Experimental and Theoretical Study on the Cooling Performance of a CO2 Mobile Air Conditioning System
Abstract
:1. Introduction
2. Experimental Setup
3. Experimental Results
4. Theoretical Analysis
4.1. Thermodynamic Calculation
4.2. Results Discussion
4.3. Further Discussion
5. Conclusions
- (1)
- Increasing the outdoor temperature results in a decline in the cooling capacity and COP for both systems. When the outdoor temperature increases from 27 °C to 45 °C, the cooling capacity of CO2 and R134a are decreased by 21% and 13%, respectively, and the COP of CO2 and R134a are reduced by 38% and 49%, respectively.
- (2)
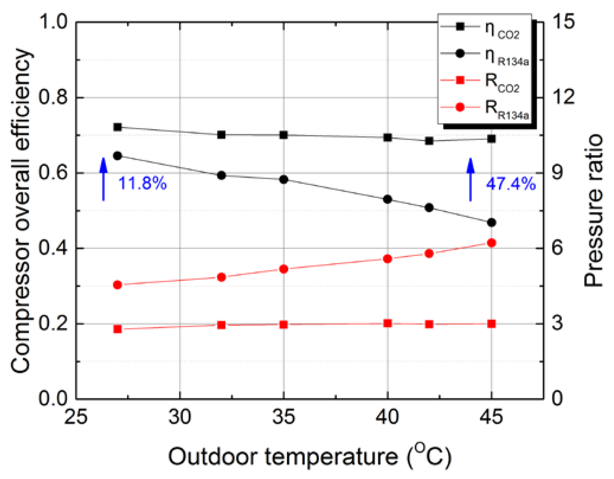
- By comparison, the CO2 MAC system is able to provide a comparable cooling capacity with the R134a system regardless of outdoor temperature. The COP of CO2 MAC system is 10–26% lower than that of R134a system. The COP reduction narrows at high outdoor temperatures, which could be explained by the change of compressor efficiency and evaporator temperature. The evaporation temperature of CO2 is 0.3 °C–2.5 °C higher than that of R134a, and the compressor overall efficiency of CO2 is 11.8–47.4% higher than that of a R134a compressor.
- (3)
- Theoretical calculations demonstrate that a 5 °C evaporation temperature increase could improve the COP of CO2 by 11–18%, and decreasing the gas cooler approach temperature from 9.3 °C to 0 °C will enhance the COP by 23–59%. When the compressor overall efficiency increases from 0.60 to 0.80, the COP of CO2 is improved by 33% regardless of the outdoor temperature conditions. These impacts indicate that the COP of the CO2 system could be significantly enhanced by component optimization and has the potential to surpass that of R134a systems.
Author Contributions
Funding
Conflicts of Interest
Nomenclature
| Roman | |
| Cp | Specific heat [] |
| EXV | Electrical expansion valve |
| h | Enthalpy |
| IHX | Internal heat exchanger |
| m | Mass flow rate [] |
| p | Pressure [MPa] |
| Q | Cooling capacity [kW] |
| R | Pressure ratio |
| T | Temperature [°C] |
| T′ | Fitting temperature |
| TXV | Thermal expansion valve |
| v | Specific volume [] |
| V | Displacement [] |
| W | Work [kW] |
| ΔT | Temperature difference [°C] |
| Greek letters | |
| Efficiency | |
| Effectiveness | |
| Subscripts | |
| 1 | Suction point |
| 2 | Discharge point |
| 2s | Isentropic point |
| a | Air |
| ap | Approach |
| c | Condenser |
| cond | Condensing |
| comp | Compressor |
| diff | Difference |
| e | Evaporation |
| eva | Evaporator |
| exp | Expectation |
| g | Gas cooler |
| in | Inlet |
| is | Isentropic |
| max | Maximum |
| out | Outlet |
| op | optimum |
| r | Refrigerant |
| vol | Volumetric |
| Acronyms | |
| COP | Coefficient of performance |
| GWP | Global warming potential |
| MAC | Mobile air conditioning |
| OCR | Oil circulation ratio |
| RPM | Revolutions per minute |
References
- Andersen, S.O.; Chowdhury, S.; Craig, T.; Baker, J.A. Comparative Manufacturing and Ownership Cost Estimates for Secondary Loop Mobile Air Conditioning Systems (SL-MACs). In Proceedings of the WCX™ 17: SAE World Congress Experience, Detroit, MI, USA, 4–6 April 2017. [Google Scholar]
- Lorentzen, G.; Pettersen, J. A New, Efficient and Environmentally Benign System for Car Air-Conditioning. Int. J. Refrig. 1993, 16, 4–12. [Google Scholar] [CrossRef]
- Kim, M.H.; Pettersen, J.; Bullard, C.W. Fundamental process and system design issues in CO2 vapor compression systems. Prog. Energy Combust. Sci. 2004, 30, 119–174. [Google Scholar] [CrossRef]
- Cannistraro, G.; Cannistraro, M.; Cannistraro, A.; Galvagno, A. Analysis of Air Pollution in the Urban Center of Four Cities Sicilian. Int. J. Heat Technol. 2016, 34, S219–S225. [Google Scholar] [CrossRef]
- Daimler Official Website. Available online: https://www.daimler.com/sustainability/product/further-environmental-technologies/co2-air-conditioning-system.html (accessed on 6 June 2018).
- Cecchinato, L.; Corradi, M.; Fornasieri, E.; Zamboni, L. Carbon Dioxide as Refrigerant for Tap Water Heat Pumps: A Comparison with the Traditional Solution. Int. J. Refrig. 2005, 28, 1250–1258. [Google Scholar] [CrossRef]
- Higuchi, Y.; Kobayashi, H.; Shan, Z.; Kuwahara, M.; Endo, Y.; Nakajima, Y. Efficient Heat Pump System for PHEV/BEV. In Proceedings of the WCX™ 17: SAE World Congress Experience, Detroit, MI, USA, 4–6 April 2017. [Google Scholar]
- Piccolo, A.; Siclari, R.; Rando, F.; Cannistraro, M. Comparative Performance of Thermoacoustic Heat Exchangers with Different Pore Geometries in Oscillatory Flow. Mplementation of Experimental Techniques. Appl. Sci. 2017, 7, 784. [Google Scholar] [CrossRef]
- Kim, S.C.; Kim, M.S.; Hwang, I.C.; Lim, T.W. Performance evaluation of a CO2 heat pump system for fuel cell vehicles considering the heat exchanger arrangements. Int. J. Refrig. 2007, 30, 1195–1206. [Google Scholar] [CrossRef]
- Kim, S.C.; Kim, M.S.; Hwang, I.C.; Lim, T.W. Heating performance enhancement of a CO2 heat pump system recovering stack exhaust thermal energy in fuel cell vehicles. Int. J. Refrig. 2007, 30, 1215–1226. [Google Scholar] [CrossRef]
- Wang, D.; Yu, B.; Hu, J.; Chen, L.; Shi, J.; Chen, J. Heating Performance Characteristics of CO2 Heat Pump System for Electrical Vehicle in a Cold Climate. Int. J. Refrig. 2017, 85, 27–31. [Google Scholar] [CrossRef]
- Cannistraro, G.; Cannistraro, M.; Cannistraro, A. Evaluation of the Sound Emissions and Climate Acoustic in Proximity of One Railway Station. Int. J. Heat Technol. 2016, 34, S589–S596. [Google Scholar] [CrossRef]
- Cannistraro, G.; Cannistraro, M.; Restivo, R. Smart Control of Air Climatization System in Function on the Values of Mean Local Radiant Temperature. Smart Sci. 2015, 3, 157–163. [Google Scholar] [CrossRef]
- Kim, M.H.; Yin, J.M.; Bullard, C.W.; Hrnjak, P.S. Development of a micro-channel evaporator model for a CO2 mobile air-conditioner. Am. Soc. Mech. Eng. Adv. Energy Syst. Div. 2000, 40, 47–54. [Google Scholar]
- Jin, J.; Chen, J.; Chen, Z. Development and validation of a microchannel evaporator model for a CO2 air-conditioning system. Appl. Therm. Eng. 2011, 31, 137–146. [Google Scholar] [CrossRef]
- Kim, S.C.; Won, J.P.; Kim, M.S. Effects of operating parameters on the performance of a CO2 air conditioning system for vehicles. Appl. Therm. Eng. 2009, 29, 2408–2416. [Google Scholar] [CrossRef]
- Martin, K.; Lang, G.; Rieberer, R. Mobile HVAC-System with CO2 as Refrigerant—Simulations and Measurement; SAE Technical Paper; SAE International: Warrendale, PA, USA, 2005. [Google Scholar]
- Yin, J.; Park, Y.C.; Boewe, D.; McEnaney, R.; Beaver, A.; Bullard, C.W.; Hrnjak, P. Experimental and Model Comparison of Transcritical CO2 versus R134a and R410 System Performance; Discussion; Science Et Technique Du Froid: Oslo, Norway, 1998. [Google Scholar]
- Brown, J.S.; Yana-Motta, S.F.; Domanski, P.A. Comparitive analysis of an automotive air conditioning systems operating with CO2 and R134a. Int. J. Refrig. 2002, 25, 19–32. [Google Scholar] [CrossRef]
- Liu, C.C.; Li, C.Z.; Chen, J.P. Experimental and simulation study on the air side thermal hydraulic performance of automotive heat exchangers. Appl. Therm. Eng. 2015, 87, 305–315. [Google Scholar]
- Moffat, R.J. Describing the Uncertainties in Experimental Results. Exp. Therm. Fluid Sci. 1988, 1, 3–17. [Google Scholar] [CrossRef]
- SAE International. Procedure for Measuring System COP [Coefficient of Performance] of a Mobile Air Conditioning System on a Test Bench; SAE Surface Vehicle Standard J2765; SAE International: Atlanta, GA, USA, 2008. [Google Scholar]









| Component | R134a | CO2 |
|---|---|---|
| Compressor | Scroll type, mobile compressor, horizontal configuration, 1000–7200 RPM, 27 ccm/rev, 7.0 kg | Rotary type, commercial compressor, vertically configuration, 1000–6000 RPM, 6 ccm/rev, 17 kg |
| Condenser/gas cooler | Micro channel, parallel flow, aluminum, mass production component, 570W × 330H × 12D (mm), 1 slab, 3 passes, 20-14-10 | Micro channel, parallel flow, aluminum, prototype, 570W × 330H × 12D (mm), 1 slabs, 3 passes, 20-14-10 |
| Evaporator | Micro channel, parallel flow, aluminum, mass production component, 230W × 200H × 38D; 2 slabs, 4 passes, 16-16-16-16 | Micro channel, parallel flow, aluminum, prototype, 230W × 200H × 38D, 2 slabs, 6 passes, 10-11-11-11-11-10 |
| Throttling valve | TXV, aluminum, mass production component, 1.5 t of cooling | EXV, copper, driven by step motor, commercially available, valve port diameter 1.6 mm |
| IHX | Without | Tube-in-tube, aluminum, prototype, 1.5 m |
| Accumulator | Without | 600 mL, commercially available |
| Items | Uncertainties |
|---|---|
| Temperature sensors (RTD-type, Yokogawa, Japan) | ±0.2 °C |
| Pressure transducers (GE-Druck, USA) | ±0.5%, Max 4 MPa or 20 MPa |
| Mass flow rate (Coriolis type, KROHNE, Germany) | ±0.15%, Max 600 |
| Digital power meter (WT210, Yokogawa, Japan) | ±0.5% reading |
| Data logger (34972A, Agilent, USA) | 0.004% dcV of full scale |
| Heating capacity | Max 5.5% |
| Heating COP | Max 6.3% |
| 1 | 0 °C | 0 °C | 9.3 °C | 17.7 °C | 0.6 | 0.6 | 0.5 | 5 °C | 0.95 |
| 2 | 0, 1, 2, 3, 4, 5 °C | 0 °C | 9.3 °C | 17.7 °C | 0.6 | 0.6 | 0.5 | 5 °C | 0.95 |
| 3 | 0 °C | 0 °C | 9.3, 6, 3, 0 °C | 17.7°C | 0.6 | 0.6 | 0.5 | 5 °C | 0.95 |
| 4 | 0 °C | 0 °C | 9.3 °C | 17.7 °C | 0.6, 0.65, 0.7, 0.75, 0.8 | 0.6 | 0.5 | 5 °C | 0.95 |
© 2018 by the authors. Licensee MDPI, Basel, Switzerland. This article is an open access article distributed under the terms and conditions of the Creative Commons Attribution (CC BY) license (http://creativecommons.org/licenses/by/4.0/).
Share and Cite
Wang, D.; Yu, B.; Shi, J.; Chen, J. Experimental and Theoretical Study on the Cooling Performance of a CO2 Mobile Air Conditioning System. Energies 2018, 11, 1927. https://doi.org/10.3390/en11081927
Wang D, Yu B, Shi J, Chen J. Experimental and Theoretical Study on the Cooling Performance of a CO2 Mobile Air Conditioning System. Energies. 2018; 11(8):1927. https://doi.org/10.3390/en11081927
Chicago/Turabian StyleWang, Dandong, Binbin Yu, Junye Shi, and Jiangping Chen. 2018. "Experimental and Theoretical Study on the Cooling Performance of a CO2 Mobile Air Conditioning System" Energies 11, no. 8: 1927. https://doi.org/10.3390/en11081927
APA StyleWang, D., Yu, B., Shi, J., & Chen, J. (2018). Experimental and Theoretical Study on the Cooling Performance of a CO2 Mobile Air Conditioning System. Energies, 11(8), 1927. https://doi.org/10.3390/en11081927

