Vertical Jumping Tests versus Wingate Anaerobic Test in Female Volleyball Players: The Role of Age
Abstract
:1. Introduction
2. Methods
2.1. Participants
| Variable | Total (n = 178) | <18 Years (n = 70) | >18 Years (n = 108) | Mean Difference (95% CI) |
|---|---|---|---|---|
| Age (years) | 21.1 ± 5.9 | 16.0 ± 1.0 | 24.8 ± 5.2 † | −8.8 (−10.1; −7.6), d = −2.4 |
| Body mass (kg) | 64.9 ± 8.4 | 62.5 ± 7.1 | 66.5 ± 8.8 * | −3.9 (−6.4; −1.5), d = −0.5 |
| Height (cm) | 172.1 ± 7.0 | 170.4 ± 6.1 | 173.2 ± 7.4 * | −2.8 (−4.9; −0.7), d = −0.4 |
| BMI (kg·m−2) | 21.9 ± 2.2 | 21.5 ± 1.9 | 22.1 ± 2.4 | −0.6 (−1.3; 0.1), d = −0.3 |
| BF (%) | 22.9 ± 4.9 | 24.2 ± 4.3 | 22.0 ± 5.1 * | 2.2 (0.8; 3.7), d = 0.5 |
2.2. Protocols and Equipments
2.2.1. Anthropometry
2.2.2. Single Jumping Tests and Bosco Test
2.2.3. Wingate Anaerobic Test
2.3. Statistical Analysis
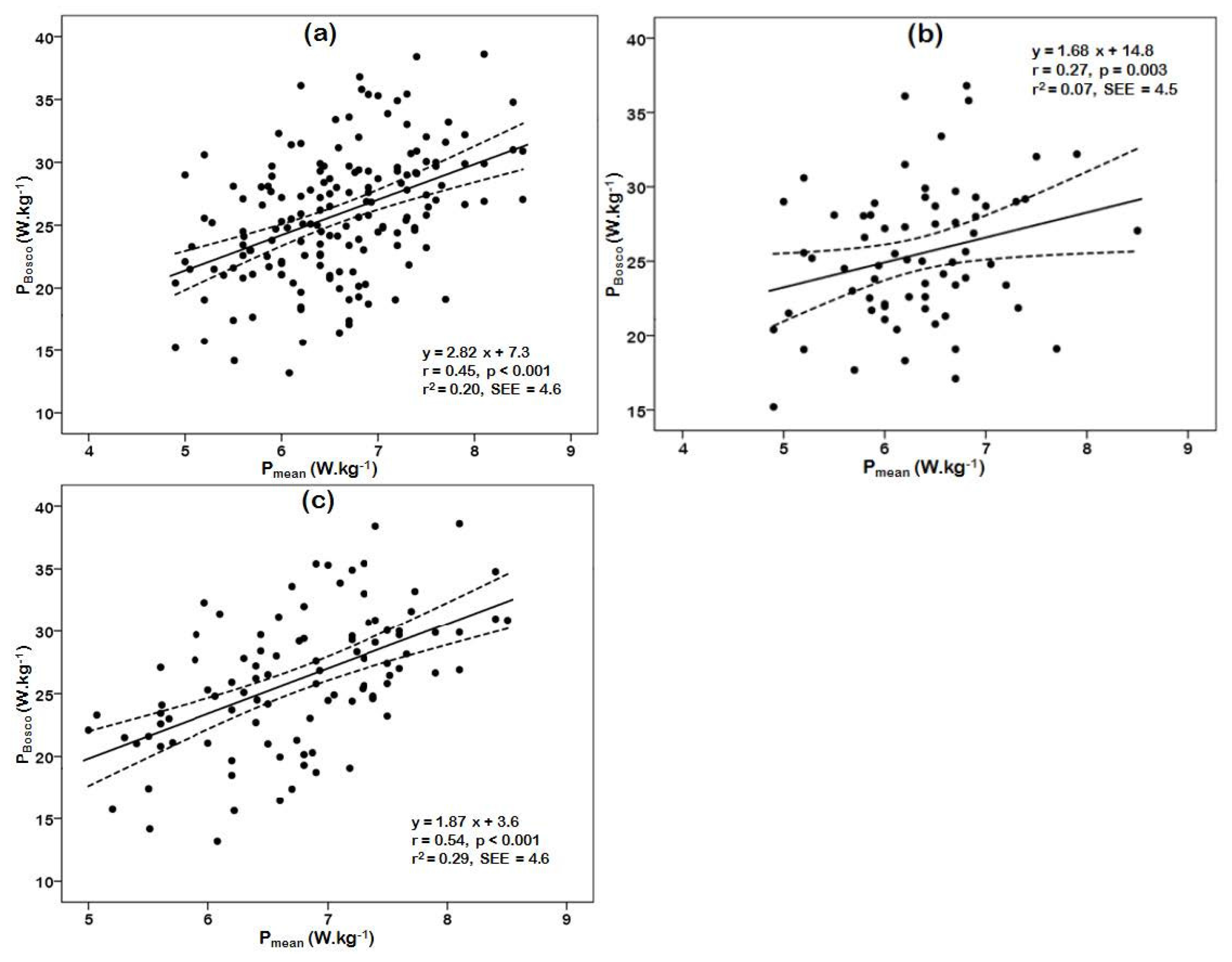
3. Results
| Variable | Total (n = 178) | <18 Years (n = 70) | >18 Years (n = 108) | Mean Difference (95% CI) |
|---|---|---|---|---|
| SJ (cm) | 23.6 ± 4.1 | 22.1 ± 3.1 | 24.6 ± 4.4 ‡ | −2.5 (−4.0; −1.1), d = −0.7 |
| CMJ (cm) | 25.2 ± 4.4 | 24.0 ± 2.9 | 25.9 ± 5.1 * | −1.9 (−3.5; −0.3), d = −0.5 |
| AJ (cm) | 30.5 ± 4.9 | 29.4 ± 4.5 | 31.1 ± 5.1 * | −1.7 (−3.2; 0.3), d = −0.4 |
| Bosco (W·kg−1) | 25.8 ± 5.0 | 25.4 ± 4.6 | 26.0 ± 5.3 | −0.6 (−2.2; 0.9), d = −0.1 |
| Ppeak (W) | 574 ± 88 | 537 ± 75 | 598 ± 88 ‡ | −61 (−86; −36), d = −0.7 |
| Ppeak (W·kg−1) | 8.90 ± 0.95 | 8.63 ± 0.85 | 9.07 ± 0.97 † | −0.45 (−0.73; −0.16), d = −0.5 |
| Pmean (W) | 423 ± 66 | 393 ± 52 | 444 ± 66 ‡ | −51 (−70; −33), d = −0.9 |
| Pmean (W·kg−1) | 6.57 ± 0.81 | 6.33 ± 0.72 | 6.73 ± 0.82 ‡ | −0.40 (−0.64; −0.16), d = −0.5 |
| FI (%) | 45.5 ± 7.5 | 45.7 ± 7.7 | 45.4 ± 7.5 | 0.4 (−2.0; 2.7), d < 0.1 |
| Variable | SJ | CMJ | AJ | Bosco Test | ||||||||
|---|---|---|---|---|---|---|---|---|---|---|---|---|
| <18 Years | >18 Years | Total | <18 Years | >18 Years | Total | <18 Years | >18 Years | Total | <18 Years | >18 Years | Total | |
| Ppeak (W) | 0.14 | 0.26 * | 0.32 ‡ | <0.01 | 0.25 * | 0.26 ‡ | 0.17 | 0.16 | 0.22 † | 0.04 | 0.05 | 0.06 |
| Ppeak (W·kg−1) | 0.33 * | 0.61 ‡ | 0.58 ‡ | 0.28 | 0.58 ‡ | 0.54 ‡ | 0.46 ‡ | 0.59 | 0.56 ‡ | 0.08 | 0.46 ‡ | 0.33 ‡ |
| Pmean (W) | 0.28 | 0.41 ‡ | 0.45 ‡ | 0.15 | 0.39 † | 0.39 ‡ | 0.26 * | 0.28 † | 0.32 ‡ | 0.21 | 0.14 | 0.18 * |
| Pmean (W·kg−1) | 0.48 † | 0.71 ‡ | 0.67 ‡ | 0.43 † | 0.67 ‡ | 0.62 ‡ | 0.51 ‡ | 0.65 ‡ | 0.62 ‡ | 0.27 * | 0.54 ‡ | 0.45 ‡ |
| FI (%) | –0.23 | 0.02 | –0.03 | –0.23 | 0.02 | –0.03 | –0.06 | 0.05 | 0.01 | –0.23 | –0.01 | –0.10 |

4. Discussion
5. Conclusions
Acknowledgments
Conflicts of Interest
References
- Gabbett, T.; Georgieff, B. Physiological and anthropometric characteristics of Australian junior national, state, and novice volleyball players. J. Strength Cond. Res. 2007, 21, 902–908. [Google Scholar] [PubMed]
- Grgantov, Z.; Milić, M.; Katić, R. Identification of explosive power factors as predictors of player quality in young female volleyball players. Coll. Antropol. 2013, 37, 61–68. [Google Scholar] [PubMed]
- Nikolaidis, P.T.; Afonso, J.; Busko, K. Differences in anthropometry, somatotype, body composition and physiological characteristics of female volleyball players by competition level. Sport Sci. Health 2015, 11, 29–35. [Google Scholar] [CrossRef]
- Nikolaidis, P.T.; Ziv, G.; Arnon, M.; Lidor, R. Physical characteristics and physiological attributes of female volleyball players-the need for individual data. J. Strength Cond. Res. 2012, 26, 2547–2557. [Google Scholar] [CrossRef] [PubMed]
- Álvarez-Herms, J.; Julià-Sánchez, S.; Corbi, F.; Pagès, T.; Viscor, G. Anaerobic performance after endurance strength training in hypobaric environment. Sci. Sports 2014, 29, 311–318. [Google Scholar] [CrossRef]
- Nikolaidis, P.T.; Afonso, J.; Buśko, K.; Ingebrigtsen, J.; Chtourou, H.; Martin, J.J. Positional differences of physical traits and physiological characteristics in female volleyball players—The role of age. Kinesiology 2015, 47, 75–81. [Google Scholar]
- Hoffman, J.R.; Epstein, S.; Einbinder, M.; Weinstein, Y. A comparison between the Wingate anaerobic power test to both vertical jump and line drill tests in basketball players. J. Strength Cond. Res. 2000, 14, 261–264. [Google Scholar]
- Dal Pupo, J.; Gheller, R.G.; Dias, J.A.; Rodacki, A.L.F.; Moro, A.R.P.; Santos, S.G. Reliability and validity of the 30-s continuous jump test for anaerobic fitness evaluation. J. Sci. Med. Sport 2014, 17, 650–655. [Google Scholar] [CrossRef] [PubMed]
- Çakir-Atabek, H. Relationship between anaerobic power, vertical jump and aerobic performance in adolescent track and field athletes. J. Phys. Educ. Sport 2014, 14, 643–648. [Google Scholar]
- Driss, T.; Vandewalle, H.; Monod, H. Maximal power and force-velocity relationships during cycling and cranking exercises in volleyball players: Correlation with the vertical jump test. J. Sports Med. Phys. Fit. 1998, 38, 286–293. [Google Scholar]
- Vandewalle, H.; Peres, G.; Heller, J.; Panel, J.; Monod, H. Force-velocity relationship and maximal power on a cycle ergometer—Correlation with the height of a vertical jump. Eur. J. Appl. Physiol. Occup. Physiol. 1987, 56, 650–656. [Google Scholar] [CrossRef] [PubMed]
- Rouis, M.; Attiogbé, E.; Vandewalle, H.; Jaafar, H.; Noakes, T.D.; Driss, T. Relationship between vertical jump and maximal power output of legs and arms: Effects of ethnicity and sport. Scand. J. Med. Sci. Sports 2015, 25, e197–e207. [Google Scholar] [CrossRef] [PubMed]
- João, P.V.; Leite, N.; Mesquita, I.; Sampaio, J. Sex differences in discriminative power of volleyball game-related statistics. Percept. Mot. Skills 2010, 111, 893–900. [Google Scholar] [CrossRef] [PubMed]
- Costa, G.; Afonso, J.; Brant, E.; Mesquita, I. Differences in game patterns between male and female youth volleyball. Kinesiology 2012, 44, 60–66. [Google Scholar]
- Parizkova, J. Lean body mass and depot fat during autogenesis in humans. In Nutrition, Physical Fitness and Health: International Series on Sport Sciences; Parizkova, J., Rogozkin, V., Eds.; University Park Press: Baltimore, MD, USA, 1978. [Google Scholar]
- Ross, W.D.; Marfell-Jones, M.J. Kinanthropometry. In Physiological Testing of the High-Performance Athlete; MacDougall, J.D., Wenger, H.A., Green, H.J., Eds.; Human Kinetics: Champaign, IL, USA, 1991. [Google Scholar]
- Aragon-Vargas, L.F. Evaluation of four vertical jump tests: Methodology, reliability, validity, and accuracy. Meas. Phys. Educ. Exerc. Sci. 2000, 4, 215–228. [Google Scholar] [CrossRef]
- Markovic, G.; Dizdar, D.; Jukic, I.; Cardinale, M. Reliability and factorial validiry of squat and countermovement jump tests. J. Strength Cond. Res. 2004, 18, 551–555. [Google Scholar] [PubMed]
- Hopkins, W.G.; Schabort, E.J.; Hawley, J.A. Reliability of power in physical performance tests. Sports Med. 2001, 31, 211–234. [Google Scholar] [CrossRef] [PubMed]
- Glatthorn, J.F.; Gouge, S.; Nussbaumer, S.; Stauffacher, S.; Impellizzeri, F.M.; Maffiueletti, N.A. Validity and reliability of Uptojump photoelectric cells for estimating vertical jump height. J. Strength Cond. Res. 2011, 25, 556–560. [Google Scholar] [CrossRef] [PubMed]
- Linthorne, N.P. Analysis of standing vertical jumps using a force platform. Am. J. Phys. 2001, 69, 1198–1204. [Google Scholar] [CrossRef]
- Sands, W.A.; McNeal, J.R.; Ochi, M.T.; Urbanek, T.L.; Jemni, M.; Stone, M.H. Comparison of the Wingate and Bosco anaerobic tests. J. Strength Cond. Res. 2004, 18, 810–815. [Google Scholar] [PubMed]
- Driss, T.; Vandewalle, H. The measurement of maximal (anaerobic) power output on a cycle ergometer: A critical review. BioMed Res. Int. 2013, 2013. [Google Scholar] [CrossRef] [PubMed]
- Cohen, J. Statistical Power Analysis for the Behavioral Sciences; Lawrence Erlbaum Associates: Hillsdale, NJ, USA, 1988. [Google Scholar]
- Hopkins, W.G.; Marshall, S.W.; Batterham, A.M.; Hanin, J. Progressive statistics for studies in sports medicine and exercise science. Med. Sci. Sports Exerc. 2009, 41, 3–13. [Google Scholar] [CrossRef] [PubMed]
- Doré, E.; Bedu, M.; França, N.M.; Diallo, O.; Duché, P.; van Praagh, E. Testing peak cycling performance: Effects of braking force during growth. Med. Sci. Sports Exerc. 2000, 32, 493–498. [Google Scholar] [PubMed]
- Jaafar, H.; Rouis, M.; Coudrat, L.; Attiogbé, E.; Vandewalle, H.; Driss, T. Effects of load on Wingate test performances and reliability. J. Strength Cond. Res. 2014, 28, 3462–3468. [Google Scholar] [CrossRef] [PubMed]
- Jaafar, H.; Rouis, M.; Attiogbé, E.; Vandewalle, H.; Driss, T. A Comparative study between the Wingate and Force-Velocity anaerobic cycling tests: Effect of physical fitness. Int. J. Sports Physiol. Perform. 2016, 11, 48–54. [Google Scholar] [CrossRef] [PubMed]
- Doré, E.; Diallo, O.; França, N.M.; Bedu, M.; van Praagh, E. Dimensional changes cannot account for all differences in short-term cycling power during growth. Int. J. Sports Med. 2000, 21, 360–365. [Google Scholar] [CrossRef] [PubMed]
- Eliakim, A.; Portal, S.; Zadik, Z.; Meckel, Y.; Nemet, D. Training reduces catabolic and inflammatory response to a single practice in female volleyball players. J. Strength Cond. Res. 2013, 27, 3110–3115. [Google Scholar] [CrossRef] [PubMed]
- Nikolaidis, P.T. Body mass index and body fat percentage are associated with decreased physical fitness in adolescent and adult female volleyball players. J. Res. Med. Sci. 2013, 18, 22–26. [Google Scholar] [PubMed]
- Fernández-Campos, C.; Dengo, A.L.; Moncada-Jiménez, J. Acute consumption of an energy drink does not improve physical performance of female volleyball players. Int. J. Sport Nutr. Exerc. Metab. 2015, 25, 271–277. [Google Scholar] [CrossRef] [PubMed]
© 2016 by the authors; licensee MDPI, Basel, Switzerland. This article is an open access article distributed under the terms and conditions of the Creative Commons by Attribution (CC-BY) license (http://creativecommons.org/licenses/by/4.0/).
Share and Cite
Nikolaidis, P.T.; Afonso, J.; Clemente-Suarez, V.J.; Alvarado, J.R.P.; Driss, T.; Knechtle, B.; Torres-Luque, G. Vertical Jumping Tests versus Wingate Anaerobic Test in Female Volleyball Players: The Role of Age. Sports 2016, 4, 9. https://doi.org/10.3390/sports4010009
Nikolaidis PT, Afonso J, Clemente-Suarez VJ, Alvarado JRP, Driss T, Knechtle B, Torres-Luque G. Vertical Jumping Tests versus Wingate Anaerobic Test in Female Volleyball Players: The Role of Age. Sports. 2016; 4(1):9. https://doi.org/10.3390/sports4010009
Chicago/Turabian StyleNikolaidis, Pantelis Theodoros, Jose Afonso, Vicente Javier Clemente-Suarez, Jose Rafael Padilla Alvarado, Tarak Driss, Beat Knechtle, and Gema Torres-Luque. 2016. "Vertical Jumping Tests versus Wingate Anaerobic Test in Female Volleyball Players: The Role of Age" Sports 4, no. 1: 9. https://doi.org/10.3390/sports4010009
APA StyleNikolaidis, P. T., Afonso, J., Clemente-Suarez, V. J., Alvarado, J. R. P., Driss, T., Knechtle, B., & Torres-Luque, G. (2016). Vertical Jumping Tests versus Wingate Anaerobic Test in Female Volleyball Players: The Role of Age. Sports, 4(1), 9. https://doi.org/10.3390/sports4010009

