Hydrologic Evaluation of Multi-Source Satellite Precipitation Products for the Upper Huaihe River Basin, China
Abstract
1. Introduction
2. Study Area and Data
2.1. Study Area
2.2. Data
2.2.1. Precipitation
2.2.2. Streamflow and Soil Moisture
3. Methodology
3.1. VIC Hydrological Model and Calibration Methods
3.2. Evaluation Metrics
4. Results
4.1. Evaluation and Comparison of Different Precipitation Products
4.1.1. Spatiotemporal Characteristics
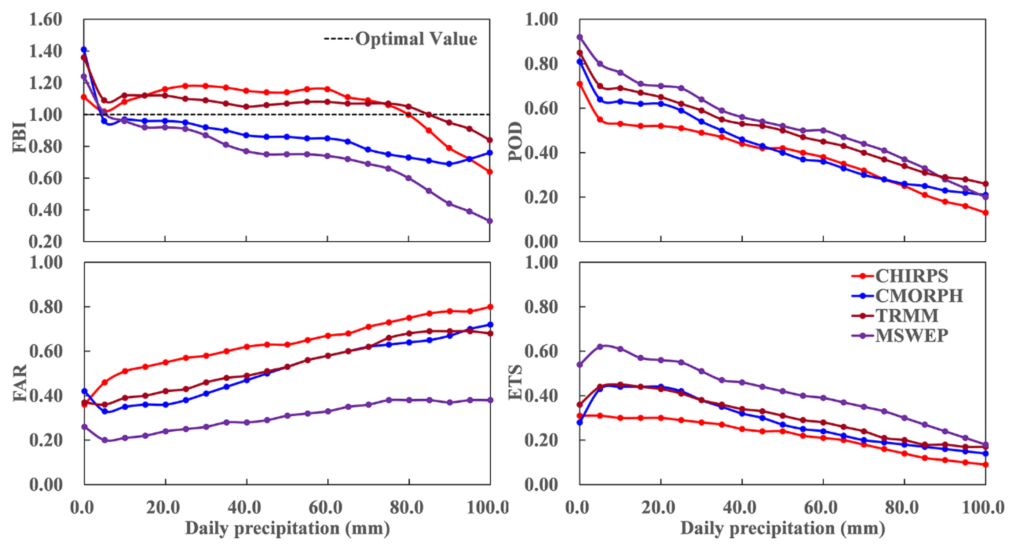
4.1.2. Results for Different Rainfall Intensity
4.2. Evaluation of the Streamflow Simulation under Two Parameterization Scenarios
4.2.1. Scenario I: Model Parameters Calibrated by Rain Gauge Observations
4.2.2. Scenario II: Model Parameters Separately Recalibrated Using the QPEs
4.3. Evaluation of the Soil Moisture Simulations under Two Parameterization Scenarios
5. Discussion
6. Conclusions
- (1)
- All four QPEs are subject to significant errors, although the spatial patterns of average annual precipitation are generally consistent with the rain gauge observations. Specifically, CHIRPS and TMPA generally overestimate precipitation; however, CMORPH and MSWEP generally underestimate precipitation. Overall, MSWEP performs best, TMPA takes the second place, and CHIRPS exhibits a relatively poor performance. The contribution of the random error generally larger than the systematic error of the four QPEs and the spatial distributions of the two error components are closely related to the topography. Simultaneously, all QPEs are prone to underestimate the precipitation in regions daily precipitation with larger temporal variability (higher standard deviation) and the precipitation detection capabilities of QPEs decrease with increasing precipitation magnitude.
- (2)
- Under Scenario I (model parameters calibrated by rain gauge observations), similar to the results of the statistical evaluation, CHIRPS and TMPA forced simulations tend to overestimate streamflow, while serious underestimations are observed in the streamflow simulations of both CMORPH and MSWEP, which indicates that the RE of simulated streamflow is greatly affected by the RE of the forcing precipitation products. MSWEP outperforms the other three QPEs (NSCE lower than 0.70) with the highest NSCE (NSCE = 0.87 and 0.74 for the calibration and validation period, respectively), implying that the MSWEP products could better reveal the precipitation spatial pattern.
- (3)
- Under scenario II (model parameters separately recalibrated using the QPEs), all simulations are improved compared with Scenario I. Similarly, MSWEP exhibits the best performance, followed by TMPA. CHIRPS and CMORPH forced simulation performed poorly. The influence of the RE of the QPEs on simulated streamflow may be mitigated by recalibrating the parameters with the corresponding QPEs. Furthermore, all QPE forced simulations underestimate the observed streamflow with exceedance probabilities less than 5.0% whilst they overestimate the observed streamflow with exceedance probabilities of more than 30.0%. HWCC performs best with exceedance probabilities that are less than 5.0%, followed by MSWEP, while MSWEP performs best with exceedance probabilities of more than 20.0%.
- (4)
- Under the two scenarios, the difference of RE of soil moisture simulated by different precipitation products is insignificant, implying that the existing systematic error of the VIC model is probably the main cause of the RE of simulated soil moisture. However, with increasing accuracy of the forcing precipitation products, the dynamic changes of the simulated soil moisture become more consistent with the measured results (lower ubRMSE and higher CC), especially for the results at a depth of 0–10 cm. Generally, the soil moisture simulated by different precipitation products at a depth of 0–40 cm is slightly better than the results for the depth of 0–10 cm. Unlike the simulated discharge, the accuracy of the simulated soil moisture under Scenario II is even worse than the results under Scenario I, which indicates that the model parameters are the main factors influencing the accuracy of the simulated soil moisture, in addition to the forcing data.
Author Contributions
Funding
Conflicts of Interest
References
- Beck, H.E.; Vergopolan, N.; Pan, M.; Levizzani, V.; van Dijk, A.I.J.M.; Weedon, G.P.; Brocca, L.; Pappenberger, F.; Huffman, G.J.; Wood, E.F. Global-scale evaluation of 22 precipitation datasets using gauge observations and hydrological modeling. Hydrol. Earth Syst. Sci. 2017, 21, 6201–6217. [Google Scholar] [CrossRef]
- Liu, X.; Yang, T.; Hsu, K.; Liu, C.; Sorooshian, S. Evaluating the streamflow simulation capability of persiann-cdr daily rainfall products in two river basins on the tibetan plateau. Hydrol. Earth Syst. Sci. 2017, 21, 169–181. [Google Scholar] [CrossRef]
- Sorooshian, S.; AghaKouchak, A.; Arkin, P.; Eylander, J.; Foufoula-Georgiou, E.; Harmon, R.; Hendrickx, J.M.H.; Imam, B.; Kuligowski, R.; Skahill, B.; et al. Advanced concepts on remote sensing of precipitation at multiple scales. Bull. Am. Meteorol. Soc. 2011, 92, 1353–1357. [Google Scholar] [CrossRef]
- Prakash, S.; Mitra, A.K.; AghaKouchak, A.; Pai, D.S. Error characterization of trmm multisatellite precipitation analysis (tmpa-3b42) products over india for different seasons. J. Hydrol. 2015, 529, 1302–1312. [Google Scholar] [CrossRef]
- Xue, X.; Hong, Y.; Limaye, A.S.; Gourley, J.J.; Huffman, G.J.; Khan, S.I.; Dorji, C.; Chen, S. Statistical and hydrological evaluation of trmm-based multi-satellite precipitation analysis over the wangchu basin of bhutan: Are the latest satellite precipitation products 3b42v7 ready for use in ungauged basins? J. Hydrol. 2013, 499, 91–99. [Google Scholar] [CrossRef]
- Duethmann, D.; Zimmer, J.; Gafurov, A.; Guentner, A.; Kriegel, D.; Merz, B.; Vorogushyn, S. Evaluation of areal precipitation estimates based on downscaled reanalysis and station data by hydrological modelling. Hydrol. Earth Syst. Sci. 2013, 17, 2415–2434. [Google Scholar] [CrossRef]
- Zhu, Q.; Xuan, W.; Liu, L.; Xu, Y.-P. Evaluation and hydrological application of precipitation estimates derived from persiann-cdr, trmm 3b42v7, and ncep-cfsr over humid regions in china. Hydrol. Process. 2016, 30, 3061–3083. [Google Scholar] [CrossRef]
- Funk, C.; Peterson, P.; Landsfeld, M.; Pedreros, D.; Verdin, J.; Shukla, S.; Husak, G.; Rowland, J.; Harrison, L.; Hoell, A.; et al. The climate hazards infrared precipitation with stations—A new environmental record for monitoring extremes. Sci. Data 2015, 2, 150066. [Google Scholar] [CrossRef] [PubMed]
- Joyce, R.J.; Janowiak, J.E.; Arkin, P.A.; Xie, P.P. Cmorph: A method that produces global precipitation estimates from passive microwave and infrared data at high spatial and temporal resolution. J. Hydrometeorol. 2004, 5, 487–503. [Google Scholar] [CrossRef]
- Huffman, G.J.; Adler, R.F.; Bolvin, D.T.; Gu, G.; Nelkin, E.J.; Bowman, K.P.; Hong, Y.; Stocker, E.F.; Wolff, D.B. The trmm multisatellite precipitation analysis (tmpa): Quasi-global, multiyear, combined-sensor precipitation estimates at fine scales. J. Hydrometeorol. 2007, 8, 38–55. [Google Scholar] [CrossRef]
- Ushio, T.; Sasashige, K.; Kubota, T.; Shige, S.; Okamoto, K.; Aonashi, K.; Inoue, T.; Takahashi, N.; Iguchi, T.; Kachi, M.; et al. A kalman filter approach to the global satellite mapping of precipitation (gsmap) from combined passive microwave and infrared radiometric data. J. Meteorol. Soc. Jpn. 2009, 87A, 137–151. [Google Scholar] [CrossRef]
- Huffman, G.J.; Bolvin, D.T.; Braithwaite, D.; Hsu, K.; Joyce, R.; Kidd, C.; Sorooshian, S.; Xie, P.; Yoo, S.H. Developing the integrated multi-satellite retrievals for gpm (imerg). In Proceedings of the EGU General Assembly Conference, Vienna, Austria, 22–27 April 2012. [Google Scholar]
- Beria, H.; Nanda, T.; Bisht, D.S.; Chatterjee, C. Does the gpm mission improve the systematic error component in satellite rainfall estimates over trmm? An evaluation at a pan-india scale. Hydrol. Earth Syst. Sci. 2017, 21, 6117–6134. [Google Scholar] [CrossRef]
- Wang, Z.; Zhong, R.; Lai, C.; Chen, J. Evaluation of the gpm imerg satellite-based precipitation products and the hydrological utility. Atmosp. Res. 2017, 196, 151–163. [Google Scholar] [CrossRef]
- Prakash, S.; Mitra, A.K.; Aghakouchak, A.; Liu, Z.; Norouzi, H.; Pai, D.S. A preliminary assessment of gpm-based multi-satellite precipitation estimates over a monsoon dominated region. J. Hydrol. 2016, 556, 865–876. [Google Scholar] [CrossRef]
- Zhao, H.; Yang, B.; Yang, S.; Huang, Y.; Dong, G.; Bai, J.; Wang, Z. Systematical estimation of gpm-based global satellite mapping of precipitation products over china. Atmosp. Res. 2018, 201, 206–217. [Google Scholar] [CrossRef]
- Zubieta, R.; Getirana, A.; Espinoza, J.C.; Lavado, W. Impacts of satellite-based precipitation datasets on rainfall-runoff modeling of the western amazon basin of peru and ecuador. J. Hydrol. 2015, 528, 599–612. [Google Scholar] [CrossRef]
- Zulkafli, Z.; Buytaert, W.; Onof, C.; Manz, B.; Tarnavsky, E.; Lavado, W.; Guyot, J.-L. A comparative performance analysis of trmm 3b42 (tmpa) versions 6 and 7 for hydrological applications over andean-amazon river basins. J. Hydrometeorol. 2014, 15, 581–592. [Google Scholar] [CrossRef]
- Sun, R.; Yuan, H.; Liu, X.; Jiang, X. Evaluation of the latest satellite-gauge precipitation products and their hydrologic applications over the huaihe river basin. J. Hydrol. 2016, 536, 302–319. [Google Scholar] [CrossRef]
- Gao, Z.; Long, D.; Tang, G.; Zeng, C.; Huang, J.; Hong, Y. Assessing the potential of satellite-based precipitation estimates for flood frequency analysis in ungauged or poorly gauged tributaries of China’s yangtze river basin. J. Hydrol. 2017, 550, 478–496. [Google Scholar] [CrossRef]
- Sahoo, A.K.; Sheffield, J.; Pan, M.; Wood, E.F. Evaluation of the tropical rainfall measuring mission multi-satellite precipitation analysis (tmpa) for assessment of large-scale meteorological drought. Remote Sens. Environ. 2015, 159, 181–193. [Google Scholar] [CrossRef]
- Bayissa, Y.; Tadesse, T.; Demisse, G.; Shiferaw, A. Evaluation of satellite-based rainfall estimates and application to monitor meteorological drought for the upper blue nile basin, ethiopia. Remote Sens. 2017, 9, 669. [Google Scholar] [CrossRef]
- Tote, C.; Patricio, D.; Boogaard, H.; van der Wijngaart, R.; Tarnavsky, E.; Funk, C. Evaluation of satellite rainfall estimates for drought and flood monitoring in mozambique. Remote Sens. 2015, 7, 1758–1776. [Google Scholar] [CrossRef]
- Yang, N.; Zhang, K.; Hong, Y.; Zhao, Q.; Huang, Q.; Xu, Y.; Xue, X.; Chen, S. Evaluation of the trmm multisatellite precipitation analysis and its applicability in supporting reservoir operation and water resources management in hanjiang basin, China. J. Hydrol. 2017, 549, 313–325. [Google Scholar] [CrossRef]
- Maggioni, V.; Meyers, P.C.; Robinson, M.D. A review of merged high-resolution satellite precipitation product accuracy during the tropical rainfall measuring mission (trmm) era. J. Hydrometeorol. 2016, 17, 1101–1117. [Google Scholar] [CrossRef]
- Zhao, H.; Yang, S.; You, S.; Huang, Y.; Wang, Q.; Zhou, Q. Comprehensive evaluation of two successive v3 and v4 imerg final run precipitation products over mainland China. Remote Sens. 2018, 10, 34. [Google Scholar] [CrossRef]
- He, Y.; Zhang, Y.; Kuligowski, R.; Cifelli, R.; Kitzmiller, D. Incorporating satellite precipitation estimates into a radar-gauge multi-sensor precipitation estimation algorithm. Remote Sens. 2018, 10, 106. [Google Scholar] [CrossRef]
- Beck, H.E.; van Dijk, A.I.J.M.; Levizzani, V.; Schellekens, J.; Miralles, D.G.; Martens, B.; de Roo, A. Mswep: 3-hourly 0.25 degrees global gridded precipitation (1979–2015) by merging gauge, satellite, and reanalysis data. Hydrol. Earth Syst. Sci. 2017, 21, 589–615. [Google Scholar] [CrossRef]
- Boudevillain, B.; Delrieu, G.; Wijbrans, A.; Confoland, A. A high-resolution rainfall re-analysis based on radar-raingauge merging in the cevennes-vivarais region, France. J. Hydrol. 2016, 541, 14–23. [Google Scholar] [CrossRef]
- Ciabatta, L.; Brocca, L.; Massari, C.; Moramarco, T.; Gabellani, S.; Puca, S.; Wagner, W. Rainfall-runoff modelling by using sm2rain-derived and state-of-the-art satellite rainfall products over italy. Int. J. Appl. Earth Obs. Geoinform. 2016, 48, 163–173. [Google Scholar] [CrossRef]
- Massari, C.; Camici, S.; Ciabatta, L.; Brocca, L. Exploiting satellite-based surface soil moisture for flood forecasting in the mediterranean area: State update versus rainfall correction. Remote Sens. 2018, 10, 292. [Google Scholar] [CrossRef]
- Tong, K.; Su, F.; Yang, D.; Hao, Z. Evaluation of satellite precipitation retrievals and their potential utilities in hydrologic modeling over the tibetan plateau. J. Hydrol. 2014, 519, 423–437. [Google Scholar] [CrossRef]
- Wu, Z.Y.; Lu, G.H.; Wen, L.; Lin, C.A. Reconstructing and analyzing china’s fifty-nine year (1951–2009) drought history using hydrological model simulation. Hydrol. Earth Syst. Sci. 2011, 15, 2881–2894. [Google Scholar] [CrossRef]
- Wu, J.; Lu, G.; Wu, Z. Flood forecasts based on multi-model ensemble precipitation forecasting using a coupled atmospheric-hydrological modeling system. Nat. Hazards 2014, 74, 325–340. [Google Scholar] [CrossRef]
- Liang, X.; Wood, E.F.; Lettenmaier, D.P. Surface soil moisture parameterization of the vic-2l model: Evaluation and modification. Glob. Planet. Chang. 1996, 13, 195–206. [Google Scholar] [CrossRef]
- Hansen, M.C.; Defries, R.S.; Townshend, J.R.G.; Sohlberg, R. Global land cover classification at 1km spatial resolution using a classification tree approach. Int. J. Remote Sens. 2000, 21, 1331–1364. [Google Scholar] [CrossRef]
- Reynolds, C.A.; Jackson, T.J.; Rawls, W.J. Estimating soil water-holding capacities by linking the food and agriculture organization soil map of the world with global pedon databases and continuous pedotransfer functions. Water Resour. Res. 2000, 36, 3653–3662. [Google Scholar] [CrossRef]
- Rosenbrock, H.H. An automatic method for finding the greatest or least value of a function. Comput. J. 1960, 3, 175–184. [Google Scholar] [CrossRef]
- Sun, Y.; Huang, S.; Ma, J.; Li, J.; Li, X.; Wang, H.; Chen, S.; Zang, W. Preliminary evaluation of the smap radiometer soil moisture product over china using in situ data. Remote Sens. 2017, 9, 292. [Google Scholar] [CrossRef]
- Bai, L.; Shi, C.; Li, L.; Yang, Y.; Wu, J. Accuracy of chirps satellite-rainfall products over mainland China. Remote Sens. 2018, 10, 362. [Google Scholar] [CrossRef]
- Duan, Z.; Liu, J.; Tuo, Y.; Chiogna, G.; Disse, M. Evaluation of eight high spatial resolution gridded precipitation products in adige basin (Italy) at multiple temporal and spatial scales. Sci. Total Environ. 2016, 573, 1536–1553. [Google Scholar] [CrossRef] [PubMed]
- Alijanian, M.; Rakhshandehroo, G.R.; Mishra, A.K.; Dehghani, M. Evaluation of satellite rainfall climatology using cmorph, persiann-cdr, persiann, trmm, mswep over Iran. Int. J. Climatol. 2017, 37, 4896–4914. [Google Scholar] [CrossRef]
- Serrat-Capdevila, A.; Merino, M.; Valdes, J.B.; Durcik, M. Evaluation of the performance of three satellite precipitation products over Africa. Remote Sens. 2016, 8, 836. [Google Scholar] [CrossRef]
- Yuan, F.; Zhang, L.; Win, K.W.W.; Ren, L.; Zhao, C.; Zhu, Y.; Jiang, S.; Liu, Y. Assessment of gpm and trmm multi-satellite precipitation products in streamflow simulations in a data-sparse mountainous watershed in Myanmar. Remote Sens. 2017, 9, 302. [Google Scholar] [CrossRef]
- Zhang, L.; Su, F.; Yang, D.; Hao, Z.; Tong, K. Discharge regime and simulation for the upstream of major rivers over tibetan plateau. J. Geophys. Res. Atmosp 2013, 118, 8500–8518. [Google Scholar] [CrossRef]
- Mo, K.C.; Lettenmaier, D.P. Objective drought classification using multiple land surface models. J. Hydrometeorol. 2014, 15, 990–1010. [Google Scholar] [CrossRef]
- Tramblay, Y.; Bouvier, C.; Ayral, P.A.; Marchandise, A. Impact of rainfall spatial distribution on rainfall-runoff modelling efficiency and initial soil moisture conditions estimation. Nat. Hazards Earth Syst. Sci. 2011, 11, 157–170. [Google Scholar] [CrossRef]










| Full Name and Details | Short Name | Data Sources | Spatiotemporal Resolution Used in This Study |
|---|---|---|---|
| Climate Hazards Group Infrared Precipitation with Station data Version2.0 (CHIRPS V2.0) | CHIRPS | CHPclim, thermal infrared data, the TMPA 3B42 V7, rain gauge stations data | Daily, 0.25° |
| NOAA’s Climate Prediction Center (CPC) MORPHing technique (CMORPH) bias-corrected product (CMORPH CRT V1.0) | CMORPH | TMI, SSM/I, AMSR-E, AMSU-B, Meteosat, GOES, MTSAT and CPC | 3 hourly, 0.25° |
| NASA’s Tropical Rainfall Measuring Mission (TRMM) Multi-satellite Precipitation Analysis (TMPA) 3B42 Version 7 | TMPA | TMI, TRMM Combined Instrument, SSM/I, SSMIS, AMSR-E, MHS, AMSU-B, GEO IR and GPCC | 3 hourly, 0.25° |
| Multi-Source Weighted-Ensemble Precipitation Version 2.1(MSWEP) | MSWEP | CPC, GPCC, CMORPH, GSMaP-MVK, TMPA, ERA-Interim, JRA-55 | Daily, 0.25° |
| daily precipitation interpolated from 57 rain gauges provided by Hydrology Bureau of the Huaihe Water Conservancy Commission | HWCC | Rain gauges | Daily |
| Evaluation Indexes | Formulas | Comments | Perfect Value |
|---|---|---|---|
| RE | Si and Oi are the evaluated and observed values; and are the mean values of Si and Oi; n is the number of samples. | 0 | |
| RMSE | 0 | ||
| CC | 1 | ||
| NSCE | 1 | ||
| ubRMSE | 0 | ||
| MSEsys | Si* is defined using a linear regression error model (Si* = a × Oi + b) with a as the slope and b as the intercept. | 0 | |
| MSEran | 0 | ||
| Pm | Pm is the frequency of discharge of no less than Om; m is the number of discharge not less than Om. | ||
| FBI | NA, number of observed and detected rainfall events; NB, number of detected but not observed rainfall events; NC, number of observed but not detected rainfall events; ND, number of rainfall events that were not observed and not detected. | 1 | |
| POD | 1 | ||
| FAR | 0 | ||
| ETS | 1 |
| Criteria | CHIRPS | CMORPH | TMPA | MSWEP | |
|---|---|---|---|---|---|
| Whole period | RE (%) | 7.1 | −3.3 | 10.4 | −5.4 |
| RMSE (mm/day) | 8.3 | 6.5 | 6.6 | 4.5 | |
| CC | 0.63 | 0.76 | 0.77 | 0.88 | |
| Spring (MAM) | RE (%) | 1.6 | −35.7 | −0.2 | −24.6 |
| RMSE (mm/day) | 3.5 | 3.0 | 3.4 | 1.3 | |
| CC | 0.45 | 0.50 | 0.51 | 0.93 | |
| Summer (JJA) | RE (%) | 15.2 | 2.8 | 12.1 | −4.8 |
| RMSE (mm/day) | 7.4 | 4.7 | 4.7 | 3.0 | |
| CC | 0.54 | 0.80 | 0.80 | 0.91 | |
| Autumn (SON) | RE (%) | 6.0 | 1.7 | 10.7 | 1.2 |
| RMSE (mm/day) | 12.9 | 10.8 | 10.7 | 7.9 | |
| CC | 0.66 | 0.75 | 0.77 | 0.87 | |
| Winter (DJF) | RE (%) | 5.4 | −7.5 | 15.6 | −16.5 |
| RMSE (mm/day) | 6.4 | 4.5 | 4.9 | 2.7 | |
| CC | 0.58 | 0.68 | 0.73 | 0.89 |
| Precipitation Products | Scenario I | Scenario II | ||||||
|---|---|---|---|---|---|---|---|---|
| Calibration Period | Validation Period | Calibration Period | Validation Period | |||||
| RE (%) | NSCE | RE (%) | NSCE | RE (%) | NSCE | RE (%) | NSCE | |
| HWCC | 0.1 | 0.93 | 4.7 | 0.90 | ||||
| CHIRPS | 23.2 | 0.60 | 5.8 | 0.56 | 19.0 | 0.72 | −0.1 | 0.55 |
| CMORPH | 0.4 | 0.69 | −21.3 | 0.53 | 9.2 | 0.77 | −10.5 | 0.52 |
| TMPA | 30.8 | 0.66 | 19.1 | 0.69 | 18.1 | 0.79 | 1.1 | 0.73 |
| MSWEP | −12.0 | 0.87 | −19.4 | 0.74 | −4.1 | 0.89 | −11.6 | 0.78 |
| Precipitation Products | Scenario I | Scenario II | ||
|---|---|---|---|---|
| RE (%) | NSCE | RE (%) | NSCE | |
| HWCC | −14.2 | 0.94 | ||
| CHIRPS | −3.3 | 0.60 | −10.1 | 0.65 |
| CMORPH | −17.3 | 0.58 | −8.1 | 0.65 |
| TMPA | 10.0 | 0.68 | −8.4 | 0.76 |
| MSWEP | −21.2 | 0.81 | −13.4 | 0.84 |
| Parameters | Unit | Scenario I | Scenario II | |||
|---|---|---|---|---|---|---|
| CHIRPS | CMORPH | TMPA | MSWEP | |||
| B | 0.1 | 0.06 | 0.18 | 0.14 | 0.1 | |
| Ds | 0.998 | 0.092 | 0.068 | 0.035 | 0.530 | |
| Dsmax | mm | 0.5 | 10.0 | 9.0 | 13.0 | 0.5 |
| Ws | 0.99 | 0.99 | 0.70 | 0.99 | 0.72 | |
| d1 | m | 0.1 | 0.1 | 0.1 | 0.1 | 0.1 |
| d2 | m | 0.50 | 0.60 | 0.58 | 1.2 | 0.42 |
| d3 | m | 0.11 | 0.37 | 0.15 | 0.81 | 0.11 |
© 2018 by the authors. Licensee MDPI, Basel, Switzerland. This article is an open access article distributed under the terms and conditions of the Creative Commons Attribution (CC BY) license (http://creativecommons.org/licenses/by/4.0/).
Share and Cite
Wu, Z.; Xu, Z.; Wang, F.; He, H.; Zhou, J.; Wu, X.; Liu, Z. Hydrologic Evaluation of Multi-Source Satellite Precipitation Products for the Upper Huaihe River Basin, China. Remote Sens. 2018, 10, 840. https://doi.org/10.3390/rs10060840
Wu Z, Xu Z, Wang F, He H, Zhou J, Wu X, Liu Z. Hydrologic Evaluation of Multi-Source Satellite Precipitation Products for the Upper Huaihe River Basin, China. Remote Sensing. 2018; 10(6):840. https://doi.org/10.3390/rs10060840
Chicago/Turabian StyleWu, Zhiyong, Zhengguang Xu, Fang Wang, Hai He, Jianhong Zhou, Xiaotao Wu, and Zhenchen Liu. 2018. "Hydrologic Evaluation of Multi-Source Satellite Precipitation Products for the Upper Huaihe River Basin, China" Remote Sensing 10, no. 6: 840. https://doi.org/10.3390/rs10060840
APA StyleWu, Z., Xu, Z., Wang, F., He, H., Zhou, J., Wu, X., & Liu, Z. (2018). Hydrologic Evaluation of Multi-Source Satellite Precipitation Products for the Upper Huaihe River Basin, China. Remote Sensing, 10(6), 840. https://doi.org/10.3390/rs10060840

