubMed]
- Nicolini, A.; Ferrari, P.; Duffy, M.J. Prognostic and predictive biomarkers in breast cancer: Past, present and future. Semin. Cancer Biol. 2018, 52, 56–73. [Google Scholar] [CrossRef] [PubMed]
- Furrer, D.; Paquet, C.; Jacob, S.; Diorio, C. The Human Epidermal Growth Factor Receptor 2 (HER2) as a Prognostic and Predictive Biomarker: Molecular Insights into HER2 Activation and Diagnostic Implications. In Cancer Prognosis; IntechOpen Limited: London, UK, 2018. [Google Scholar]
- Gaibar, M.; Beltrán, L.; Romero-Lorca, A.; Fernández-Santander, A.; Novillo, A. Somatic Mutations in HER2 and Implications for Current Treatment Paradigms in HER2-Positive Breast Cancer. J. Oncol. 2020, 2020, 6375956. [Google Scholar] [CrossRef] [PubMed]
- Tung, N.-T.; Thong Ba, N.; Thuan, D.-C. HER2Ile655Val Polymorphism and Risk of Breast Cancer. In Genetic Polymorphisms; Mahmut, Ç., Ed.; IntechOpen: Rijeka, Croatia, 2021. [Google Scholar] [CrossRef]
- Richards, C.H.; Mohammed, Z.; Qayyum, T.; Horgan, P.G.; McMillan, D.C. The prognostic value of histological tumor necrosis in solid organ malignant disease: A systematic review. Future Oncol. 2011, 7, 1223–1235. [Google Scholar] [CrossRef]
- Zhang, X.; Chen, L. The recent progress of the mechanism and regulation of tumor necrosis in colorectal cancer. J. Cancer Res. Clin. Oncol. 2016, 142, 453–463. [Google Scholar] [CrossRef]
- Matos, A.J.; Lopes, C.; Carvalheira, J.; Santos, M.; Rutteman, G.R.; Gartner, F. E-cadherin expression in canine malignant mammary tumours: Relationship to other clinico-pathological variables. J. Comp. Pathol. 2006, 134, 182–189. [Google Scholar] [CrossRef]
- De Matos, A.J.; Lopes, C.C.; Faustino, A.M.; Carvalheira, J.G.; Dos Santos, M.S.; Rutteman, G.R.; Gartner Mde, F. MIB-1 labelling indices according to clinico-pathological variables in canine mammary tumours: A multivariate study. Anticancer Res. 2006, 26, 1821–1826. [Google Scholar]
- Carvalho, M.I.; Silva-Carvalho, R.; Pires, I.; Prada, J.; Bianchini, R.; Jensen-Jarolim, E.; Queiroga, F.L. A Comparative Approach of Tumor-Associated Inflammation in Mammary Cancer between Humans and Dogs. BioMed Res. Int. 2016, 2016, 4917387. [Google Scholar] [CrossRef]
- Rasotto, R.; Berlato, D.; Goldschmidt, M.H.; Zappulli, V. Prognostic Significance of Canine Mammary Tumor Histologic Subtypes: An Observational Cohort Study of 229 Cases. Vet. Pathol. 2017, 54, 571–578. [Google Scholar] [CrossRef]
- Rauscher, R.; Ignatova, Z. Timing during translation matters: Synonymous mutations in human pathologies influence protein folding and function. Biochem. Soc. Trans. 2018, 46, 937–944. [Google Scholar] [CrossRef] [PubMed]
- Kaissarian, N.M.; Meyer, D.; Kimchi-Sarfaty, C. Synonymous Variants: Necessary Nuance in Our Understanding of Cancer Drivers and Treatment Outcomes. JNCI J. Natl. Cancer Inst. 2022, 114, 1072–1094. [Google Scholar] [CrossRef] [PubMed]

| SNP/Genotypes | Frequency (N) | Percentage (%) | |
|---|---|---|---|
| rs24537331 | AA | 29 | 14.1 |
| GG | 97 | 47.3 | |
| GA | 79 | 38.5 | |
| Total | 205 | 100.0 | |
| rs24537329 | CC | 57 | 27.8 |
| TT | 62 | 30.2 | |
| TC | 86 | 42.0 | |
| Total | 205 | 100.0 | |
| Genotype SNP rs24537331 | Genotype SNP rs24537329 | |||||
|---|---|---|---|---|---|---|
| Independent variables | Allele A (n/%) | GG (n/%) | p | Allele C (n/%) | TT (n/%) | p |
| Age | ||||||
| ≤10 | 64 (52.9) | 57 (47.1) | 82 (67.8) | 39 (32.2) | ||
| >10 | 39 (50.0) | 39 (50.0) | 0.690 | 56 (71.8) | 22 (28.2) | 0.548 |
| Breed (FCI) | ||||||
| Purebred | 55 (49.1) | 57 (50.9) | 73 (65.2) | 39 (34.8) | ||
| Mongrel | 53 (57.0) | 40 (43.0) | 0.260 | 70 (75.3) | 23 (24.7) | 0.117 |
| Number of tumors | ||||||
| Single | 41 (57.7) | 30 (42.3) | 52 (73.2) | 19 (26.8) | ||
| Multiple | 67 (50.0) | 67 (50.0) | 0.291 | 91 (67.9) | 43 (32.1) | 0.429 |
| Tumor size | ||||||
| ≤3 cm | 56 (49.6) | 57 (50.4) | 77 (68.1) | 36 (31.9) | ||
| >3 cm | 43 (54.4) | 36 (45.6) | 0.506 | 56 (70.9) | 23 (29.1) | 0.685 |
| Tumor size * | ||||||
| ≤3 cm | 30 (47.6) | 33 (52.4) | 0 (63.5) | 23 (36.5) | ||
| >3 cm | 36 (55.4) | 29 (44.6) | 0.379 | 45 (69.2) | 20 (30.8) | 0.492 |
| Biological behavior | ||||||
| Benign | 39 (53.4) | 34 (46.6) | 55 (75.3) | 18 (24.7) | ||
| Malignant | 69 (52.3) | 63 (47.7) | 0.874 | 88 (66.7) | 44 (33.3) | 0.195 |
| Mode of growth pattern * | ||||||
| Expansive | 28 (54.9) | 23 (45.1) | 34 (66.7) | 17 (33.3) | ||
| Infiltrative | 22 (47.8) | 24 (52.2) | 31 (67.4) | 15 (32.6) | ||
| Invasive | 19 (54.3) | 16 (45.7) | 0.755 | 23 (65.7) | 12 (34.3) | 0.988 |
| Tumoral necrosis * | ||||||
| No | 45 (60.0) | 30 (40.0) | 53 (70.7) | 22 (29.3) | ||
| Yes | 19 (37.3) | 32 (62.7) | 0.012 | 30 (58.8) | 21 (41.2) | 0.169 |
| NHG parameters scores * | ||||||
| Tubule formation | ||||||
| Score 1 | 15 (62.5) | 9 (37.5) | 16 (66.7) | 8 (33.3) | ||
| Score 2 | 23 (50.0) | 23 (50.0) | 32 (69.6) | 14 (30.4) | ||
| Score 3 | 14 (40.0) | 21 (60.0) | 0.236 | 20 (57.1) | 15 (42.9) | 0.498 |
| Nuclear pleomorphism | ||||||
| Score 1 | 6 (66.7) | 3 (33.3) | 7 (77.8) | 2 (22.2) | ||
| Score 2 | 34 (51.5) | 32 (48.5) | 44 (66.7) | 22 (33.3) | ||
| Score 3 | 12 (40.0) | 18 (60.0) | 0.324 | 17 (56.7) | 13 (43.3) | 0.442 |
| Mitotic index | ||||||
| Score 1 | 22 (52.4) | 20 (47.6) | 27 (64.3) | 15 (35.7) | ||
| Score 2 | 11 (39.3) | 17 (60.7) | 16 (57.1) | 12 (42.9) | ||
| Score 3 | 19 (54.3) | 16 (45.7) | 0.443 | 25 (71.4) | 10 (28.6) | 0.497 |
| NHG | ||||||
| Grade I | 22 (62.9) | 13 (37.1) | 26 (74.3) | 9 (25.7) | ||
| Grade II | 19 (40.4) | 28 (59.6) | 27 (57.4) | 20 (42.6) | ||
| Grade III | 11 (47.8) | 12 (52.2) | 0.131 | 15 (65.2) | 8 (34.8) | 0.287 |
| Vet-NPI * | ||||||
| ≤4.0 | 33 (55.0) | 27 (45.0) | 42 (70.0) | 18 (30.0) | ||
| >4.0 | 19 (42.2) | 26 (57.8) | 0.195 | 26 (57.8) | 19 (42.2) | 0.194 |
| Vascular invasion * | ||||||
| No | 58 (54.2) | 49 (45.8) | 74 (69.2) | 33 (30.8) | ||
| Yes | 8 (36.4) | 14 (63.6) | 0.127 | 11 (50.0) | 11 (50.0) | 0.084 |
| Lymph node metastases * | ||||||
| No | 42 (50.0) | 42 (50.0) | 54 (64.3) | 30 (35.7) | ||
| Yes | 19 (61.3) | 12 (38.7) | 0.282 | 22 (71.0) | 9 (29.0) | 0.502 |
Disclaimer/Publisher’s Note: The statements, opinions and data contained in all publications are solely those of the individual author(s) and contributor(s) and not of MDPI and/or the editor(s). MDPI and/or the editor(s) disclaim responsibility for any injury to people or property resulting from any ideas, methods, instructions or products referred to in the content. |
© 2023 by the authors. Licensee MDPI, Basel, Switzerland. This article is an open access article distributed under the terms and conditions of the Creative Commons Attribution (CC BY) license (https://creativecommons.org/licenses/by/4.0/).
Share and Cite
Canadas-Sousa, A.; Santos, M.; Dias-Pereira, P. Protective Effect of HER2 Gene Polymorphism rs24537331 in the Outcome of Canine Mammary Tumors. Animals 2023, 13, 1384. https://doi.org/10.3390/ani13081384
Canadas-Sousa A, Santos M, Dias-Pereira P. Protective Effect of HER2 Gene Polymorphism rs24537331 in the Outcome of Canine Mammary Tumors. Animals. 2023; 13(8):1384. https://doi.org/10.3390/ani13081384
Chicago/Turabian StyleCanadas-Sousa, Ana, Marta Santos, and Patrícia Dias-Pereira. 2023. "Protective Effect of HER2 Gene Polymorphism rs24537331 in the Outcome of Canine Mammary Tumors" Animals 13, no. 8: 1384. https://doi.org/10.3390/ani13081384
APA StyleCanadas-Sousa, A., Santos, M., & Dias-Pereira, P. (2023). Protective Effect of HER2 Gene Polymorphism rs24537331 in the Outcome of Canine Mammary Tumors. Animals, 13(8), 1384. https://doi.org/10.3390/ani13081384

