Bandwidth-Guaranteed Resource Allocation and Scheduling for Parallel Jobs in Cloud Data Center
Abstract
1. Introduction
- HPC applications are typically designed under multi-processes paradigm and consist of tightly-coupled parallel processes with frequent communication and synchronization. Insufficient network bandwidth resources and large network latency lead to performance degradation for HPC in cloud compared with that in a local dedicated cluster.
- Variable data transmission latency caused by bandwidth resource contention under shared and multi-tenant cloud environment leads to unpredictable performance for parallel jobs of HPC. The performance uncertainty also results in poor job scheduling performance and low throughput.
- We propose an efficient adaptive bandwidth-aware virtual cluster embedding algorithm to allocate requested resources of virtual cluster for scheduled parallel jobs running in the cloud, which excavates more bandwidth resources on the links through adaptive communication hidden strategy to improve the accept rate for following arriving jobs.
- We design a BgMBF algorithm which backfills virtual clusters of waiting jobs to the idle fragmentation resources, to improve the average responsiveness performance. An enhanced algorithm of BgMBFSDF is also proposed to improve the scheduling performance by maximizing the number of successful backfilled jobs that finish before being preempted.
- We demonstrate the efficiency of AdaBa and BgAMBF algorithms by extensive simulations. The results show that our proposed AdaBa can achieve higher acceptance rate compared with popular VC allocation algorithms under different workloads. The proposed BgMBF and enhanced BgMBFSDF algorithm significantly outperform FCFS and other heuristic scheduling strategies.
2. Related Work
2.1. Bandwidth Allocation in the Cloud
2.2. Parallel Job Scheduling
3. System Model and Problem Definition
3.1. Data Center Network Model
3.2. Virtual Cluster Model
3.3. Problem Definition
3.4. Constrains
- The number of allocated VMs should equal the requested number of TVC:
- The allocated number of VMs to server s should not exceed its current number of residual resource slots :
- The virtual switch should be assigned to exactly one substrate switch at the same time:
- Let denote the routing path from the switch w where virtual switch locates to server s. According to the Oktopus system [9], the total bandwidth allocated to should not exceed the residual bandwidth capability of link along the path :
4. Proposed Algorithms
4.1. Adaptive Bandwidth-Aware (AdaBa) TVC Embedding Algorithm
| Algorithm 1: The adaptive bandwidth-aware TVC embedding algorithm. |
![]() |
4.2. Bandwidth-Guaranteed Migration and Backfilling (BgMBF) Scheduling Algorithm
| Algorithm 2: Bandwidth-guaranteed migration and backfilling scheduling algorithm. |
![]() |
5. Performance Evaluation
5.1. Simulation Settings
5.2. Workload
- KTH SP2 workload logs: This log contains eleven months of accounting records from the 100-node IBM SP2 at the Swedish Royal Institute of Technology (KTH) in Stockholm. We select the first 1000 jobs to generate parallel workload in our simulation and the average job runtime is 72.4 min.
- NASA iPSC: This log contains three months of records for the 128-node iPSC/860 located in Numerical Aerodynamic Simulation (NAS) Systems Division at NASA. We select the first 1000 jobs to generate parallel workload in our simulation and the average job runtime is 10.4 min.
- Calculate the maximum bandwidth demand that can be scheduled in the cloud by equation .
- Calculate the minimum bandwidth demand by equation and the average bandwidth .
- Generate the bandwidth demand through a normal distribution and make sure the result do not exceed the maximum and minimum constrain.
- In addition to the probability distribution characteristic, another important characteristic of the bandwidth demands in the generated workloads is the average bandwidth demand. We have conducted sufficient experiments to evaluate the impact of different average bandwidth demand on the performance for different algorithms. The result shows that the relative performance index of different algorithms keep invariant generally as the average bandwidth demands of workload vary (see Figure 4). Accordingly, the experimental results under the workloads with reasonable probability distribution of bandwidth demands can be representative to evaluate performance of different algorithms.
5.3. Results and Discussion
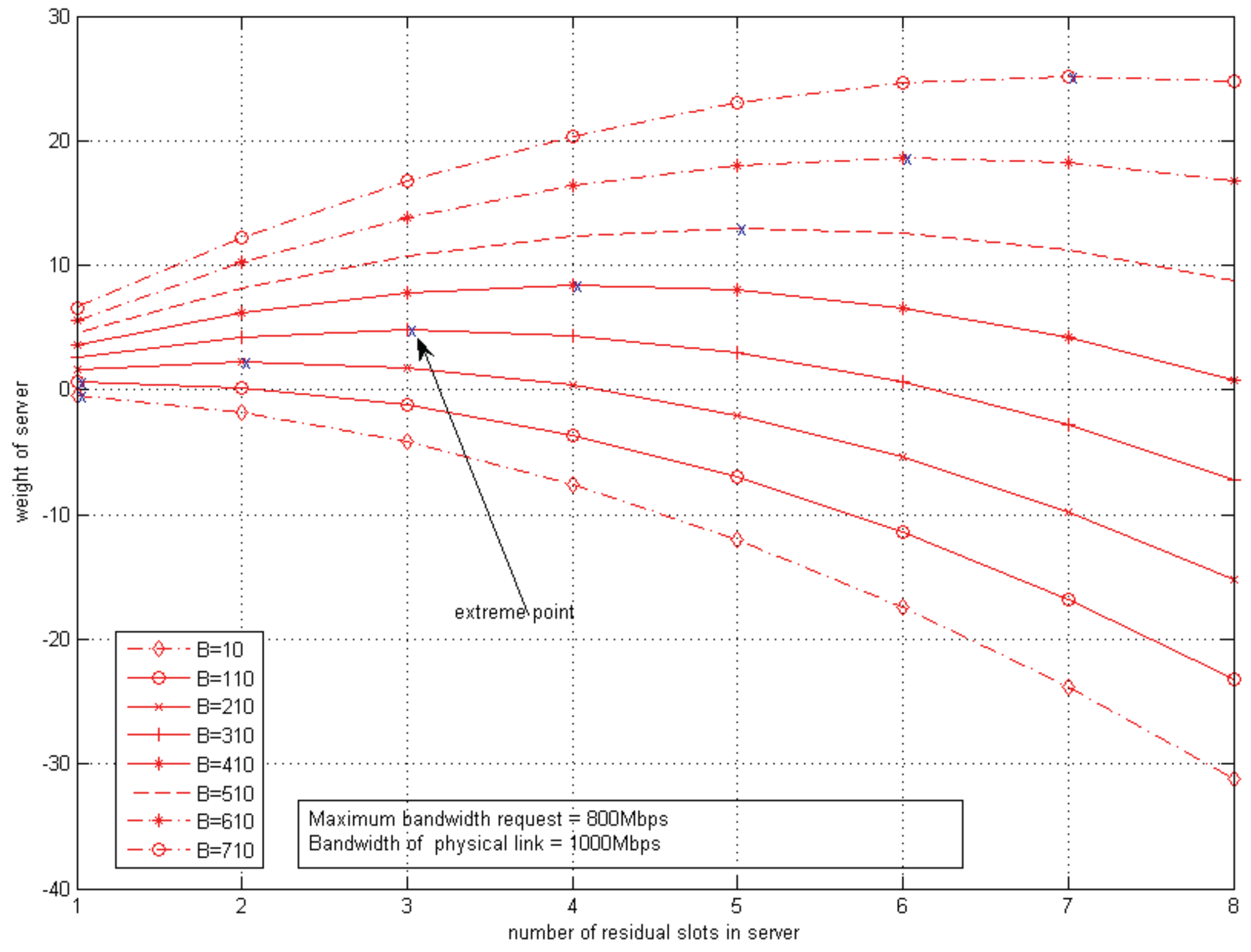
5.3.1. Performance of TVC Embedding
5.3.2. Scheduling Performance
- Our proposed BgMBF significantly outperforms FCFS and SBF on average response time and average bounded slow down for each workload. It shows the great advantage of backfilling that tires to maximize the utilization of idle resources caused by the FCFS strategy. It also shows that the small bandwidth demand first strategy cannot improve the scheduling performance compared with FCFS, and it slows down the scheduling time of jobs with large bandwidth demand. On the other hand, the performance differences among BgMBFSDF, SDF and BgMBF are relatively small. However, BgMBFSDF always performs better than BgMBF. It demonstrates that the heuristic information of estimated execution time is important for improving the scheduling performance. As the jobs with small duration are expected to be finished before the next arriving jobs, it leads to high responsiveness performance, and shortens the idle time of fragmentation resources which improves the utilization of resource. However, SDF is an unfair strategy which will cause starvation of jobs with long execution time. However, when the estimated execution time is known, it can be used for improving the performance of BgMBF by conducting BgMBFSDF strategy while guaranteeing the fairness among jobs.
- SDF outperforms BgMBFSDF and BgMBF on average response time for NASA-iPSC, while obtains the worst performance among them for KTH-SP2. Compared with BgMBF, the performance improvement on of BgMBFSDF is also more significant for NASA-iPSC than that for KTH-SP2. The differences above are caused by the different characteristics of these two workloads. In Table 1, it can be seen that the average job runtime for KTH-SP2 and NASA-iPSC is 72.4 min and 10.4 min, respectively. Accordingly, the advantage of SDF is more significant for NASA-iPSC, as more jobs with short duration can be finished before next arriving job comes. For BgMBFSDF strategy, more jobs with smaller duration means more jobs can be finished in advanced through backfilling without migration.
6. Conclusions
Author Contributions
Acknowledgments
Conflicts of Interest
Abbreviations
| G | substrate DCN (data center network) |
| V | the set of nodes in network topology |
| E | the set of links between nodes |
| the residual capacity on link e | |
| M | the set of servers, where |
| W | the set of switches, where |
| the number of residual resource slots on server s, where | |
| L | resource slots in a idle server |
| J | the set of submitted jobs |
| the arrive time of the job | |
| the number of VMs requested for the job | |
| the bandwidth requested for the job | |
| estimated job execution time of the job | |
| start time for the job | |
| end time for the job | |
| average response time of J | |
| the bounded slow down of J | |
| a VMs placement of | |
| a virtual switch placement of | |
| the number of VMs allocated to server s | |
| the assignment variable if is located to switch w | |
| the routing path between switch w and server s |
References
- Pellerin, D.; Ballantyne, D.B.A. An Introduction to High Performance Computing on AWS: Scalable, Cost-Effective Solutions for Engineering, Business, and Science; Amazon Web Service: Seattle, WA, USA, 2015. [Google Scholar]
- Gupta, A.; Sarood, O.; Kale, L.V.; Milojicic, D. Improving HPC Application Performance in Cloud through Dynamic Load Balancing. In Proceedings of the IEEE/ACM International Symposium on Cluster, Cloud and Grid Computing, Delft, The Netherlands, 13–16 May 2013; pp. 402–409. [Google Scholar]
- Walker, E. Benchmarking amazon EC2 for high-performance scientific computing. Usenix 2008, 18–23. [Google Scholar]
- Gupta, A.; Milojicic, D. Evaluation of HPC Applications on Cloud. In Proceedings of the Sixth Open Cirrus Summit, Atlanta, GA, USA, 12–13 October 2011; pp. 22–26. [Google Scholar]
- Somasundaram, T.S.; Govindarajan, K. CLOUDRB: A framework for scheduling and managing High-Performance Computing (HPC) applications in science cloud. Future Gener. Comput. Syst. 2014, 34, 47–65. [Google Scholar] [CrossRef]
- Zhao, Z.; Martin, P.; Wang, J.; Taal, A.; Jones, A.; Taylor, I.; Stankovski, V.; Vega, I.G.; Suciu, G.; Ulisses, A.; et al. Developing and Operating Time Critical Applications in Clouds: The State of the Art and the SWITCH Approach. Procedia Comput. Sci. 2015, 68, 17–28. [Google Scholar] [CrossRef][Green Version]
- Zhao, Z.; Martin, P.; Jones, A.; Taylor, I.; Stankovski, V.; Salado, G.F.; Suciu, G.; Ulisses, A.; de Laat, C. Developing, Provisioning and Controlling Time Critical Applications in Cloud. In Advances in Service-Oriented and Cloud Computing; Mann, Z.Á., Stolz, V., Eds.; Springer International Publishing: Cham, Switzerland, 2018; pp. 169–174. [Google Scholar]
- Guo, C.; Lu, G.; Wang, H.J.; Kong, C.; Sun, P.; Wu, W.; Zhang, Y. SecondNet: A data center network virtualization architecture with bandwidth guarantees. In Proceedings of the 6th International Conference, Philadelphia, PA, USA, 30 November–3 December 2010; p. 15. [Google Scholar]
- Ballani, H.; Costa, P.; Karagiannis, T.; Rowstron, A. Towards predictable datacenter networks. Acm Sigcomm Comput. Commun. Rev. 2011, 41, 242–253. [Google Scholar] [CrossRef]
- Yu, L.; Shen, H.; Cai, Z.; Liu, L.; Pu, C. Towards Bandwidth Guarantee for Virtual Clusters under Demand Uncertainty in Multi-tenant Clouds. IEEE Trans. Parallel Distrib. Syst. 2018, 29, 450–465. [Google Scholar] [CrossRef]
- Biran, O.; Corradi, A.; Fanelli, M.; Foschini, L.; Nus, A.; Raz, D.; Silvera, E. A Stable Network-Aware VM Placement for Cloud Systems. In Proceedings of the IEEE/ACM International Symposium on Cluster, Cloud and Grid Computing, Ottawa, ON, Canada, 13–16 May 2012; pp. 498–506. [Google Scholar]
- Yan, F.; Lee, T.T.; Hu, W. Congestion-Aware Embedding of Heterogeneous Bandwidth Virtual Data Centers With Hose Model Abstraction. IEEE/ACM Trans. Netw. 2017, PP, 1–14. [Google Scholar] [CrossRef]
- Li, X.; Wu, J.; Tang, S.; Lu, S. Let’s stay together: Towards traffic aware virtual machine placement in data centers. In Proceedings of the IEEE INFOCOM, Toronto, ON, Canada, 27 April–2 May 2014; pp. 1842–1850. [Google Scholar]
- Dalvandi, A.; Gurusamy, M.; Chua, K.C. Time-Aware VMFlow Placement, Routing, and Migration for Power Efficiency in Data Centers. IEEE Trans. Netw. Serv. Manag. 2015, 12, 349–362. [Google Scholar] [CrossRef]
- Lifka, D.A. The ANL/IBM SP Scheduling System. In Proceedings of the Workshop on Job Scheduling Strategies for Parallel Processing, Santa Barbara, CA, USA, 25 April 1995; pp. 295–303. [Google Scholar]
- Feitelson, D.G.; Jette, M.A. Improved Utilization and Responsiveness with Gang Scheduling. In Proceedings of the Job Scheduling Strategies for Parallel Processing, Geneva, Switzerland, 5 April 1997; pp. 238–261. [Google Scholar]
- Liu, X.; Wang, C.; Zhou, B.B.; Chen, J.; Yang, T.; Zomaya, A.Y. Priority-Based Consolidation of Parallel Workloads in the Cloud. IEEE Trans. Parallel Distrib. Syst. 2013, 24, 1874–1883. [Google Scholar] [CrossRef]
- Popa, L.; Yalagandula, P.; Banerjee, S.; Mogul, J.C.; Turner, Y.; Santos, J.R. ElasticSwitch: Practical work-conserving bandwidth guarantees for cloud computing. Comput. Commun. Rev. 2013, 43, 351–362. [Google Scholar] [CrossRef]
- Rodrigues, H.; Santos, J.R.; Turner, Y.; Soares, P.; Guedes, D. Gatekeeper: Supporting bandwidth guarantees for multi-tenant datacenter networks. In Proceedings of the Conference on I/o Virtualization, Berkeley, CA, USA, 14 June 2011; p. 6. [Google Scholar]
- Shieh, A.; Saha, B. Sharing the data center network. In Proceedings of the Usenix Conference on Networked Systems Design and Implementation, Boston, MA, USA, 30 March–1 April 2011; pp. 309–322. [Google Scholar]
- Chen, L.; Feng, Y.; Li, B.; Li, B. Towards performance-centric fairness in datacenter networks. Int. J. Hybrid Intell. Syst. 2013, 10, 23–32. [Google Scholar]
- Li, D.; Chen, C.; Guan, J.; Zhang, Y.; Zhu, J.; Yu, R. DCloud: Deadline-Aware Resource Allocation for Cloud Computing Jobs. IEEE Trans. Parallel Distrib. Syst. 2016, 27, 2248–2260. [Google Scholar] [CrossRef]
- Yu, R.; Xue, G.; Zhang, X.; Li, D. Survivable and bandwidth-guaranteed embedding of virtual clusters in cloud data centers. In Proceedings of the INFOCOM 2017—IEEE Conference on Computer Communications, Atlanta, GA, USA, 1–4 May 2017; pp. 1–9. [Google Scholar]
- Feitelson, D.G.; Rudolph, L.; Schwiegelshohn, U. Parallel Job Scheduling—A Status Report. In Proceedings of the Workshop on Job Scheduling Strategies for Parallel Processing, New York, NY, USA, 13 June 2004; pp. 1–16. [Google Scholar]
- Schwiegelshohn, U.; Yahyapour, R. Analysis of First-Come-First-Serve Parallel Job Scheduling. In Proceedings of the Ninth Annual ACM-SIAM Symposium on Discrete Algorithms, San Francisco, CA, USA, 25–27 January 1998; pp. 629–638. [Google Scholar]
- Gómez-Martín, C.; Vega-Rodríguez, M.A.; González-Sánchez, J. Fattened backfilling: An improved strategy for job scheduling in parallel systems. J. Parallel Distrib. Comput. 2016, 97, 69–77. [Google Scholar] [CrossRef]
- Mu’Alem, A.W.; Feitelson, D.G. Utilization, predictability, workloads, and user runtime estimates in scheduling the IBM SP2 with backfilling. Parallel Distrib. Syst. IEEE Trans. 2001, 12, 529–543. [Google Scholar] [CrossRef]
- Al-Fares, M.; Loukissas, A.; Vahdat, A. A scalable, commodity data center network architecture. Acm Sigcomm Comput. Commun. Rev. 2008, 38, 63–74. [Google Scholar] [CrossRef]
- Duffield, N.G.; Goyal, P.; Mishra, P.; Ramakrishnan, K.K.; Merwe, J.E.V.D. Resource management with hoses: Point-to-cloud services for virtual private networks. IEEE/ACM Trans. Netw. 2002, 10, 679–692. [Google Scholar] [CrossRef]
- Du, J.; Leung, Y.T. Complexity of Scheduling Parallel Task Systems. Siam J. Discret. Math. 1989, 2, 473–487. [Google Scholar] [CrossRef]
- Kenyon, C. Best-fit bin-packing with random order. In Proceedings of the Acm-Siam Symposium on Discrete Algorithms, Atlanta, GA, USA, 28–30 January 1996; pp. 359–364. [Google Scholar]
- Feitelson, D.G.; Nitzberg, B. Job characteristics of a production parallel scientific workload on the NASA Ames iPSC/860. Lect. Notes Comput. Sci. 1970, 337–360. [Google Scholar]
- Ye, K.; Jiang, X.; Ma, R.; Yan, F. VC-Migration: Live Migration of Virtual Clusters in the Cloud. In Proceedings of the ACM/IEEE International Conference on Grid Computing, Beijing, China, 20–23 September 2012; pp. 209–218. [Google Scholar]








| Average Job Runtime | Number of Jobs | Average Bandwidth | Maximum Node Request | |
|---|---|---|---|---|
| KTH-SP2 | 72.4 m | 1000 | 251 Mbps | 100 |
| NASA-iPSC [32] | 10.4 m | 1000 | 247 Mbps | 128 |
© 2018 by the authors. Licensee MDPI, Basel, Switzerland. This article is an open access article distributed under the terms and conditions of the Creative Commons Attribution (CC BY) license (http://creativecommons.org/licenses/by/4.0/).
Share and Cite
Li, Z.; Chen, B.; Liu, X.; Ning, D.; Wei, Q.; Wang, Y.; Qiu, X. Bandwidth-Guaranteed Resource Allocation and Scheduling for Parallel Jobs in Cloud Data Center. Symmetry 2018, 10, 134. https://doi.org/10.3390/sym10050134
Li Z, Chen B, Liu X, Ning D, Wei Q, Wang Y, Qiu X. Bandwidth-Guaranteed Resource Allocation and Scheduling for Parallel Jobs in Cloud Data Center. Symmetry. 2018; 10(5):134. https://doi.org/10.3390/sym10050134
Chicago/Turabian StyleLi, Zhen, Bin Chen, Xiaocheng Liu, Dandan Ning, Qihang Wei, Yiping Wang, and Xiaogang Qiu. 2018. "Bandwidth-Guaranteed Resource Allocation and Scheduling for Parallel Jobs in Cloud Data Center" Symmetry 10, no. 5: 134. https://doi.org/10.3390/sym10050134
APA StyleLi, Z., Chen, B., Liu, X., Ning, D., Wei, Q., Wang, Y., & Qiu, X. (2018). Bandwidth-Guaranteed Resource Allocation and Scheduling for Parallel Jobs in Cloud Data Center. Symmetry, 10(5), 134. https://doi.org/10.3390/sym10050134



