Next Article in Journal
Simulation Design for Rutile-TiO2 Nanostructures with a Large Complete-Photonic Bandgap in Electrolytes
Next Article in Special Issue
Magnetism and Pressure-Induced Superconductivity of Checkerboard-Type Charge-Ordered Molecular Conductor β-(meso-DMBEDT-TTF)2X (X = PF6 and AsF6)
Previous Article in Journal
Improved Synthesis and Crystal Structure of Dalcetrapib
Previous Article in Special Issue
Infrared and Raman Studies of Charge Ordering in Organic Conductors, BEDT-TTF Salts with Quarter-Filled Bands
 
 
Font Type:
Arial Georgia Verdana
Font Size:
Aa Aa Aa
Line Spacing:
Column Width:
Background:
Review

Pressure Effect on Organic Conductors

1
Graduate School of Science, Osaka City University, 3-3-138, Sugimoto, Sumiyoshi-ku, Osaka 558-8585, Japan
2
Centre for High Pressure Research, Department of Physics, Bharathidasan University, Tiruchirappalli-620-024, India
*
Author to whom correspondence should be addressed.
Crystals 2012, 2(4), 1460-1482; https://doi.org/10.3390/cryst2041460
Submission received: 25 August 2012 / Revised: 17 September 2012 / Accepted: 21 September 2012 / Published: 23 October 2012
(This article belongs to the Special Issue Molecular Conductors)

Abstract

:
Pressure is a powerful tool to unveil the profound nature of electronic properties in a variety of organic conductors. Starting from technology of high pressure, we plan to review what kind of physics or phenomena have previously been discussed.

1. Introduction

It is true that the history of crystalline organic conductors is guided by the elaborate ideas and works generated by pressure experiments. The nature of a charge density wave (CDW) in tetrathiafulvalene-tetracyanoquinodimethane (TTF-TCNQ) is demonstrated by the smart analysis of conversion from conductivity, as a function of temperature at various pressures, to conductivity as a function of pressure at various temperatures [1]. By that analysis, the conductivity of CDW together with the fluctuation, as a collective motion, was well understood as phenomena at hand. Lots of trials of CDW suppression by pressure have been done from TTF-TCNQ through its family with the anticipation of superconductivity. Eventually, superconductivity was realized in (TMTSF)2PF6 by suppressing by the help of pressure the insulating phase, which was a spin density wave (SDW) instead of a CDW, where TMTSF stands for tetramethyltetraselenafulvalene [2]. Field-Induced spin density waves are observed by tuning the pressure, where superconductivity is observed [3]. The lesson of the usefulness of pressure was further succeeded when high-Tc cuprate superconductors were discovered; pressure was the guiding tool in finding further materials [4]. Thus, the study of the pressure effect of the materials is already established as an indispensable experiment to find more. In this paper, we plan to review how the pressure effect contributed to various topics of the physics of organic conductors along descriptions of the technique of pressure.

2. Method of Pressure in Organic Conductors

The important role of the pressure as concerns solid state physics is already known for a long time. However, pressure as a tool has been developed mainly for inorganic materials at an early stage. Organic conductors can be classified into crystals and polymers. What we deal with in this paper is the organic crystals. Organic crystals are very fragile and weak mechanically. When a piston cylinder pressure cell of the clamp type is used and when the initial room temperature pressure is low, pressure becomes zero at low temperatures due to thermal contraction. In such cases, organic crystals are very likely to be broken (first problem). Voids might be produced in the pressure cell. The second problem is that organic crystals are seriously damaged at the instance of solidification of the pressure medium on cooling; for instance, if the medium is isopentane. Although the first one is a general problem for all pressure mediums and is inevitable except in the case of water, the second one due to solidification of the medium and can be solved by choosing a suitable pressure medium, which has a small volume difference at the instance of liquid-solid transition on cooling. To overcome this problem of damage to the sample on solidification by cooling, Daphne 7373 is developed [5,6]. The discontinuous drop in pressure through the solidification of Daphne 7373 is negligible, but is just observable by viewing the kink in the temperature dependence of resistance of pressure-sensitive crystals such as organic conductors. Actually, Daphne 7373 as a pressure medium was found to be a very suitable pressure medium for pressure works. Further, pressure drops or a change from room temperature to low (helium) temperature, is much smaller (typically ~0.15 GPa) than with Fluorinert 77/70 (typically ~0.5 GPa), for example. With these advantages, it was later found that Daphne 7373 is favorable even for inorganic materials. An example is the large amplitude of the de Haas van Alphen effect, whose temperature dependence determines the cyclotron mass [7,8].
In late 1990s, the pressure of the researcher’s interest extended from 1 GPa to around 2–4 GPa region or up to 10 GPa. For instance, the topics of the quantum critical phenomena were discussed in 2–4 GPa region, the highest Tc-organic superconductivity [9], and 1D phase diagram of (TMTTF)2X were discussed in the 8–9 GPa region, where TMTTF is sulfur analog of TMTSF and is an abbreviation of tetramethyltetrathiafulvalene [10]. With these interests in the physics of the pressure region of the 3–4 GPa, a new piston cylinder cell other than the single walled BeCu cell was developed, which was the double-walled NiCrAl/BeCu cell. This new type of pressure cell achieved 4 GPa, in contrast to the single-walled BeCu cell with the maximum pressure of 1.5 GPa. By virtue of the stronger pressure cell, it was found that Daphne 7373 solidifies at 2.2 GPa [6,11], beyond which uniaxial compression is mixed with hydrostatic pressure. Another benefit of stronger pressure cell is that pressure values below 2.55 or 2.70 GPa became accurate for piston cylinder cell. There used to be no easy fixed points of pressure above 0.363 GPa (or 1.08 GPa but dull) of NH4F. Therefore, the stronger pressure allowed interpolation of pressure against the load of the press. To realize hydrostatic pressure beyond the solidification pressure (2.2 GPa) of Daphne 7373 with a stronger pressure cell, one (K/M) of the authors developed a new pressure medium, which solidified at 3.7 GPa. The new medium is named Daphne 7474 [11]. The value of 3.7 GPa can be raised almost linearly up to 6.7 GPa at 100 °C.
The high quality hydrostatic pressure is achieved by choosing either a good medium with a high solidification pressure or a good apparatus. Superconducting transition temperature (Tc) and its related pressure become apparently different either with a different pressure medium or with different apparatus. By using a pressure medium with low solidification pressure achieves superconductivity with apparently low (sometimes half of the intrinsic value of) pressure in the pnictides [12]. In other words, the higher the solidification of pressure medium, the better the quality of superconductivity is. But in the case of pnictides, high quality superconductivity requires higher pressure. On the other hand, as for apparatus choosing, cubic anvil gives different but more intrinsic values Tc and Pc from other apparatus for pnictide as well [13]. Cubic anvil fulfills this purpose by realizing high quality hydrostatic pressure. The high quality pressure plays an important role for anisotropic materials whose material property is sensitive to the compression along the specific direction.
Besides the efforts of seeking the high quality hydrostatic pressure, it is worth describing the technique of uniaxial compression. Since the organic conductors are low dimensional and the overlapping integrals between the adjacent molecules are very anisotropic, the uniaxial compression is a powerful tool to find out the dominant microscopic interaction, which is associated directly with the direction. Although the idea of uniaxial compression is attractive, the extremely fragile organic conductors have prevented its realization of uniaxial compression. The breakthrough was given by Campos, Brooks et al., who buried the organic sample in an epoxy with already attached electrodes. Their method is to compress uniaxially the epoxy with a sample inside leaving two other sides of the epoxy block open, which allows expansion according to the Poisson’s ratio in these two directions. This is called the uniaxial stress method [14]. Maesato and Kagoshima adopted the idea of immersing the samples into epoxy and extended the technique to piston cylinder. The uniaxial compression using a piston cylinder does not allow epoxy to expand two other directions. This effect is called the uniaxial strain method [15]. Maesato also proposed other method using the frozen oil by lowered temperature. The strain method is technically more advantageous and is free from the inevitable break of the epoxy block with the stress method. It is a matter of course that physics analysis becomes more simple when using the strain method, which deals only with the parameters of associated with one direction, whereas in stress method, with all directions. It should be noted that challenging work with direct X-ray observation under uniaxial pressure is coming out [16].
One should notice that the there is no ideal solid medium that is the same as the compressibility of the target material for the uniaxial strain method. At least, so long as the target material has an anisotropic compressibility, if the compressibility of the medium matches perfectly with that of the material along one direction, the compressibility of the medium inevitably mismatches along the other directions. Therefore, there is no perfect solid material for the ideal strain. However, although the method is not perfect, the purpose of uniaxial compression is realized at least by viewing the contrasted result between the different directions of compression. As for treatment, before it becomes hardened, the epoxy reacts chemically against samples. It reduces the chemical bond of organic salts. For example, (TMTSF)2X salt decomposes into TMTSF and others. To protect the sample from this chemical reaction by the epoxy (Stycast 1266 and its hardener before reacted), samples are protected by coating with varnish (for example X-22 (Tamiya Inc.)) and by using the somewhat reaction-processed epoxy, which is not yet hardened.
In α-(BEDT-TTF)2KHg(SCN)4 [17] and α-(BEDT-TTF)2I3[18], superconductivity is only realized by uniaxial compression, where BEDT-TTF is an abbreviation of bis(ethylenedithio)tetrathiafulvalene. Overlapping integrals are controlled not only by making the distance of the adjacent molecules along the stacking, but also the by making the relative angle of the molecules of adjacent columns. This angle is called a dihedral angle. In this case, transfer integral is suppressed by specific direction of compression, which gives the opposite result in contrast to the previous common examples (to the direction of conducting state). This is apparently observed as the tendency to insulate by increasing uniaxial pressure. A typical example is the θ-type conductors, where the insulating phase is charge ordered one, the θ-type conductors were developed by H. Mori [19]. The third most important role of uniaxial compression is to distort the symmetry. For instance, an equivalently interacted triangular lattice of dimers, which causes the spin of liquid down to absolute zero temperature, is broken into a non-equivalent triangular lattice by uniaxial compression. As a consequence, the spin liquid is suppressed and superconductivity is obtained [20,21]. This uniaxial technique is also applied to the research of inorganic materials.
With the development of pressure technique, lots of physics on organic conductors have developed drastically. There are already a lot of existing works with modern technique of pressure. This review is obliged to confine itself to the topics in which the authors were mainly involved.

3. TTF-TCNQ and TSeF-TCNQ

The understanding of the charge density wave (CDW) has very much progressed with the widespread and smart experiments with TTF-TCNQ. TTF donates electron to accepter TCNQ, with a charge transfer ratio of 0.59 per one pair of TTF and TCNQ. The irrational value of the charge transfer ratio of 0.59 results in an incommensurate CDW, through a relation, ρ/a = 2/λ, where ρ, a and λ are charge transfer ratio, lattice constant and the wavelength of CDW. Since incommensurate CDW is associated with a second order transition, thermodynamic fluctuation of CDW is likely, and is observed as the enhancement of excess conductivity [1,22,23] and as X-ray diffuse scattering [24,25,26,27,28]. The pressure gives rise to the charge transfer ratio and accordingly changes the commensurability of CDW. The ratio of 0.59 at ambient pressure increases with pressure through the commensurate value of 0.66 (= 2/3) at 1.8 GPa, where excess conductivity is suppressed. Thus the pressure work played an important role for clarifying the nature of CDW through modifying the charge transfer ratio and then the commensurability of CDW. This is the story up to 3 GPa.
The authors extended the work up to 8 GPa and obtained a T-P phase diagram [29], showing that the CDW is actually suppressed and a metallic state is stabilized from 300 K to helium temperature around 9 GPa, as shown in Figure 1. Superconductivity was not found at the pressure where CDW is suppressed. One possible reason for the absence of superconductivity is that the resistivity is too large for superconductivity. The suppression of CDW by pressure cannot be simply explained by the denesting of the Fermi surface in going to higher dimension. According to S. Ishibashi, who calculated the band structure, the system becomes more 1D-like, i.e., more flat Fermi surfaces seem to be realized under pressure [30]. Therefore, the role of pressure here might be to reduce the density of state though enlarging the bandwidth, which causes a reduction of the density of states. Besides the bandwidth effect, the electron correlation in the case of CDW is known to be present, specified as the presence of 4kF modulation of CDW and the primary CDW of 2kF. The pressure effect on the correlation is an open question.
Figure 1. Temperature-Pressure phase diagram of TTF-TCNQ. Preceding work up to 3 GPa [29], including the (charge density wave) CDW commensurability peak at 1.9 GPa [31] is reproduced. The CDW is suppressed by pressure even though nesting becomes better. Reproduced with permission from JPSJ.
Figure 1. Temperature-Pressure phase diagram of TTF-TCNQ. Preceding work up to 3 GPa [29], including the (charge density wave) CDW commensurability peak at 1.9 GPa [31] is reproduced. The CDW is suppressed by pressure even though nesting becomes better. Reproduced with permission from JPSJ.
Crystals 02 01460 g001
In case of tetraselenafulvalene-tetracyanoquinodimethane (TSeF-TCNQ), which is also called as TSF-TCNQ, where sulfur atoms in TTF-TCNQ are replaced with selenium, the charge transfer ratio is 0.63. We obtained T-P phase diagram very similar to TTF-TCNQ for TSeF-TCNQ. The metallic state is stabilized around 7 GPa [32], which is lower only by 1–2 GPa than the 8–9 GPa of TTF-TCNQ [29]. It seems that this difference is caused by the difference in the charge transfer ratio at ambient pressure, i.e., 0.59 for TTF-TCNQ and 0.63 for TSeF-TCNQ. The electron correlation is much smaller in TSeF-TCNQ than TTF-TCNQ, which is confirmed by the absence of 4kF–CDW formation in TSeF-TCNQ, in contrast with TTF-TCNQ. But since the T-P phase diagram looks just shifted to lower pressure by replacing TTF- with TSeF-salt, the correlation may not play an important role in the pressure effect on CDW.
If the fluctuation of CDW is not taken into account, Soda and Jérome pointed out that the temperature dependence as well as pressure dependence of the resistivity perpendicular (ρ┴1D) to the 1D axe obeys the same law as that along (ρ//1D), i.e., always ρ┴1D is proportional to the ρ//1D with a constant factor independent neither of pressure nor temperature, since both are dominated by a single parameter of a single electron scattering its lifetime along the 1D axis [33]. When fluctuation is present, conductivity along the two directions shows different temperature dependence [22,23]. The present authors examined the temperature dependence of resistivity of TTF-TCNQ for various pressures up to 8 GPa [29]. It turned out that as it is at ambient pressure, the temperature dependence of resistivity for ρ//1D and ρ┴1D is not proportionally related. But the deviation between ρ//1D and ρ┴1D becomes smaller towards 8 GPa. It is concluded that when there is a CDW, there is a fluctuation. But the strength of fluctuation becomes smaller as TCDW is reduced by increasing pressure [34].

4. HMTSF-TCNQ

As seen in Table 1, the stacking pattern in HMTTF-TCNQ and HMTSF-TCNQ are different from that of TTF-TCNQ and TSeF-TCNQ, where HMTTF and HMTSF stand for hexamethylenetetrathiafulvalene and hexamethylenetetraselenafulvalene. The stacking pattern is not of a layered type but of checkerboard as shown in Table 1. However, the band pictures are similar in the sense that electron and hole 1-D bands and the corresponding Fermi surface sheets are formed when the system is in the metallic state [35,36]. All of these salts undergo CDW transition. It is of interest that selenium-based TSeF-TCNQ and HMTSF-TCNQ are less electron-correlated than the sulfur-based TTF-TCNQ and HMTTF-TCNQ, which are evidenced by the absence (for non-correlated) and presence (for correlated) of 4kF fluctuation of CDW viewed by X-ray.
Table 1. Comparison of four TTF-TCNQ analogues in terms of stacking pattern viewed along 1D axis, superstructures of 2kF and 4kF, charge transfer ratio from cation to anion and the pressure, where CDW is suppressed.
Table 1. Comparison of four TTF-TCNQ analogues in terms of stacking pattern viewed along 1D axis, superstructures of 2kF and 4kF, charge transfer ratio from cation to anion and the pressure, where CDW is suppressed.
Stacking pattern (viewed along 1D)Super-StructureCharge transferPCDW
TTF-TCNQF F F F2kF & 4kF0.599 GPa
Q Q Q Q
F F F F
Q Q Q Q
TSeF-TCNQF F F F2kF only0.637 GPa
Q Q Q Q
F F F F
Q Q Q Q
HMTTF-TCNQF Q F Q2kF & 4kF0.72
Q F Q F
F Q F Q
Q F Q F
HMTSF-TCNQF Q F Q2kF only0.741 GPa
Q F Q F
F Q F Q
Q F Q F
The present authors revisited the HMTSF-TCNQ, and confirmed that the CDW is suppressed by a pressure of 1 GPa. In such a case where the insulating state is suppressed by pressure, the aspect of the quantum critical point in the T-P phase diagram is an attractive viewpoint. In cases when the insulating phase of SDW is suppressed by pressure in (TMTSF)2X salts, superconductivity at low fields, field-induced SDW and quantum Hall effect at high field were observed [3]. In this case, with CDW we expected field-induced CDW when pressure was tuned at 1 GPa. Actually, magnetoresistance at 0.4 K showed some number of kink structures in the field-sweep up to 27 Tesla (sometimes to 31 Tesla) as shown in Figure 2. These kink structures are the evidence for the field-induced phase transitions, which are of first order since they accompany hysteresis [37,38]. The latest results of the present authors are; (i) Hall voltage above around 4 Tesla shows three or four steps of plateau up to 31 Tesla suggestive of quantum Hall effect. All of them are negative, but the absolute value of the Hall voltage plateau looks to be shrinking towards a higher magnetic field. This behavior is in contradiction to the usual quantum Hall effect, wherein the Hall voltage plateau should increase with an increasing field. In the case with HMTSF-TCNQ here, it might be related to the cancellation of the effect of the electrons and holes. But we note that the Hall voltage plateau levels of our result are in the same order of magnitude of h/e2 = 25.8 kΩ. Since we were obliged to still to the phenomena at the quantum critical point in pressure, pressure was indispensable in performing this investigation. These results will be published elsewhere.
Figure 2. Magnetoresistance, which shows field-induced CDW state in HMTSF-TCNQ. Pressure at low temperature may be around 1.3 GPa at low temperature with 1.5 GPa at room temperature and with Daphne 7373 pressure medium in a piston cylinder cell [29]. Reproduced with permission from JPSJ.
Figure 2. Magnetoresistance, which shows field-induced CDW state in HMTSF-TCNQ. Pressure at low temperature may be around 1.3 GPa at low temperature with 1.5 GPa at room temperature and with Daphne 7373 pressure medium in a piston cylinder cell [29]. Reproduced with permission from JPSJ.
Crystals 02 01460 g002

5. (TMTTF)2X and (TMTSF)2X

The first organic superconductivity was found in (TMTSF)2PF6, under a pressure of 0.65 GPa at 1 K [2], and subsequently, in (TMTSF)2ClO4 at ambient pressure. (TMTSF)2X salts underwent a metal-insulator transition around 12 K, which was found to be the spin density wave (SDW) due to nesting and electron correlation. The transition from metallic to SDW states is very clear as shown by the divergence of d(logρ)/dT, where ρ is resistivity and T is temperature. The anisotropy of magnetic susceptibility of electron spins develops below TSDW, which are viewed by static susceptibility [39] as well as by NMR [40,41]. In contrast to (TMTSF)2X salts, the resistivity of (TMTTF)2X also turns from metallic to semiconductor-like temperature dependence by lowering temperature, but this “transition” is usually very dull and broad and its origin was long considered mysterious[42]. It was much later that the nature of semiconductor-like behavior was found to be originated in charge order or charge disproportionation [43,44,45].
Jérome proposed the generic phase diagram from (TMTTF)2X to (TMTSF)2X by the temperature as a function of pressure, locating various salts for their suitable pressure axis. The salts of (TMTTF)2X are located more left than those of (TMTSF)2X [46]. Towards the left in the Figure, the more 1D-like, charge order and spin-Peierls are there, and the antiferromagnetic states are located on the commensurate (left) side. Towards the right, the antiferromagnetic state specified as a spin density wave becomes more incommensurate, superconductivity is realized and a metallic state is stabilized. Actually, superconductivity was found in (TMTTF)2X salt by using diamond anvil cell around 5 GPa [47,48]. Later on, Itoi completed a very beautiful T-P phase diagram by using a cubic anvil cell as shown in Figure 3 [10]. Remarkable result was that the superconducting Tc of this family was not around 1 K, but more than 2 K for (TMTSF)2AsF6 and the superconductivity is widespread in pressure, and seems to have two Tc peaks.
Figure 3. Temperature-Pressure phase diagram of (TMTTF)2X showing that it is connected to that of the (TMTSF)2X salts. Note that the superconducting Tc is well above 2 K and spreading to a wide pressure region and the insulating phase varies from charge order to magnetic state [10]. This is the real system ,which can be compared with Jerome’s generic phase diagram [46]. Reproduced with permission from JPSJ.
Figure 3. Temperature-Pressure phase diagram of (TMTTF)2X showing that it is connected to that of the (TMTSF)2X salts. Note that the superconducting Tc is well above 2 K and spreading to a wide pressure region and the insulating phase varies from charge order to magnetic state [10]. This is the real system ,which can be compared with Jerome’s generic phase diagram [46]. Reproduced with permission from JPSJ.
Crystals 02 01460 g003
It is of interest to point out that the electron correlation plays an important role all through the Jérome’s phase diagram. On the left of the diagram, charge order is the consequence of the correlation. More to the right, the SDW appears. As for the SDW, the authors examine the effect of uniaxial strain along a,b and c axes on TSDW in (TMTSF)2PF6. What was expected was that with p//a, the nesting becomes better; accordingly TSDW might increase, whereas with either p//b or p//c, TSDW might be suppressed in the same mechanism. The result differed from this expectation. The difference in TSDW was very small as shown in Figure 4. This result suggests that TSDW is determined not dominantly by the nesting, probably the bandwidth, density of state and electron correlation.
We note, in all directions of resistivity, ρa, ρb and ρc, the resistivity variation against the strain was remarkably different between p//a and other two ways, i.e., p//b and p//c. That is, the resistivity reduction with p//a is as moderate as that of hydrostatic pressure, whereas with p//b or p//c, the reduction is 3–4 orders of magnitude by 1 GPa. Since only the geometrical nesting fails to explain the result as mentioned above, electron correlation effect seemed to be very dominant [49,50].
The symmetry of counter anion, X of this family, frequently plays a crucial role to material properties. When X has the inversion symmetry like octahedron with PF6 or AsF6, an anion ordering problem does not occur. However, without the inversion symmetry like tetrahedron with ClO4, ReO4 or BF4, the orientation of tetrahedron is random at high temperature and becomes either ordered or disordered depending on cooling speed, respectively. Orientational ordering causes unit cell to be doubled and the Brillouin zone to be halved, which is called zone folding [51]. The zone folding changes the material property drastically, sometimes from metal to insulator or from superconducting to insulator. Considering that this anion ordering (AO) is available in the presence of loose space at the anion site, pressure can suppress the anion ordering, resulting as described. The present author examined the TAO of (TMTSF)2ClO4 by detecting the kink in resistance up to 1.1 GPa. But the strength of anion ordering becomes very weak at 0.4 GPa [52] as shown in Figure 5.
Figure 4. Temperature-Pressure phase diagram of SDW (left-bottom region of the lines) and metal in (TMTSF)2PF6 [52]. Reproduced with permission from JPSJ.
Figure 4. Temperature-Pressure phase diagram of SDW (left-bottom region of the lines) and metal in (TMTSF)2PF6 [52]. Reproduced with permission from JPSJ.
Crystals 02 01460 g004
Figure 5. Temperature of anion ordering (left) and its strength (right) as a function of pressure [45]. Reproduced with permission from JPSJ.
Figure 5. Temperature of anion ordering (left) and its strength (right) as a function of pressure [45]. Reproduced with permission from JPSJ.
Crystals 02 01460 g005

6. β-(BEDT-TTF)2I3

This salt is a two-dimensional conductor and showed superconductivity of 1 K at ambient pressure when it was first reported [53]. Soon after, 8 K superconductivity was reported under pressure of ~0.1 GPa independently by the present author (K/M) [54,55] and Laukhin et al. [56]. Historically, the discovery of the 8 K superconductivity was an important event, because many of the researchers started to move away from this field, concluding themselves that the superconducting Tc of organic crystals should not exceed much more than 1 K. At that time, the one exception was the Tc of 3 K for (TMTSF)2FSO3[57].
The apparent existence of two Tc’s as shown in Figure 6 drew attention to a new possibility. If two superconducting phases, for example, with different Tc’s, coexist next to each other, it is direct evidence for non-s-wave superconductivity. In other words, the s-wave superconductivity does not have two superconducting phases. It reminded us of the two superconductivities proposed for UPt3, where the phase boundary of two superconductivities is shown by specific measurement [58]. Later on, it was made clear that the 1 K-low Tc superconductivity is associated with an incommensurate superstructure, which appears at 195 K [59]. This superstructure is found to be suppressed by the gas pressure of 0.04 GPa [60,61], therefore, when pressure larger than 0.04 GPa is applied during cooling from room temperature through 195 K, 8 K-superconductivity is achieved even the pressure is released to zero below 195 K. As a consequence, the two phases in superconductivity supporting directly the non S-type superconductivity in terms of internal structure in superconductivity is discarded.
Application of pressure therefore simply suppresses the superconductivity. Isostructural salt like β-(BEDT-TTF)2IBr2 and β-(BEDT-TTF)2AuI2 show the superconducting Tc on the same curve of Tcvs. volume of β-(BEDT-TTF)2I3. This explains that the Tc is ruled by the density of state. Similar classification of superconducting Tc against volume was applied later for the first series of A3C60, where A and C60 are the alkali-element and fullerene, respectively.
As for the superconductivity, this family does not show superconductivity when the resistivity is higher than 150 μΩ·cm, which is the well-known value of the localization limit. This experiment was achieved by measuring the Tc against the residual resistivity of the various alloys, such as β-(BEDT-TTF)2(I3)1−x(IBr2)x, β-(BEDT-TTF)2(IBr2)1−x(I2Br)x, β-(BEDT-TTF)2(I2Br)1−x(I3)x [62]. Further β-(BEDT-TTF)2I2Br never showed superconductivity. Among the trihalides, I3, IBr2 and I2Br, it is known that heavy atom is located always at the center. Therefore, I3 and IBr2 are always symmetric, whereas I2Br is always non-symmetric, which causes an orientational disorder and then becomes the source of scatterers. This is the reason for the absence of superconductivity in β-(BEDT-TTF)2I2Br. These series of experiments claim that the superconductivity is of a type that is weak against non-magnetic impurities.
Figure 6. Temperature-Pressure phase diagram of ofβ-(BEDT-TTF)2I3[55]. It seemed that the two superconducting Tc’s, i.e., inner structure of superconductivity was suggested. However, the different series of Tc were proved related to the structure difference. Reproduced with permission from JPSJ.
Figure 6. Temperature-Pressure phase diagram of ofβ-(BEDT-TTF)2I3[55]. It seemed that the two superconducting Tc’s, i.e., inner structure of superconductivity was suggested. However, the different series of Tc were proved related to the structure difference. Reproduced with permission from JPSJ.
Crystals 02 01460 g006
Pressure is a tool that usually reduces the electrical resistivity mainly, by the following two mechanisms: Firstly, pressure may enhance the bandwidth then mobility, in many cases. Second, pressure may enhance the dimensionality, which might help the electron pass, avoiding the scattering site. The authors tried to realized superconductivity of β-(BEDT-TTF)2I2Br by reducing the resistivity by means of pressure. Actually, the resistivity at room temperature was suppressed. However, the resistivity at low temperature was unchanged, which meant that the resistivity is perfectly ruled by the intrinsic and robust scatterers of I2Br-anions at low temperature and by the band effect at high temperature [63]. It might be interesting to work in the future with an uniaxial strain from this view point.
Another way to approach superconductivity is whether or not the upper critical field, Hc2 of superconductivity, is limited by the Clogston-Pauli value. This experiment was carried out under pressure with precise adjustment of the orientation of the magnetic field parallel to the 2D layer of the crystal by rotating the pressure cell in high magnetic field. The result was that the Hc2 did not increase after lowering the temperature and looked saturated by the value of Pauli value, which supported the S-type superconductivity [64]. However, it was reported that the ambient pressure superconductivity of 7.1 K generated by the Ginodman’s method [61] showed Hc2, which exceeded Pauli limit [65]. Therefore 8 K superconductivity achieved either by under pressure or by a special temperature-pressure path during cooling showed different results. It might be related to the amount of scatterers due to the perfectness of the crystal, since this superconductivity is very sensitive to impurities as mentioned above.
The Fermiology by means of the Shubnikov de Haas effect of organic conductors started with this material [66,67,68] alongside κ-(BEDT-TTF)2Cu(NCS)2[69]. Once the Fermi-surface of the 2D organic conductors is found to be the real objects, Fermiology by means of angular dependence of magnetoresistance developed Kajita-Yamaji oscillation [70,71,72].

7. α-(BEDT-TTF)2I3

This salt has a different crystal structure from β-(BEDT-TTF)2I3, and both α- and β-salts were found even in the same batch grown by the electrochemical method. Without using X-ray, the structural type of crystal is distinguished by the ESR bandwidth, 70–110 Gauss (20–25 Gauss) for α (for β) crystals [73,74,75,76]. Historically and technically, α and β appeared at the same time even in the same batch in the crystal growth. And β has been focused on for study because of the existence of superconductivity and its drastically high Tc of 8 K. What was found in the α-salt was that the temperature dependence of resistivity looked metallic but very weak, the sharp metal-insulator (M-I) transition occurs at 135 K, and this M-I transition is suppressed by pressure. Kajita, Tajima et al. studied the pressure effect up to 1.9 GPa and found that this very flat temperature dependence continuing to liquid helium temperature [77]. Their Hall effect study suggested that the carrier numbers decreased from room to helium temperature by 5–6 orders of magnitude. Much later, A. Kobayashi, Katayama et al. explained the temperature dependence of resistivity and Hall effect in terms of Dirac cone structure in the electronic band structure [78].
At the same time, this material shows charge disproportionation in the metallic state and charge ordering in the insulating state, which was proved by NMR chemical shift study [79], which is also true under pressure even though the TMI is lowered by pressure [80]. In the Dirac cone state, the system is in the insulating state where charge ordering is established. There are two Dirac cones in the first Brillouin zone. Montambaux predicted that the two Dirac cones approaches each other by increasing pressure and merge into one where gap opens beyond 4 GPa [81]. However, Kino pointed out that pressure just make the Dirac cones more tilt and one side of the cones will make a negative slope and gap will disappear keeping the cone structure [82]. The present authors performed the high pressure measurement up to 8 GPa using cubic anvil pressure cell, which ensures constant pressure down to 2 K. Against the theoretical prediction of semiconducting behavior above 4 GPa, our result is that the almost temperature independent resistivity behavior is unchanged up to 8 GPa. Furthermore, the sheet resistance value is very close to the universal resistance of 25.8 kΩ in the temperature-independent resistivity region in Figure 7. It can be concluded that the Dirac cone electronic structure is stable under pressure at least up to 8 GPa.
Figure 7. Temperature dependence of resistivity of α-(BEDT-TTF)2I3 as examined by the present authors. It is obvious that the Dirac cone state is stabilized even at 8 GPa.
Figure 7. Temperature dependence of resistivity of α-(BEDT-TTF)2I3 as examined by the present authors. It is obvious that the Dirac cone state is stabilized even at 8 GPa.
Crystals 02 01460 g007
It is remarkable that the superconductivity is found under uniaxial strain along the a-axis, but not along the b-axis as shown in Figure 8. Around the superconductivity in the temperature-strain phase diagram, the charge ordered state is located. This suggested a new mechanism of superconductivity related to charge order. Historically, Dirac cone was found in graphene, the one sheet of graphite that is very fragile and hard to treat. Many of the possible experiments are still limited. From the work with α-(BEDT-TTF)2I3 the Dirac cones, which are of course slightly different from those of graphene, were found in a bulk system. Therefore, the research on the Dirac cone flourished.
Figure 8. Temperature-Strain phase diagram of α-(BEDT-TTF)2I3 [18]. Superconductivity is seen only with the strain along the a-axis. Around the superconductivity, charge ordered phase is located. Reproduced with permission from JPSJ.
Figure 8. Temperature-Strain phase diagram of α-(BEDT-TTF)2I3 [18]. Superconductivity is seen only with the strain along the a-axis. Around the superconductivity, charge ordered phase is located. Reproduced with permission from JPSJ.
Crystals 02 01460 g008

8. κ-(MeDH-TTP)2AsF6

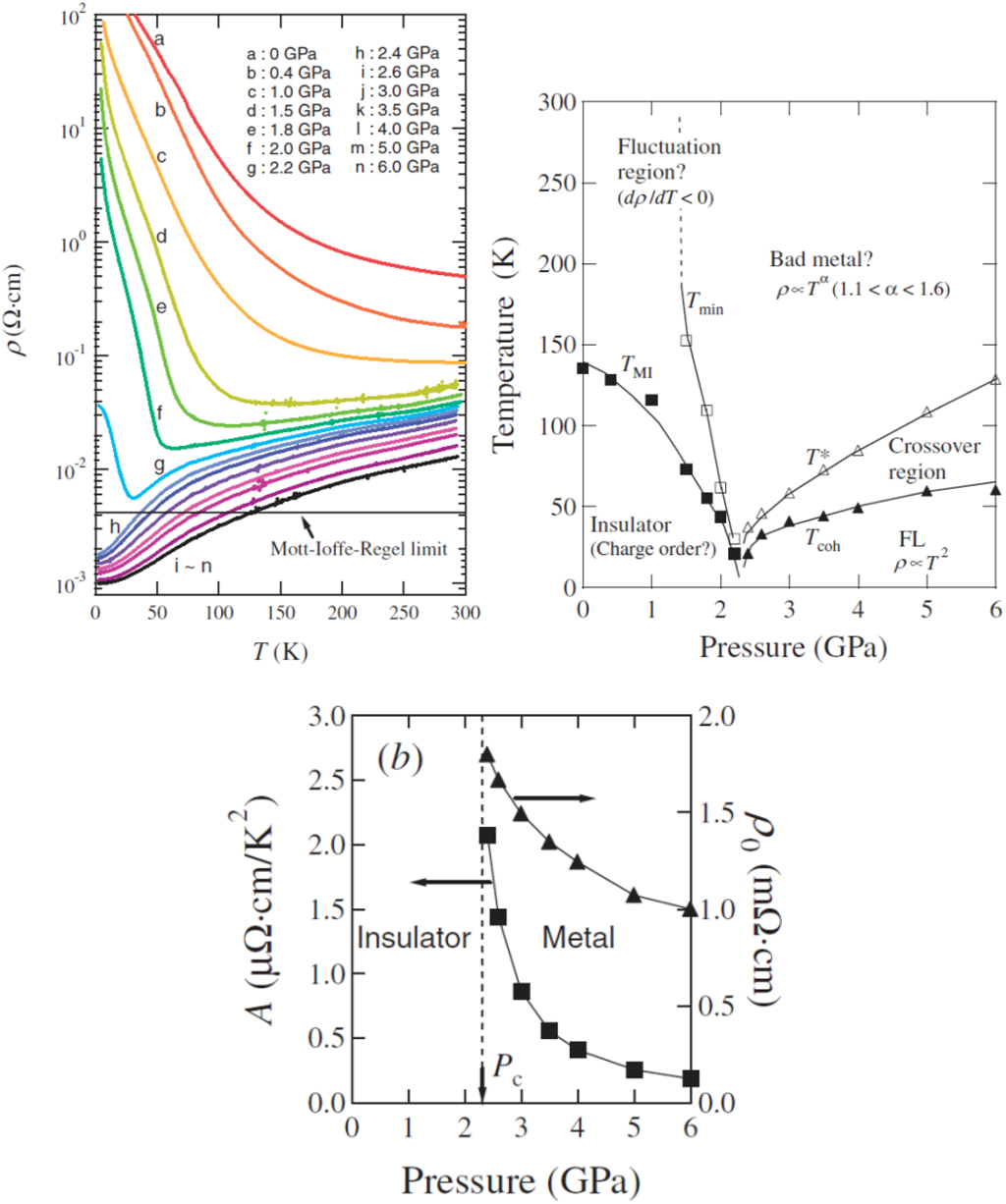
The crystal of κ-type itself seems to form an inevitably dimerized structure. However, the dimerization energy in κ-(MeDH-TTP)2AsF6 is one order of magnitude smaller than the usual κ-type crystals. The dimerized structure is related to half-filled and then to Mott insulator. Then an interesting question arises whether the very weakly dimerized structure can induce a quarter-filled band and then charge ordered state [83]. With this interest, the temperature dependence of resistivity of κ-(MeDH-TTP)2AsF6 for various pressures up to 6 GPa was studied, where MeDH-TTP stands for 2-methyl-5-(1,3-dithiolan-2-yliden)-1,3,4,6-tetrathiapentalene [84]. At ambient pressure the system was completely insulating. But by increasing pressure, a metallic state appeared below room temperature, and then the metal-insulator transition became sharper. With further increase of pressure, insulating state was suppressed, and we anticipated superconductivity around 2.2 GPa. However, the system suddenly became Fermi liquid state without showing superconductivity. As shown by the phase diagram in Figure 9, the divergence of A, which is the prefactor of the T2-term in resistivity from higher pressure to 2.2 GPa, was observed. In this way, the system showed a typical quantum critical point.
Figure 9. Temperature dependence of resistivity of κ-(MeDH-TTP)2AsF6 under hydrostatic pressure by cubic anvil cell with pressure medium of Daphne7373(top left). Temperature-Pressure phase diagram showing quantum critical point (top right). Divergence of the prefactor, A of T2-term in resistivity and the residual resistivity (bottom) [84].Reproduced with permission from JPSJ.
Figure 9. Temperature dependence of resistivity of κ-(MeDH-TTP)2AsF6 under hydrostatic pressure by cubic anvil cell with pressure medium of Daphne7373(top left). Temperature-Pressure phase diagram showing quantum critical point (top right). Divergence of the prefactor, A of T2-term in resistivity and the residual resistivity (bottom) [84].Reproduced with permission from JPSJ.
Crystals 02 01460 g009

9. τ-type Conductors

The chemical formula of τ-type conductor is τ-D2A1+y, where D is a chiral donor such as P-(S,S)-DMEDT-TTF or EDO-S,S-DMEDT-TTF, and A is a linear anion such as I3, AuBr2, and y is around 0.75–0.9 [85,86]. The names of P-(S,S)-DMEDT-TTF or EDO-S,S-DMEDT-TTF come from pyrazino-(S,S)-dimethyl-ethylenedithio-tetrathiofulvalene and ethylenedioxy-S,S-dimethylenedithio tetrathiafulvalene, respectively. Due to the low symmetry of chiral donors, one unit cell includes four layers of D2A1+y perpendicular to the conducting plane in a chiral manner. The same anion A is located in two different typical sites; one is inside the conducting layer completely as expresses by 1 in A1+y, the other is in between the layers with a deficiency as described as y (< 1) in A1+y. Since the unit cell structure perpendicular to the conducting layer is so complicated as four-fold, the band calculation was carried out for a single layer neglecting the four-fold structure for a unit cell in the real system. The calculated electronic structure and the Fermi surface for a single sheet give a four-fold star-shaped 2D Fermi surface in a square Brillouin zone.
The positional deficiency of the trihalide-anion at the interlayer site, with which value y is related, is one origin of disorder. Another type of disorder comes from either the two ways of bending of the non-planar ring including two oxygen atoms in the donor EDO-S,S-DMEDT-TTF or the two ways of chirality of two methyl groups in the P-S,S-DMEDT-TTF [87]. Furthermore, anions layers in between the conducting layers make different periodicity from that of the donors. Some of the conductors exhibit superstructure below ~245 K [88].
Probably due to two types of disorder, especially due to the deficiency of the I3-anions, which are likely to dissociate from the crystals, the temperature dependence of resistivity of τ-type conductors is very sample dependent. However, roughly speaking, all of the crystals are metallic down to 30–100 K, and show resistance upturn at low temperature. Accordingly, the resistance ratio R300 K/Rlow temp is almost 1, which suggests the Shubnikov de Haas (SdH) effect is unlikely. However, a very clear gigantic SdH effect is observed as shown in Figure 10 [89]. From this observation, the system has at least a clean nature in spite of many disorders. The authors found two Fermi surface pockets, i.e., 0.66% and 6.1% of the FBZ (first Brillouin zone) for τ-(EDO-S,S-DMEDT-TTF)2(AuBr2)1+y, and 2.3% and 6.9% for τ-(P-S,S-DMEDT-TTF)2(AuBr2)1+y [89,90]. Both of these values are inconsistent with the value of 12.5% calculated for y; 0.75. The small FS pocket of 0.66% is realized the Landau quantum limit, and the larger FS plays a role of reservoir of carriers at the intermediate temperature, and quantum Hall effect is realized there (~1 K) [91]. At a lower temperature, the Landau levels of the large FS pocket separate each other, and longer the large FS pocket no longer plays as a carrier reservoir. This is the reason that lowest temperature is not suitable to observe quantum Hall effect.
Figure 10. Giant Shubnikov-de Haas oscillation in τ-(EDO-S,S-MEEDT-TTF)2(AuBr2)1+y (top), and it 1/B-plot (bottom) [89]. Reproduced with permission from Physical Review B.
Figure 10. Giant Shubnikov-de Haas oscillation in τ-(EDO-S,S-MEEDT-TTF)2(AuBr2)1+y (top), and it 1/B-plot (bottom) [89]. Reproduced with permission from Physical Review B.
Crystals 02 01460 g010
At a high field above 38 T, the system turns into a field-induced insulating state with large hysteresis [92]. The pressure effect for these materials is very striking. This field induced insulating phase is easily suppressed by extremely low pressure, namely much smaller than 0.1 GPa. The reason is unexplained. Recently, these materials drew attention by its large thermoelectric power based on the flat band in the electronic structure [93].

10. Conclusion

We reviewed many but limited kinds of topics, as were discussed in association with pressure works on organic conducting crystals. We started with TTF-TCNQ and finished with recent materials with which the authors were deeply involved. Since covering everything was impossible, we dared to skip even some important materials such as κ-type conductors and DCNQ-materials. We also did not touch the materials that include two competing phases of charge order and Mott insulating states found in β-(BDA-TTP)2I3, despite these being the authors’ current topics [94,95]. However, although limited subjects were treated in this paper, we believe it will be realized that how much pressure has contributed to the development of this field of organic conductors.

Acknowledgements

The part of this work was supported in part by the partially supported by the Grant-in-Aid for priority area 23110722.

References

  1. Andrieux, A.; Schulz, H.J.; Jérome, D. Conductivity of the one-dimensional conductor tetrathiafulvalene-tetracyanoquinodimethane (TTF-TCNQ) near commensurability. Phys. Rev. Lett. 1979, 43, 227–230. [Google Scholar] [CrossRef]
  2. Jérome, D.; Mazaud, A.; Ribault, M.; Bechgaard, K. Superconductivity in a synthetic organic conductor (TMTSF)2PF6. J. Phys. Lett. 1980, 41, L95–L98. [Google Scholar] [CrossRef]
  3. Chaikin, P.M. Field Induced Spin density waves. J. Phys. I France 1996, 6, 1875–1898. [Google Scholar] [CrossRef]
  4. Wu, M.K.; Ashburn, J.R.; Torng, C.J.; Hor, P.H.; Meng, R.L.; Gao, L.; Huang, Z.J.; Wang, Y.Q.; Chu, C.W. Superconductivity at 93 K in a new mixed-phase Y-Ba-Cu-0 compound system at ambient pressure. Phys. Rev. Lett. 1987, 58, 908–910. [Google Scholar] [CrossRef]
  5. Murata, K.; Yoshino, H.; Yadav, H.O.; Honda, Y.; Shirakawa, N. Pt resistor thermometry and pressure calibration in a clamped pressure cell with the medium, Daphne 7373. Rev. Sci. Instrum. 1997, 68, 2490–2493. [Google Scholar] [CrossRef]
  6. Yokogawa, K.; Murata, K.; Yoshino, H.; Aoyama, S. Solidification of high pressure medium Daphne 7373. Jpn. J. Appl. Phys. 2007, 46, 3636–3639. [Google Scholar] [CrossRef]
  7. Shishido, H.; Ueda, T.; Hashimoto, S.; Kubo, T.; Settai, R.; Harima, H.; Onuki, Y. A de Haas–van Alphen experiment under pressure on CeCoIn5, deviation from the quantum critical region. J. Phys. Condens. Matter 2003, 15, L499–L504. [Google Scholar] [CrossRef]
  8. Takashima, M.; Aoki, H.; Haworth, C.J.; Matsumoto, T.; Terashima, T.; Uji, S.; Terakura, C.; Miura, T.; Uesawa, A.; Suzuki, T. De Haas-van Alphen effect of CeSb under pressure. J. Phys. Soc. Jpn. 1998, 167, 3859–3866. [Google Scholar]
  9. Taniguchi, H.; Miyashita, M.; Uchiyama, K.; Satoh, K.; Mori, N.; Okamoto, H.; Miyagawa, K.; Kanoda, K.; Hedo, M.; Uwatoko, Y. Superconductivity at 14.2 K in layered organic under extreme pressure. J. Phys. Soc. Jpn. 2003, 72, 468–471. [Google Scholar] [CrossRef]
  10. Itoi, M.; Araki, C.; Hedo, M.; Uwatoko, Y.; Nakamura, T. Anomalously wide superconducting phase of one-dimensional organic conductor (TMTTF)2SbF6. J. Phys. Soc. Jpn. 2008, 77, 1–4. [Google Scholar]
  11. Murata, K.; Yokogawa, K.; Yoshino, H.; Klotz, S.; Munsch, P.; Irizawa, A.; Nishiyama, M.; Iizuka, K.; Nanba, T.; Okada, T.; Shiraga, Y.; Aoyama, S. Pressure transmitting medium Daphne 7474 solidifying at 3.7 GPa at room temperature. Rev. Sci. Instrum. 2008, 79, 1–8. [Google Scholar]
  12. Kotegawa, H.; Kawazoe, T.; Sugawara, H.; Murata, K.; Tou, H. Effect of uniaxial stress for pressure-induced superconductor, SrFe2As2. J. Phys. Soc. Jpn. 2009, 78, 1–4. [Google Scholar] [CrossRef]
  13. Yamazaki, T.; Takeshita, N.; Kobayashi, R.; Fukazawa, H.; Kohori, Y.; Kihou, K.; Lee, C.H.; Kito, H.; Iyo, A.; Eisaki, H. Appearance of pressure-induced superconductivity in BaFe2As2 under hydrostatic conditions and its extremely high sensitivity to uniaxial stress. Phys. Rev. B 2010, 81, 1–5. [Google Scholar]
  14. Campos, C.E.; Brooks, J.S.; van Bentum, P.J.M.; Perenboom, J.A.A.J.; Rook, J.; Klepper, S.J.; Tokumoto, M. Uniaxial stress method for delicate crystals: Application to Shubnikov-de Haas and superconductivity studies in organic conductors. Rev. Sci. Instrum. 1995, 66, 1061–1064. [Google Scholar] [CrossRef]
  15. Maesato, M.; Kaga, Y.; Kondo, R.; Kagoshima, S. Uniaxial strain method for soft crystals: Application to the control of the electronic properties of organic conductors. Rev. Sci. Instrum. 2000, 71, 176–181. [Google Scholar] [CrossRef]
  16. Kondo, R.; Kagoshima, S.; Harada, J. Crystal structure analysis under uniaxial strain at low temperature using a unique design of four-axis X-ray diffractometer with a fixed sample. Rev. Sci. Instrum. 2005, 76, 1–7. [Google Scholar]
  17. Campos, C.E.; Brooks, J.S.; van Bentum, P.J.M.; Perenboom, J.A.A.J.; Klepper, S.J.; Sandhu, P.S.; Valfells, S.; Tanaka, Y.; Kinoshita, T.; Kinoshita, N.; Tokumoto, M.; Anzai, H. Uniaxial-Stress-Induced superconductivity in organic conductors. Phys. Rev. B 1995, 52, R7014–R7017. [Google Scholar]
  18. Tajima, N.; Ebina-Tajima, A.; Tamura, M.; Nishio, Y.; Kajita, K. Effects of uniaxial strain on transport properties of organic conductor alpha-(BEDT-TTF)2I3 and discovery of superconductivity. J. Phys. Soc. Jpn. 2002, 71, 1832–1835. [Google Scholar] [CrossRef]
  19. Maesato, M.; Shimizu, Y.; Saito, G.; Miyagawa, K.; Kanoda, K. Spin-Liquid behavior and superconductivity in κ-(BEDT-TTF)2X: The role of uniaxial strain. J. Phys. IV France 2004, 114, 227–231. [Google Scholar] [CrossRef]
  20. Mori, H.; Tanaka, S.; Mori, T. Systematic study of the electronic state in θ-type BEDT-TTF organic conductors by changing the electronic correlation. Phys. Rev. B 1998, 57, 12023–12029. [Google Scholar] [CrossRef]
  21. Shimizu, Y.; Miyagawa, K.; Kanoda, K.; Maesato, M.; Saito, G. Spin liquid state in an organic Mott insulator with a triangular lattice. Phys. Rev. Lett. 2003, 91, 1–4. [Google Scholar]
  22. Andrieux, A.; Schulz, H.J.; Jérome, D.; Bechgaard, K. Fluctuation conductivity in 1-D conductor tetrathiafulvalene-tetracyanoquinodimethane (TTF-TCNQ). J. Phys. Lett. 1979, 40, L385–L389. [Google Scholar] [CrossRef]
  23. Jérome, D.; Schulz, H.J. Organic conductors and superconductors. Adv. Phys. 1982, 31, 299–490. [Google Scholar]
  24. Pouget, J.-P. X-Ray diffuse scattering as precursor of incommensurate Peierls transitions in one-dimensional organic charge transfer conductors. Z. Kristallogr. (Munich) 2004, 219, 711–718. [Google Scholar] [CrossRef]
  25. Khanna, S.K.; Pouget, J.P.; Comes, R.; Garito, A.F.; Heeger, A.J. X-Ray studies of 2kF and 4kF anomalies in tetrathiafulvalene-tetracyanoquinodimethane (TTF-TCNQ). Phys. Rev. B 1977, 16, 1468–1479. [Google Scholar] [CrossRef]
  26. Pouget, J.-P.; Khanna, S.K.; Denoyer, F.; Comes, R.; Garito, A.F.; Heeger, A.J. X-Ray observation of 2kF and 4kF scatterings in tetrathiafulvalene-tetracyanoquinodimethane (TTF-TCNQ). Phys. Rev. Lett. 1976, 37, 437–440. [Google Scholar] [CrossRef]
  27. Kagoshima, S.; Ishiguro, T.; Anzai, H. X-Ray scattering study of phonon anomalies and superstructures in TTF-TCNQ. J. Phys. Soc. Jpn. 1976, 41, 2061–2071. [Google Scholar] [CrossRef]
  28. Jérome, D. Organic conductors: From charge density wave TTF-TCNQ to superconducting (TMTSF)2PF6. Chem. Rev. 2004, 104, 5565–5591. [Google Scholar] [CrossRef]
  29. Yasuzuka, S.; Murata, K.; Arimoto, T.; Kato, R. Temperature-Pressure phase diagram in TTF-TCNQ: Strong suppression of charge-density-wave state under extremely high pressure. J. Phys. Soc. Jpn. 2007, 76, 1–4. [Google Scholar] [CrossRef]
  30. Ishibashi, S.; Kohyama, M. Ab initio pseudopotential calculation for TTF-TCNQ and TSeF-TCNQ. Phys. Rev. B 2000, 62, 7839–7844. [Google Scholar] [CrossRef]
  31. Friend, R.H.; Miljak, M.; Jérome, D. Pressure dependence of the phase transitions in tetrathiafulvalene-tetracyanoquinodimethane (TTF-TCNQ): Evidence for a longitudinal lock-in at 20 kbar. Phys. Rev. Lett. 1978, 40, 1048–1051. [Google Scholar] [CrossRef]
  32. Murata, K. Temperature-Pressure phase diagram of TSeF-TCNQ. Osaka City University: Osaka, Japan, Unpublished work. 2006. [Google Scholar]
  33. Soda, G.; Jérome, D.; Weger, M.; Fabre, J.M.; Giral, L. Interchain coupling and nuclear magnetic relaxation in the organic conductor tetrathiafulvalene-tetracyanoquinodimethane TTF-TCNQ. Solid State Commun. 1976, 18, 1417–1421. [Google Scholar] [CrossRef]
  34. Murata, K.; Weng, Y.; Seno, Y.; Tamilselvan, N.R.; Kobayashi, K.; Arumugam, S.; Takashima, Y.; Yoshino, H.; Kato, R. Fluctuation of the charge density wave in TTF-TCNQ under high pressure. Phys. B Phys. Condens. Matter 2009, 404, 373–375. [Google Scholar] [CrossRef]
  35. Weger, M. A model for the electronic band structure of HMTSeF-TCNQ. Solid State Commun. 1976, 19, 1149–1155. [Google Scholar] [CrossRef]
  36. Ishibashi, S. Electronic band structure calculation under pressure of TTF-TCNQ. Private Communication, Agency of Industrial Science and Technology: Tsukuba, Japan, 2008. [Google Scholar]
  37. Murata, K.; Yokogawa, K.; Kobayashi, K.; Masuda, K.; Sasaki, T.; Seno, Y.; Tamilselvan, N.R.; Yoshino, H.; Brooks, J.S.; Jérome, D.; et al. Field-Induced successive phase transitions in the CDW organic conductor HMTSF-TCNQ. J. Phys. Soc. Jpn. 2010, 79, 1–4. [Google Scholar]
  38. Murata, K.; Kang, W.; Masuda, K.; Kuse, T.; Sasaki, T.; Yokogawa, K.; Yoshino, H.; Brooks, J.S.; Choi, E.S.; Kiswandhi, A.; Kato, R. Field-Induced CDW in HMTSF-TCNQ. Phys. B 2012, 407, 1927–1929. [Google Scholar] [CrossRef]
  39. Mortensen, K.; Tomkiewicz, Y.; Bechgaard, K. Antiferromagnetism in the organic conductor, bis-tetramethyltetraselenafulvalene hexafluoroarsenate, [(TMTSF)2AsF6]: Static magnetic susceptibility. Phys. Rev. B 1982, 25, 3319–3325. [Google Scholar] [CrossRef]
  40. Takahashi, T.; Maniwa, Y.; Kawamura, H.; Saito, G. Determination of SDW characteristics in (TMTSF)2PF6 by 1H-NMR analysis. Phys. B + C 1986, 143, 417–421. [Google Scholar] [CrossRef]
  41. Delrieu, J.M.; Roger, M.; Toffano, Z.; Moradpour, A.; Bechgaard, K. NMR proton lineshape in (TMTSF)2X: Incommensurability of nesting vector and order parameter. J. Phys. France 1986, 47, 839–861. [Google Scholar] [CrossRef]
  42. Murata, K.; Anzai, H.; Ukachi, T.; Ishiguro, T. Metal-Insulator transition in (TMTTF)2BF4 under pressure. J. Phys. Soc. Jpn. 1984, 53, 491–494. [Google Scholar] [CrossRef]
  43. Chow, D.S.; Zamborszky, F.; Alavi, B.; Tantillo, D.J.; Baur, A.; Merlic, C.; Brown, S.E. Charge ordering in the TMTTF Family of molecular conductors. Phys. Rev. Lett. 2000, 85, 1698–1701. [Google Scholar] [CrossRef]
  44. Zamborszky, F.; Raas, W.Y.W.; Brown, S.E.; Alavi, B.; Merlic, C.A.; Baur, A. Competition and coexistence of bond and charge orders in (TMTTF)2AsF6. Phys. Rev. B 2002, 66, 1–4. [Google Scholar]
  45. Takahashi, T.; Nogami, Y.; Yakushi, K. Charge ordering in organic conductors. J. Phys. Soc. Jpn. 2006, 75, 1–17. [Google Scholar]
  46. Jérome, D. The physics of organic superconductors. Science 1991, 252, 1509–1514. [Google Scholar]
  47. Adachi, T.; Ojima, E.; Kato, K.; Kobayashi, H.; Miyazaki, T.; Tokumoto, M.; Kobayashi, A. Superconducting transition of (TMTTF)2PF6 above 50 kbar [TMTTF = Tetramethyltetra-thiafulvalene. J. Am. Chem. Soc. 2000, 122, 3238–3239. [Google Scholar] [CrossRef]
  48. Jaccard, D.; Wilhelm, H.; Jérome, D.; Moser, J.; Carcel, C.; Fabre, J.M. From spin-Peierls to superconductivity: (TMTTF)2PF6 under high pressure. J. Phys. Condens. Matter 2001, 13, L89–L95. [Google Scholar] [CrossRef]
  49. Guo, F.Z.; Murata, K.; Oda, A.; Mizuno, Y.; Yoshino, H. Spin density wave transition in (TMTSF)2PF6 under uniaxial strain. J. Phys. Soc. Jpn. 2000, 69, 2164–2169. [Google Scholar] [CrossRef]
  50. Murata, K.; Mizuno, Y.; Guo, FZ.; Shodai, S.; Iwashita, K.; Yoshino, H. Spin density wave in a reduced anisotropy in (TMTSF)2PF6. Mol. Cryst. Liq. Cryst. 2002, 380, 85–92. [Google Scholar]
  51. Grant, P.M. Electronic structure of the 2:1 charge transfer salts of TMTCF. J. Phys. Colloques 1983, 44, 847–857. [Google Scholar]
  52. Guo, F.Z.; Murata, K.; Yoshino, H.; Maki, S.; Tanaka, S.; Yamada, J.; Nakatsuji, S.; Anzai, H. Anion-Ordering transition in (TMTSF)2ClO4 under pressure. J. Phys. Soc. Jpn. 1998, 67, 3000–3002. [Google Scholar] [CrossRef]
  53. Yagubskii, E.B.; Shchegolev, I.F.; Laukhin, V.N.; Kononovich, P.A.; Karatsovnik, M.V.; Zvarykina, A.V.; Buravov, L.I. Normal-Pressure superconductivity in an organic metal (BEDT-TTF)2I3. JETP Lett. 1984, 39, 12–16. [Google Scholar]
  54. Murata, K.; Tokumoto, M.; Anzai, H.; Bando, H.; Saito, G.; Kajimura, K.; Ishiguro, T. Superconductivity with the onset at 8 K in β-(BEDT-TTF)2I3 under pressure. J. Phys. Soc. Jpn. 1985, 54, 1236–1239. [Google Scholar] [CrossRef]
  55. Murata, K.; Tokumoto, M.; Anzai, H.; Bando, H.; Saito, G.; Kajimura, K.; Ishiguro, T. Pressure phase diagram of the organic superconductor β-(BEDT-TTF)2I3. J. Phys. Soc. Jpn. 1985, 54, 2084–2087. [Google Scholar] [CrossRef]
  56. Laukhin, V.N.; Kostyuchenko, E.E.; Sushko, V.Y.; Shchegolev, I.F.; Yagubskii, E.B. Effect of pressure on the superconductivity of beta-(BEDT-TTF)2I3. JETP Lett. 1985, 41, 81–84. [Google Scholar]
  57. Lacoe, R.C.; Wolf, S.A.; Chaikin, P.M.; Wudl, F.; Aharon-Shalom, E. Metal-Insulator transitions and superconductivity in ditetramethyltetraselenafulvalenium fluorosulfonate [(TMTSF)2FSO3]. Phys. Rev. B 1983, 27, 1947–1950. [Google Scholar]
  58. Fisher, R.A.; Kim, S.; Woodfield, B.F.; Phillips, N.E.; Taillefer, L.; Hasselbach, K.; Flouquet, J.; Giorgi, A.L.; Smith, J.L. Specific heat of UPt3: Evidence for unconventional superconductivity. Phys. Rev. Lett. 1989, 62, 1411–1414. [Google Scholar]
  59. Leung, P.C.W.; Emge, T.J.; Beno, M.A.; Wang, H.H.; Williams, J.M.; Petricek, V.; Coppens, P. Novel structural modulation in the ambient-pressure sulfur-based organic superconductor β-(BEDT-TTF)2I3: Origin and effects on its electrical conductivity. J. Am. Chem. Soc. 1985, 107, 6184–6191. [Google Scholar] [CrossRef]
  60. Ravy, S.; Moret, R.; Pouget, J.P. Explanation of the phase diagram of beta-di[bis(ethylene-dithio)tetrathiafulvalene] triiodide based on the two configurations of the organic molecule. Phys. Rev. B 1988, 38, 4469–4480. [Google Scholar] [CrossRef]
  61. Ginodman, V.B.; Gudenko, A.V.; Kononovich, P.A.; Laukhin, V.N.; Shchegolev, I.F. Direct detection of the beta-1.5 beta-8 phase transition in beta-(ET)2I3. JETP Lett. 1986, 44, 673–677. [Google Scholar]
  62. Tokumoto, M.; Anzai, H.; Murata, K.; Kajimura, K.; Ishiguro, T. Effect of Alloying on the superconductivity in organic metals β-(BEDT-TTF)2 trihalides. Synthet. Metal. 1988, 27, A251–A256. [Google Scholar] [CrossRef]
  63. Murata, K.; Tokumoto, M.; Anzai, H.; Honda, Y.; Kinoshita, N.; Ishiguro, T.; Toyota, N.; Sasaki, T.; Muto, Y. Superconductivity of BEDT-TTF salts; (I) effect of pressure and alloying and (II) Shubnikov de Haas Effect. Synthet. Metal. 1988, 27, A263–A270. [Google Scholar] [CrossRef]
  64. Murata, K.; Toyota, N.; Tokumoto, M.; Anzai, H.; Saito, G.; Kajimura, K.; Morita, S.; Muto, Y.; Ishiguro, T. Upper critical field of β-(BEDT-TTF)2I3 in the High Tc superconducting state. Phys. B 1986, 143, 366–368. [Google Scholar]
  65. Laukhin, V.N.; Pesotskii, S.I.; Yagubskii, E.B. Exceeding the paramagnetic limit of Hc2 in an organic superconductor beta-(ET)2I3 with Tc = 7.1 K. JETP Lett. 1987, 45, 501–504. [Google Scholar]
  66. Murata, K.; Toyota, N.; Honda, Y.; Sasaki, T.; Tokumoto, M.; Bando, H.; Anzai, H.; Muto, Y.; Ishiguro, T. Magnetoresistance in β-(BEDT-TTF)2I3 and β-(BEDT-TTF)2IBr2, Shubnikov de Haas effect. J. Phys. Soc. Jpn. 1988, 57, 1540–1543. [Google Scholar] [CrossRef]
  67. Toyota, N.; Sasaki, T.; Murata, K.; Honda, Y.; Tokumoto, M.; Bando, H.; Anzai, H.; Ishiguro, T.; Muto, Y. Cyclotron mass and Dingle temperature of conduction electrons moving in a layered plane of organic superconductors β-(BEDT-TTF)2IBr2, β-(BEDT-TTF)2I3 and κ-(BEDT-TTF)2Cu(NCS)2. J. Phys. Soc. Jpn. 1988, 57, 2616–2619. [Google Scholar]
  68. Kang, W.; Montambaux, G.; Cooper, J.R.; Jérome, D.; Batail, P.; Lenoir, C. Observation of giant magnetoresistance oscillation in the high-Tc phase of the two-dimensional organic conductor beta-(BEDT-TTF)2I3. Phys. Rev. Lett. 1989, 62, 2559–2562. [Google Scholar] [CrossRef]
  69. Oshima, K.; Mori, T.; Inokuchi, H.; Urayama, H.; Yamochi, H.; Saito, G. Shubnikov-de Haas effect and Fermi surface in an ambient pressure organic superconductor (BEDT-TTF)2Cu(NCS)2. Phys. Rev. B 1988, 38, 938–941. [Google Scholar]
  70. Kajita, K.; Nishio, Y.; Takahashi, T.; Sasaki, W.; Kato, R.; Kobayashi, H.; Kobayashi, A.; Iye, Y. A new type oscillatory phenomenon in the magnetotransport of θ-(BEDT-TTF)2I3. Solid State Commun. 1989, 70, 1189–1193. [Google Scholar] [CrossRef]
  71. Yamaji, K. On the angle dependence of the magnetoresistance in quasi-two-dimensional organic superconductors. J. Phys. Soc. Jpn. 1989, 58, 1520–1523. [Google Scholar] [CrossRef]
  72. Kartsovnik, M.V.; Kononovich, P.A.; Laukhin, V.N.; Schegolev, I.F. Anisotropy of magnetoresistance and the Shubnikov-de Haas oscillations in the organic metal beta-(ET)2IBr2. Pis’ma Zh. Eksp. Teor. Fiz. 1988, 48, 498–501. [Google Scholar]
  73. Hennig, I.; Bender, K.; Schweitzer, D.; Dietz, K.; Endres, H.; Keller, H.J.; Gleitz, A.; Helberg, H.W. Alpha- and beta-(BEDT-TTF)2+I3− two dimensional organic metals. Mol. Cryst. Liq. Cryst. 1985, 11, 337–441. [Google Scholar]
  74. Kinoshita, N.; Tokumoto, M.; Anzai, H.; Saito, G. Anisotropy in ESR 9 Factors and Linewidths for α-and β-(BEDT-TTF)2I3. J. Phys. Soc. Jpn. 1985, 54, 4498–4501. [Google Scholar] [CrossRef]
  75. Sugano, T.; Saito, G.; Kinoshita, M. Spin relaxation and diffusion in quasi-two-dimensional organic metals: The bis(ethylenedithiolo)tetrathiafulvalene compounds β-(BEDT-TTF)2X (X = I3 and IBr2). Phys. Rev. B 1987, 35, 6554–6559. [Google Scholar] [CrossRef]
  76. Sugano, T.; Saito, G.; Kinoshita, M. Conduction-Electron-Spin resonance in organic conductors: α and β phases of di[bis(ethylenedithiolo)tetrathiafulvalene]triiodide [(BEDT-TTF)2I3]. Phys. Rev. B 1986, 34, 117–125. [Google Scholar]
  77. Kajita, K.; Ojiro, T.; Fujii, H.; Nishio, Y.; Kobayashi, H.; Kobayashi, A.; Kato, R. Magnetotransport phenomena of α-Type (BEDT-TTF)2I3 under high pressures. J. Phys. Soc. Jpn. 1992, 61, 23–26. [Google Scholar] [CrossRef]
  78. Katayama, S.; Kobayashi, A.; Suzumura, Y. Pressure-Induced zero-gap semiconducting state in organic conductor α-(BEDT-TTF)2I3 salt. J. Phys. Soc. Jpn. 2006, 75, 1–6. [Google Scholar]
  79. Takahashi, T.; Nogami, Y.; Yakushi, K. Charge ordering in organic conductors. J. Phys. Soc. Jpn. 2006, 75. [Google Scholar]
  80. Takano, Y.; Hiraki, K.; Takada, Y.; Yamamoto, H.M.; Takahashi, T. Local spin susceptibility characteristic of zero-gap state of α-(BEDT-TTF)2I3 under pressure. J. Phys. Soc. Jpn. 2010, 79, 1–7. [Google Scholar]
  81. Montambaux, G.; Piéchon, F.; Fuchs, J.-N.; Goerbig, M.O. Merging of Dirac points in a two-dimensional crystal. Phys. Rev. B 2009, 80, 1–4. [Google Scholar]
  82. Kino, H. Theoretical electronic band structure of alpha-(BEDT-TTF)2I3. Private Communication, National Research Institute for Metals: Tsukuba, Japan, 2012. [Google Scholar]
  83. Nishikawa, H.; Sekiya, H.; Fujiwara, A.; Kodama, T.; Ikemoto, I.; Kikuchi, K.; Yamada, J.; Oshio, H.; Kobayashi, K.; Yasuzuka, S.; Murata, K. Molecular conductor based on reduced π-system donor: Insulating state of (MeDH-TTP)2AsF6. Chem. Lett. 2006, 35, 912–913. [Google Scholar]
  84. Yasuzuka, S.; Kobayashi, K.; Nishiwaka, H.; Yoshino, H.; Murata, K. Quantum criticality in reduced pi-donor system (MeDH-TTP)2AsF6. J. Phys. Soc. Jpn. 2006, 75, 1–4. [Google Scholar]
  85. Zambounis, J.S.; Pfeiffer, J.; Papavassiliou, G.C.; Lagouvardos, D.J.; Terzis, A.; Raptoupoulou, C.P.; Delhaes, P.; Ducasse, L.; Fortune, N.A.; Murata, K. Structural and physical properties of τ-(P-(S,S)-DMEDT-TTF)2(AuBr2)1(AuBr2)0.75. Solid State Commun. 1995, 95, 211–215. [Google Scholar] [CrossRef]
  86. Papavassiliou, G.C.; Lagouvardos, D.J.; Zambounis, J.S.; Terzis, A.; Raptopoulou, C.R.; Murata, K.; Shirakawa, N.; Ducasse, L.; Delhaes, P. Structural and physical properties of τ-(EDO-S,S-DMEDT-TTF)2(AuBr2)1(AuBr2)y. Mol. Cryst. Liq. Cryst. 1996, 285, 83–88. [Google Scholar] [CrossRef]
  87. Murata, K.; Yoshino, H.; Tsubaki, Y.; Papavassiliou, G.C. Hysteretic magnetic state in the organic τ-phase conductors. Synthet. Metal. 1998, 94, 69–72. [Google Scholar] [CrossRef]
  88. Konoike, T.; Iwashita, K.; Nakano, I.; Yoshino, H.; Sasaki, T.; Takahashi, T.; Nogami, Y.; Brooks, J.S.; Graf, D.; Mielke, C.H.; Papavassiliou, G.C.; Murata, K. Shubnikov-de Haas oscillations and low temperature electric structure in τ-phase conductors. Synthet. Metal. 2003, 615-616, 135–136. [Google Scholar]
  89. Konoike, T.; Iwashita, K.; Yoshino, H.; Murata, K.; Sasaki, T.; Papavassiliou, G.C. Shubnikov de Haas oscillations in a 2D organic conductor tau-(EDO-S,S-DMEDT-TTF)2(AuBr2)1+y (y ~ 0.75). Phys. Rev. B 2002, 66, 1–5. [Google Scholar]
  90. Storr, K.; Balicas, L.; Brooks, J.S.; Graf, D.; Papavassiliou, G.C. Magnetic-Field-Dependent interplay between incoherent and Fermi liquid transport mechanisms in low-dimensional τ-phase organic conductors. Phys. Rev. B 2001, 64, 1–9. [Google Scholar]
  91. Murata, K.; Yoshino, H.; Nakanishi, T.; Konoike, T.; Brooks, J.; Graf, D.; Mielke, C.; Papavassiliou, G.C. A new quantum hall effect in the two-dimensional organic conductor, tau-(EDO-S,S-DMEDT-TTF)2(AuBr2)1+y. Curr. Appl. Phys. 2004, 4, 488–490. [Google Scholar] [CrossRef]
  92. Brooks, J.S.; Graf, D.; Choi, E.S.; Balicas, L.; Storr, K.; Mielk, C.H.; Papavassiliou, G.C. High magnetic field-induced insulating phase in an organic conductor. 2002, arXiv:cond-mat/0209592v1. Available online: http://arxiv.org/abs/physics/0402096 (accessed on 9 October 2012).
  93. Yoshino, H.; Aizawa, H.; Kuroki, K.; Anyfantis, G.C.; Papavassiliou, G.C.; Murata, K. Thermoelectric figure of merit of τ-type conductors of several donors. Physica B 2010, 405, S79–S81. [Google Scholar]
  94. Kikuchi, K.; Isono, T.; Kojima, M.; Yoshimoto, H.; Kodama, T.; Fujita, W.; Yokogawa, K.; Yoshino, H.; Murata, K.; Kaihatsu, T.; Akutsu, H.; Yamada, J. Uniaxial strain orientation dependence of superconducting transition temperature (Tc) and critical superconducting pressure (Pc) in β-(BDA-TTP)2I3. J. Am. Chem. Soc. 2011, 133, 19590–19593. [Google Scholar]
  95. Nuruzzaman, M.; Yokogawa, K.; Yoshino, H.; Yoshimoto, H.; Kikuchi, K.; Kaihatsu, T.; Yamada, J.; Murata, K. Uniaxial-Strain-Orientation dependence of the competition between Mott and charge ordered phases and their corresponding superconductivity of β-(BDA-TTP)2I3. J. Phys. Soc. Jpn. 2012, in press. [Google Scholar]

Share and Cite

MDPI and ACS Style

Murata, K.; Yokogawa, K.; Arumugam, S.; Yoshino, H. Pressure Effect on Organic Conductors. Crystals 2012, 2, 1460-1482. https://doi.org/10.3390/cryst2041460

AMA Style

Murata K, Yokogawa K, Arumugam S, Yoshino H. Pressure Effect on Organic Conductors. Crystals. 2012; 2(4):1460-1482. https://doi.org/10.3390/cryst2041460

Chicago/Turabian Style

Murata, Keizo, Keiichi Yokogawa, Sonachalam Arumugam, and Harukazu Yoshino. 2012. "Pressure Effect on Organic Conductors" Crystals 2, no. 4: 1460-1482. https://doi.org/10.3390/cryst2041460

APA Style

Murata, K., Yokogawa, K., Arumugam, S., & Yoshino, H. (2012). Pressure Effect on Organic Conductors. Crystals, 2(4), 1460-1482. https://doi.org/10.3390/cryst2041460

Article Metrics

Back to TopTop