Enhanced Voltage Stability Assessment Index Based Planning Approach for Mesh Distribution Systems
Abstract
:1. Introduction
- (i)
- Two derived mathematical expressions of VSAIs for equivalent electrical MDS models.
- (ii)
- Mathematical expression for improved LMC for an equivalent MDS model.
- (iii)
- Integrated planning approach (VSAI-LMC) for MDS is applied with two computation variants.
- (iv)
- Evaluation of proposed planning approach on two (33-Bus and 69-Bus) test DS.
- (v)
- Evaluation of proposed planning approach under multiple DG placements (sitting and sizing).
- (vi)
- Evaluation of proposed planning approach under various performance metrics.
- (vii)
- Validation of proposed approach by comparison of results with works available in the literature.
2. Voltage Stability Assessment Indices for Mesh Distribution System
2.1. Background: Reference Based Voltage Stability Index for Loop Distribution System
2.2. Proposed Voltage Stability Assessment Index for Mesh Distribution System under Ideal Case (VSAI_MI)
2.3. Proposed Voltage Stability Assessment Index for Mesh Distribution System under Actual Case (VSAI_MA)
3. Loss Minimalize Condition (LMC) in Mesh Distribution System
3.1. Active Power-Loss-Minimization (PLM)
3.2. Reactive Power-Loss-Minimization (QLM)
4. Proposed Planning Approach, Simulation Setup and Performance Evaluators
4.1. Planning Approach 1 (PA1): Order-Wise DG Siting and Sizing in Mesh Distribution System
- Step 1
- Read system data for the multiple loop configured MDS.
- Step 2
- Run the load (power) flow for test MDS without DG at normal load level.
- Step 3
- According to Equations (15) and (24c), calculate the corresponding voltage assessment index at each receiving end bus. Also calculate the respective voltage profile assessment at each RB according to Equations (16) and (25).
- Step 4
- Select the bus with minimum voltage assessment index (in Equation (15) or (24c)) related numerical value because this bus is a prospective candidate for the first DG siting (DG_1).
- Step 5
- Run load flow for test MDS with DG_1 at normal load level (Step 2). Increase the size of DG_1 at respective pf ±2% at the relevant bus to a voltage limit, which is close to or equal to the 1.0 per unit (P.U), considering voltage level at substation as the reference. Repeat the procedure in step 3 and find the respective VSAI and U-profile values.
- Step 6
- After DG_1 placement, select the bus with minimum VSI/VSAI value, favorably fed by two or more SB. This bus is the potential location for second DG placement (DG_2).
- Step 7
- Place DG_2 at the potential location and increase its respective capacity along reducing the capacity of DG_2. Repeat Step 3, that is, the load flow across the TB and observe that the value of loop current (ITL) must be reduced to a minimal numerical value. Repeat the process until, respective VSAI trend, least voltage difference across TB, LMC condition along with PLMC or QLMC or any of them is achieved. When aforesaid conditions are achieved with the respective DG sizes, the solution is feasible from the viewpoint of two DGs in MDS.
- Step 8
- Find the weakest node in the solution obtained from Step 7 that is served by two or more SBs and place third DG (DG_3). Repeat Step 3 in accordance with Step 7. Increase/decrease DG capacity to find the condition when second loop current across other TB is reduced to zero and conditions in Step 7 have achieved.
- Step 9
- When the conditions in Step 9 are satisfied, each DG unit sitting and sizing is the optimal solution obtained with proposed planning approach. The obtained solution is the feasible solution from the perspective of three DGs placement in MDS.
- Step 10
- As the number of loops in MDS increases, the same procedure in Steps 7–9 is repeated.
4.2. Planning Approach 2 (PA2): Simultaneous DG Siting and Sizing in Mesh Distribution System
- Steps 1–5
- Repeat Steps 1–5 of PA1.
- Step 6
- Select the two buses, served by two or more SBs with a minimum numerical value of related VSAI, for the simultaneous placement of the DG_2 and DG_3.
- Step 7–9
- Repeat Step 3, that is, the load flow across the TB and observe that the value of loop currents (ITL) in respective multiple configured MDS. Repeat the process until conditions mentioned in PA1 (Steps 8–9) is achieved.
- Step 10
- When the end buses across the TBs (counting respective TSs) in all loops in multiple loops configured MDS has the lowest numerical difference in-terms of respective VSAI trend, least U difference across TB, LMC condition (PLMC or QLMC), the respective DG sizes are the optimal solution obtained from the perspective of PA2.
4.3. Simulation Setups for Mesh Distribution System
4.3.1. 33-Bus Test Distribution System
4.3.2. 69-Bus Test Distribution System
4.3.3. Simulation Setup
4.4. Performance Evaluation Indicators (PEI)
4.4.1. Minimalize System Power Losses in MDS
4.4.2. Active Power Losses: Costs and Savings (PLC/PLS)
4.4.3. DG Penetration by Percentage in Mesh Distribution System
4.4.4. Annual Cost of Investment (ACI) for Distributed Generation Units in Mesh Distribution System
5. Discussion on Results and Performance Evaluations
5.1. 33-Bus Mesh Distribution System
5.1.1. Evaluation of Base Case 0a (No DG)
5.1.2. Evaluation of Case 1 (C1): DG Sitting and Sizing for Voltage-Maximization (U_Max)
5.1.3. Evaluation of Case 2 (C2): DG Sitting and Sizing for Loss-Minimization (L_Min)
5.2. 69-Bus Mesh Distribution System
5.2.1. Evaluation of Base Case 0b (No DG)
5.2.2. Evaluation under Case 3 (C3): DG Sitting and Sizing for Voltage-Maximization (U_Max)
5.2.3. Evaluation under Case 4 (C4): DG Sitting and Sizing for Loss-Minimization (L_Min)
6. Comparison/Validation Analysis
6.1. Results Comparison with Existing Works
6.1.1. Comparison of Numerical Results with 33 Bus based Test Distribution System
6.1.2. Comparison of 69 Bus Test System Results with the Existing Research Works
7. Conclusions
Author Contributions
Acknowledgments
Conflicts of Interest
Appendix A
- The protection system is considered to be upgraded.
- MDS is three phase balanced and can be denoted by the corresponding single-line diagram.
- The thermal limits associated with all branches are considered at a value of 5 MVA.
- Shunt-capacitor banks are assumed as loads and line-shunt capacitance is assumed negligible.
- The highest number of DGs to be integrated is three.
- The maximum allowable DG penetration must not surpass whole MDS load.
- Except slack bus (substation), the DG units can only be placed at load buses.
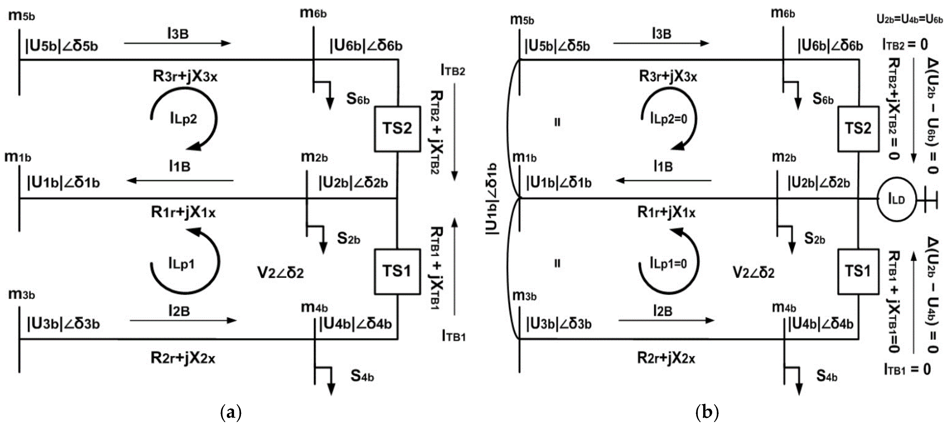
- It is anticipated that a LMC (PLMC and QLMC) exists for both planning approaches, if the receiving end buses (RBs = m2b, m4b and m6b) across tie-branches have ideally zero voltage difference that is, U(m2b) = U(m4b) = U(m6b) such that no current (ITL) flows through respective loops, in this case both ILp1 and ILp2 are zero. The numerical value of ΔU is considered as 1%.
- Normal loading conditions associated with TDS in this paper has considered heavy load level that is, load model is constant power and single load level.
- The variation of ±2.5% has considered in this paper.
- The variation of ±2.5% in power factor (lagging) has considered in this study.
Abbreviations
| AIC | Annual cost of investment |
| ADS | Active distribution system |
| AFc | Annualized factor (of cost) |
| ATP/EMTP | Alternative Transient Program/Electromagnetic Transients Program |
| C (No.) | Case (No. = 1, 2, 3, 4) |
| Ct | Annual cost based on interest-rate |
| CUc | Cost related to Distributed generation unit (USD/KVA) |
| DG | Distributed generation units |
| DS | Distribution systems |
| DGCmax | Maximum capacities of distributed generation units in (KVA or MVA) |
| Equation (No.) | Equation. (Number) |
| EU | Rate of electricity unit |
| Im | Imaginary part of Equation |
| LDS | Loop distribution system |
| L_min | Loss minimization |
| LMC | Loss minimalize (minimization) condition |
| MDS | Mesh distribution system |
| PA | Planning approach (with two computation variants as PA1 and PA2) |
| PDG | Distributed generation in distribution system by percentage |
| P.U | Per unit system values |
| pf | Power factor |
| PEI | Performance evaluation indicator/s |
| P_L | Power (active) losses |
| PLC | Power (active) loss related costs (in million USD) |
| PLM | Power (active) loss minimalize (minimization) by percentage |
| PLMC | Power (active) loss minimalize (minimization) condition |
| PLS | Power (active) loss savings (in million USD) |
| Q_L | Power (reactive) losses |
| QLC | Power (reactive) loss related costs (in million USD) |
| QLM | Power (reactive) loss minimalize (minimization) by percentage |
| QLMC | Power (reactive) loss minimalize (minimization) condition |
| RB | Receiving end (load) bus |
| RDS | Radial distribution system |
| Re | Real part of Equation |
| RSS | Relief-in-substation (active and reactive power) capacity |
| S (No.) | Scenario (No. = 1, 2, 3, 4) |
| SDS/SG | Smart distribution system/Smart grid |
| SB | Sending end (feeding) bus |
| TB | Tie-line branch |
| TS | Tie-Switch (normally open switch) |
| TDS | Test distribution system (33-Bus and 69-Bus) |
| U_L | Voltage profile associated with VSI based on LDS model |
| U_MA | Voltage profile associated with VSAI based on actual MDS model |
| U_MI | Voltage profile associated with VSAI based on ideal MDS model |
| U_Max | Voltage maximization |
| U_Profile | Voltage profile |
| U_R | Voltage profile associated with VSI based on RDS model |
| VSI | Voltage stability index |
| VSI_L | Voltage stability index proposed for LDS |
| VSI_R | Voltage stability index proposed for RDS |
| VSAI | Voltage stability assessment index (proposed for MDS) |
| VSAI_MA | VSAI derived based on actual equivalent MDS model |
| VSAI_MI | VSAI derived based on ideal equivalent MDS model |
| VSAI-LMC | VSAI (New) and LMC (New) based integrated planning approach for MDS |
| VSAI_MA-LMC | VSAI (actual) and LMC (New) based integrated planning approach for MDS |
| VSAI_MI-LMC | VSAI (ideal) and LMC (New) based integrated planning approach for MDS |
References
- Rodriguez, A.A.; Ault, G.; Galloway, S. Multi-Objective planning of distributed energy resources: A review of the state-of-the-art. Renew. Sustain. Energy Rev. 2010, 14, 1353–1366. [Google Scholar] [CrossRef]
- Fang, X.; Misra, S.; Xue, G.; Yang, D. Smart grid—The new and improved power grid: A survey. IEEE Commun. Surv. Tutor. 2012, 14, 944–980. [Google Scholar] [CrossRef]
- Evangelopoulos, V.A. Optimal operation of smart distribution networks: A review of models, methods, and future research. Electr. Power Syst. Res. 2016, 140, 95–106. [Google Scholar] [CrossRef]
- Sayed, M.A.; Takeshita, T. Line Loss Minimization in Isolated Substations and Multiple Loop Distribution Systems Using the UPFC 2014. IEEE Trans. Power Electron. 2014, 29, 5813–5822. [Google Scholar] [CrossRef]
- Kim, J.C.; Cho, S.M.; Shin, H.S. Advanced Power Distribution System Configuration for Smart Grids. IEEE Trans. Smart Grid 2013, 4, 353–358. [Google Scholar] [CrossRef]
- Kazmi, S.A.A.; Shahzad, M.K.; Khan, A.Z.; Shin, D.R. Smart Distribution Networks: A Review of Modern Distribution Concepts from Planning Perspectives. Energies 2017, 10, 501. [Google Scholar] [CrossRef]
- Keane, A.; Ochoa, L.F.; Borges, C.L.T.; Ault, G.W.; Alarcon-Rodriguez, A.D.; Currie, R.; Pilo, F.; Dent, C.; Harrison, G.P. State-of-the-art techniques and challenges ahead for distributed generation planning and optimization. IEEE Trans. Power Syst. 2013, 28, 1493–1502. [Google Scholar] [CrossRef]
- Kazmi, S.A.A.; Shahzad, M.K.; Shin, D.R. Multi-Objective Planning Techniques in Distribution Networks: A composite Review. Energies 2017, 10, 208. [Google Scholar] [CrossRef]
- Ju, Y.; Wu, W.; Zhang, B.; Sun, H. Loop-analysis-based continuation power flow algorithm for distribution networks. IET Gen. Trans. Distrib. 2014, 8, 1284–1292. [Google Scholar] [CrossRef]
- Jordehi, A.R. Allocation of distributed generation units in electric power systems: A review. Renew. Sustain. Energy Rev. 2015, 56, 893–905. [Google Scholar] [CrossRef]
- Prakash, P.; Khatod, D.K. Optimal sizing and sitting techniques for distributed generation in distribution systems: A review. Renew. Sustain. Energy Rev. 2016, 57, 111–130. [Google Scholar] [CrossRef]
- Sedghi, M.; Ahmadian, A.; Golkar, M.A. Assessment of optimization algorithms capability in distribution network planning: Review, comparison and modification techniques. Renew. Sustain. Energy Rev. 2016, 66, 415–434. [Google Scholar] [CrossRef]
- Modarresi, J.; Gholipour, E.; Khodabakhshain, A. A comprehensive review of the voltage stability indices. Renew. Sustain. Energy Rev. 2016, 63, 1–12. [Google Scholar] [CrossRef]
- Vita, V. Development of a decision-making algorithm for the optimum size and placement of distributed generation units in distribution network. Energies 2017, 10, 1433. [Google Scholar] [CrossRef]
- Vita, V.; Alimardan, T.; Ekonomou, L. The impact of distributed generation in the distribution networks’ voltage profile and energy losses. In Proceedings of the 9th IEEE European Modelling Symposium on Mathematical Modelling and Computer Simulation, Madrid, Spain, 6–8 October 2015; pp. 260–265. [Google Scholar]
- Hadjiionas, S.; Oikonomou, D.S.; Fotis, G.P.; Vita, V.; Ekonomou, L.; Pavlatos, C. Green field planning of distribution systems. In Proceedings of the 11th WSEAS International Conference on Automatic Control, Modelling and Simulation, Istanbul, Turkey, 30 May 30–1 June 2009; pp. 340–348. [Google Scholar]
- Chakravorty, M.; Das, D. Voltage stability analysis of radial distribution networks. Int. J. Electr. Power Energy Syst. 2001, 23, 129–135. [Google Scholar] [CrossRef]
- Murty, V.V.S.N.; Kumar, A. Optimal placement of DG in radial distribution systems based on new voltage stability index under load growth. Electr. Power Syst. Res. 2015, 69, 246–256. [Google Scholar] [CrossRef]
- Quezada, V.M.; Abbad, J.R.; Roman, T.G.S. Assessment of energy distribution losses for increasing penetration of distributed generation. IEEE Trans. Power Syst. 2006, 21, 533–540. [Google Scholar]
- Hung, D.Q.; Mithulananthan, N.; Bansal, R.C. Analytical strategies for renewable distributed generation integration considering energy loss minimization. Appl. Energy 2013, 105, 75–85. [Google Scholar] [CrossRef]
- Hung, D.Q.; Mithulananthan, N. Loss reduction and loadability enhancement with DG: A dual-index analytical approach. Appl. Energy 2014, 115, 233–241. [Google Scholar] [CrossRef]
- Aman, M.M.; Jasmon, G.B.; Mokhlis, H.; Bakar, A.H.A. Optimal placement and sizing of a DG based on a new power stability index and line losses. Int. J. Electr. Power Energy Syst. 2012, 43, 1296–1304. [Google Scholar] [CrossRef]
- Kalambe, S.; Agnihotri, G. Loss minimization techniques used in distribution network: Bibliographic survey. Renew. Sustain. Energy Rev. 2014, 29, 184–200. [Google Scholar] [CrossRef]
- Sultanaa, U.; Khairuddin, A.B.; Aman, M.M.; Mokhtara, A.S.; Zareen, N. A review of optimum DG placement based on minimization of power losses and voltage stability enhancement of distribution system. Renew. Sustain. Energy Rev. 2016, 63, 363–378. [Google Scholar] [CrossRef]
- Viral, R.; Khatod, D.K. Optimal planning of distributed generation systems in distribution system: A review. Renew. Sustain. Energy Rev. 2012, 16, 5146–5165. [Google Scholar] [CrossRef]
- Georgilakis, P.S.; Hatziargyriou, N.D. Optimal Distributed Generation Placement in Power Distribution Networks: Models, Methods, and Future Research. IEEE Trans. Power Syst. 2013, 28, 3420–3428. [Google Scholar] [CrossRef]
- Georgilakis, P.S.; Hatziargyriou, N.D. A review of Power distribution planning in the modern power systems era: Models, methods, and future research. Electr. Power Syst. Res. 2015, 121, 89–100. [Google Scholar] [CrossRef]
- Chen, T.H.; Huang, W.T.; Gu, J.C.; Pu, G.C.; Hsu, Y.F.; Guo, T.Y. Feasibility study of upgrading primary feeders from radial and open loop to normally closed-loop arrangement. IEEE Trans. Power Syst. 2004, 19, 1308–1316. [Google Scholar] [CrossRef]
- Buayai, K.; Ongsaku, W.; Mithulananthan, N. Multi-objective micro-grid planning by NSGA-II in primary distribution system. Eur. Trans. Electr. Power 2011, 22, 170–187. [Google Scholar] [CrossRef]
- Sharma, A.K.; Murthy, V.V.S.N. Analysis of Meshed Distribution Systems Considering Load models and Load growth Impact with Loops on System Performance. J. Inst. Eng. 2014, 95, 295–318. [Google Scholar]
- Murthy, V.V.S.N.; Ashwani, K. Mesh distribution system analysis in presence of distributed generation with time varying load model. Int. J. Electr. Power Energy Syst. 2014, 62, 836–854. [Google Scholar] [CrossRef]
- Alvarez-Herault, M.C.; Doye Gandioli, C.N.N.; Hadjsaid, N.; Tixador, P. Meshed distribution network vs reinforcement to increase the distributed generation connection. Sustain. Energy Grid Net. 2015, 1, 20–27. [Google Scholar] [CrossRef]
- Che, L.; Zhang, X.; Shahidehpour, M.; Alabdulwahab, A.; Al-Turki, Y. Optimal planning of Loop-Based Microgrid Topology. IEEE Trans. Smart Grid. 2017, 8, 1771–1781. [Google Scholar] [CrossRef]
- Cortes, C.A.; Contreras, S.F.; Shahidehpour, M. Microgrid Topology Planning for Enhancing the Reliability of Active Distribution Networks. IEEE Trans. Smart Grid 2018, 9, 6369–6377. [Google Scholar] [CrossRef]
- Chen, T.H.; Lin, E.H.; Yang, N.C.; Hsieh, T.Y. Multi-objective optimization for upgrading primary feeders with distributed generators from normally closed loop to mesh arrangement. Int. J. Electr. Power Energy Syst. 2012, 45, 413–419. [Google Scholar] [CrossRef]
- Wang, W.; Jazebi, S.; Leon, F.; Li, Z. Looping Radial Distribution Systems Using Superconducting Fault Current Limiters: Feasibility and Economic Analysis. IEEE Trans. Power Syst. 2017, 1–10. [Google Scholar] [CrossRef]
- Kazmi, S.A.A.; Shahzaad, M.K.; Shin, D.R. Voltage Stability Index for Distribution Network connected in Loop Configuration. IETE J. Res. 2017, 63, 281–293. [Google Scholar] [CrossRef]
- Kazmi, S.A.A.; Shin, D.R. DG Placement in Loop Distribution Network with New Voltage Stability Index and Loss Minimization Condition Based Planning Approach under Load Growth. Energies 2017, 10, 1203. [Google Scholar] [CrossRef]
- Kumar, P.; Gupta, N.; Niazi, K.R.; Swarnkar, A. A Circuit Theory-based Loss Allocation Method for Active Distribution Systems. IEEE Trans. Smart Grid 2017, 1–7. [Google Scholar] [CrossRef]
- Al Abri, R.S.; El-Saadany, E.F.; Atwa, Y.M. Optimal placement and sizing method to improve voltage stability margin in a distribution system using distributed generation. IEEE Trans. Power Syst. 2013, 28, 326–334. [Google Scholar] [CrossRef]
- Aman, M.M.; Jasmon, G.B.; Bakar, A.H.A.; Mokhlis, H. A new approach for optimum simultaneous multi-DG distributed generation Units placement and sizing based on maximization of system loadability using HPSO (hybrid particle swarm optimization) algorithm. Energy 2014, 66, 202–215. [Google Scholar] [CrossRef]
- Ettehadi, M.; Ghasemi, H.; Vaez-Zadeh, S. Voltage Stability-Based DG Placement in distribution Networks. IEEE Trans Power Deliv. 2013, 28, 171–178. [Google Scholar] [CrossRef]
- Hung, D.G.; Mithulananthan, N.; Bansal, R.C. Multiple distributed generations placement in primary distribution networks for loss reduction. IEEE Trans Ind. Electron. 2013, 60, 1700–1708. [Google Scholar] [CrossRef]



















| Parameters | RDS | LDS (TS4) | MDS (TS4, TS5) | Weakest Bus |
|---|---|---|---|---|
| P_Load (KW) | 3715 | 3715 | 3715 | - |
| Q_Load (KVAR) | 2300 | 2300 | 2300 | - |
| P_L (KW) | 210.99 | 211.39 | 236.6 | - |
| Q_L (KVAR) | 143.01 | 144.78 | 164.76 | - |
| VSI_R [17] | 0.6597 @ Bus 18 | - | - | U_R = 0.88 @ Bus 18 |
| VSI_L (Equation (1)) | - | 0.66028 @ Bus 18 | 0.6944 @ Bus 15 | Bus 18 |
| VSAI_MI (Equation (15)) | - | - | 0.6933 @ Bus 15 | Bus 15 |
| VSAI_MA (Equation (24)) | - | - | 0.6912 @ Bus 15 | Bus 15 |
| U_L (Equation (2)) | - | 0.8763 @ Bus 18 | 0.8743 @ Bus 15 | Bus 18 |
| U_MI (Equation (16)) | - | - | 0.9123 @ Bus 15 | Bus 15 |
| U_MA (Equation (25)) | - | - | 0.9128 @ Bus 15 | Bus 15 |
| PLC (M-$) (Equation (36a)) | 0.11090 | 0.11111 | 0.12436 | - |
| C#/S#: | DG (Size, Site, No.) | VSAI_MI/VSAI_MA | U_MI (P.U)/U_MA (P.U) | P_L (KW)/PLM (%) | Q_L (KVAR)/QLM (%) | PLC(M-$)/PLS (M-$) | PDG (%)/RSS (P + jQ) | ACI (M-$) |
|---|---|---|---|---|---|---|---|---|
| C1/S1 | (2013,15,1) DG_1@15 | 1.09@15/1.001@15 | 1.022@15/1.002@15 | 125/47.2% | 89/46% | 0.0657/0.045 | 46.1%/2377 + j1757 | 0.3638 |
| DG_2 (Site) | 0.955@30/0.9618@30 | 0.9550@30/0.9617@30 | ||||||
| C1/S2 | (971,15,1) DG_1@15 | 0.981@15/0.956@15 | 0.9952@15/0.9854@15 | 54.7/77% | 37.5/77.25% | 0.02875/0.0822 | 63%/1680 + j1498 | 0.4976 |
| (1783,30,2) DG_2@30 | 0.955@30/0.9618@30 | 0.9979@30/0.9844@30 | ||||||
| DG_3 (Site) | 0.9130@25/0.9220@25 | 0.9749@25/0.9805@25 | ||||||
| C1/S3a | (894.6,15,1) DG_1@15 | 0.9800@15/0.9551@15 | 0.9950@15/0.9860@15 | 33.2/86% | 23.94/85.5% | 0.01746/0.09345 | 71%/1400 + j1322 | 0.5607 |
| (1386,30,2) DG_2@30 | 0.9995@30/0.9780@30 | 0.9980@30/0.9880@30 | ||||||
| (822.6,25,3) DG_3@25 | 0.9591@25/0.9220@25 | 0.9920@25/0.9870@25 | ||||||
| C1/S3b | (832.6,15,1) DG_1@15 | 0.9820@15/0.9580@15 | 0.9970@15/0.9900@15 | 30.85/87% | 23.29/85.9% | 0.0162/0.0947 | 72.8%/1308 + j1321 | 0.5750 |
| (1602,30,2) DG_2@30 | 0.9880@30/0.9540@30 | 0.9994@30/0.9880@30 | ||||||
| (745.1,7,3) DG_3@7 | 0.9742@7/0.9616@7 | 0.9940@7/0.9890@7 |
| C#/S#: | DG (Size, Site, No.) | VSAI_MI/VSAI_MA | U_MI (P.U)/U_MA (P.U) | P_L (KW)/PLM (%) | Q_L (KVAR)/QLM (%) | PLC(M-$)/PLS (M-$) | PDG (%)/RSS (P + jQ) | ACI (M-$) |
|---|---|---|---|---|---|---|---|---|
| C2/S1 | (1969.6,15,1) DG_1@15 | 1.087@15/1.023@15 | 1.021@15/1.003@15 | 115.6/51.13% | 79.7/51.6% | 0.0608/0.0501 | 45.1%/2505 + j1604 | 0.356 |
| DG_2 (Site) | 0.8300@30/0.8580@30 | 0.9549@30/0.9620@30 | ||||||
| C2/S2 | (950,15,1) DG_1@15 | 0.9728@15/0.9470@15 | 0.9935@15/0.9851@15 | 38.3/84% | 28.1/83% | 0.0201/0.0908 | 59%/1970 + j1277 | 0.467 |
| (1633,30,2) DG_2@30 | 0.9838@30/0.9333@30 | 0.9956@30/0.9830@30 | ||||||
| DG_3 (Site) | 0.9139@25/0.9167@25 | 0.9732@25/0.9786@25 | ||||||
| C2/S3a | (877,15,1) DG_1@15 | 0.9729@15/0.9501@15 | 0.9940@15/0.9860@15 | 28.8/87.9% | 17.81/89.2% | 0.01512/0.09600 | 67%/1703 + j1117 | 0.526 |
| (1310,30,2) DG_2@30 | 0.9774@30/0.9449@30 | 0.9950@30/0.9860@30 | ||||||
| (725,25,3) DG_3@25 | 0.9560@25/0.9410@25 | 0.9890@25/0.9850@25 | ||||||
| C2/S3b | (828.3,15,1) DG_1@15 | 0.9890@15/0.9640@15 | 0.9930@15/0.9898@15 | 26.7/88.7% | 16.75/89.8% | 0.0140/0.0969 | 73.24%/1474 + j975 | 0.5782 |
| (1644,30,2) DG_2@30 | 0.9930@30/0.9701@30 | 0.9993@30/0.9869@30 | ||||||
| (727.8,7,3) DG_3@7 | 0.9755@7/0.9600@7 | 0.9899@7/0.9902@7 |
| Parameters | RDS | LDS (TS5) | MDS (TS3, TS5) | Weakest Bus |
|---|---|---|---|---|
| P_Load (KW) | 3802.58 | 3802.58 | 3802.58 | - |
| Q_Load (KVAR) | 2692.9 | 2692.9 | 2692.9 | - |
| P_L (KW) | 224.98 | 260.74 | 244.69 | - |
| Q_L (KVAR) | 102.11 | 147.92 | 126.90 | - |
| VSI_R [17] | 0.6843 @ Bus 65 | - | - | U_R = 0.9089@ Bus 65 |
| VSI_L (Equation (1)) | - | 0.7170 @ Bus61 | 0.7200 @ Bus 61 | Bus 61 |
| VSAI_MI (Equation (15)) | - | - | 0.7104 @ Bus 61 | Bus 61 |
| VSAI_MA (Equation (24)) | - | - | 0.7220 @ Bus 61 | Bus 61 |
| U_L (Equation (2)) | - | 0.9190 @ Bus61 | 0.9210 @ Bus 61 | Bus 61 |
| U_MI (Equation (16)) | - | - | 0.9000 @ Bus 61 | Bus 61 |
| U_MA (Equation (25)) | - | - | 0.9220 @ Bus 61 | Bus 61 |
| PLC (Million-$) (Equation (36a)) | 0.11825 | 0.137045 | 0.12861 | - |
| C#/S#: | DG (Size, Site, No.) | VSAI_MI/VSAI_MA | U_MI (P.U)/U_MA (P.U) | P_L (KW)/PLM (%) | Q_L (KVAR)/QLM (%) | PLC(M-$)/PLS (M-$) | PDG (%)/RSS (P + jQ) | ACI (M-$) |
|---|---|---|---|---|---|---|---|---|
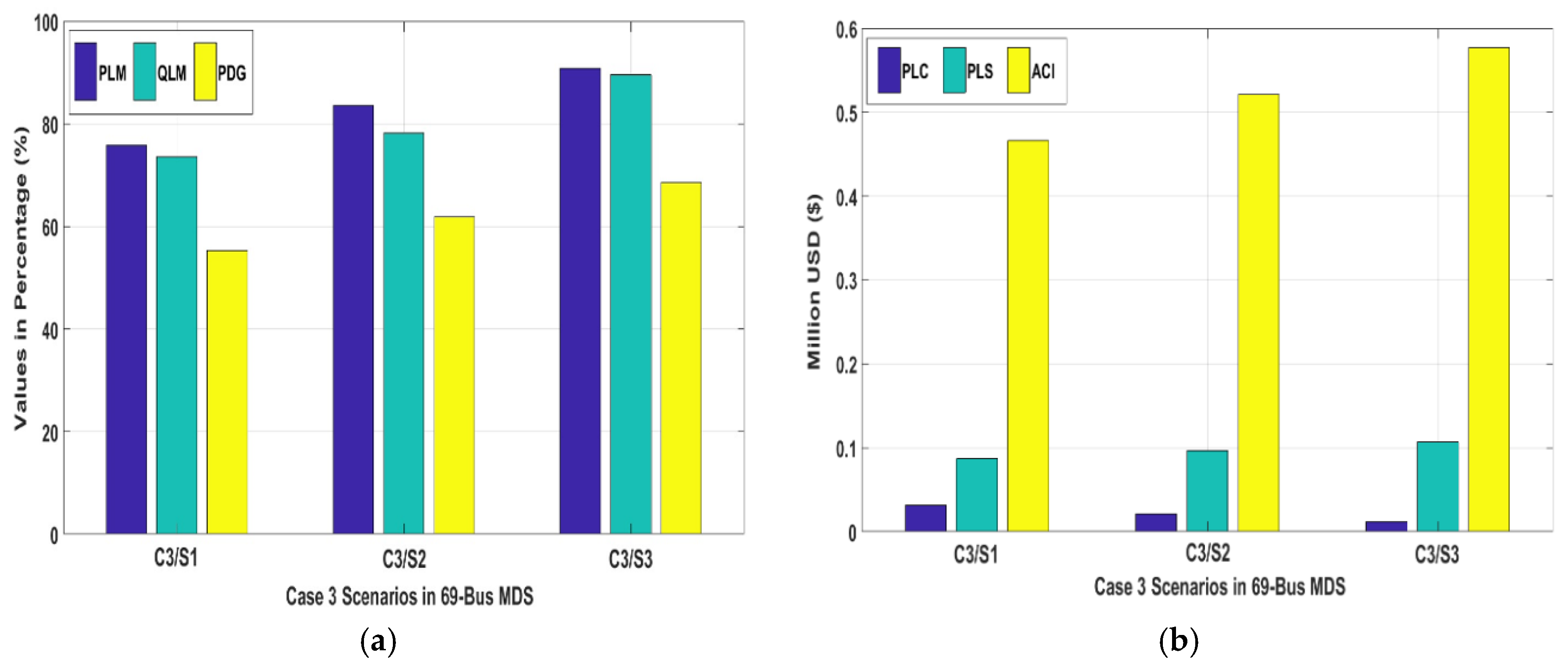
| C3/S1 | (2578,61,1) DG_1@61 | 1.070@61/1.004@61 | 1.017@61/1.001@61 | 59.1/75.84% | 33.4/73.7% | 0.0311/0.0872 | 55.34%/1884 + j2012 | 0.4659 |
| DG_2 (Site) | 0.9520@21/0.9604@21 | 0.9877@21/0.9899@21 | ||||||
| C3/S2 | (2326,61,1) DG_1@61 | 1.054@61/1.004@61 | 1.013@61/1.001@61 | 40.4/83.5% | 27.51/78.2% | 0.02122/0.09804 | 61.9%/1616 + j1873 | 0.521 |
| (557,21,2) DG_2@21 | 1.027@21/1.000@21 | 1.007@21/1.000@21 | ||||||
| DG_3 (Site) | 0.9670@12/0.9770@12 | 0.9920@12/0.9940@12 | ||||||
| C3/S3 or (C3/S3a) | (2284,61,1) DG_1@61 | 1.050@61/1.027@61 | 1.013@61/1.0008@61 | 22.35/90.9% | 13.3/89.53% | 0.0175/0.1065 | 68.6%/1343 + j1716 | 0.57719 |
| (442.9,21,2) DG_2@21 | 1.019@21/1.0000@21 | 1.005@21/1.0000@21 | ||||||
| (467.5,12,3) DG_3@12 | 1.0036@12/1.0025@12 | 0.9951@12/0.9985@12 |
| C#/S#: | DG (Size, Site, No.) | VSAI_MI/VSAI_MA | U_MI (P.U)/U_MA (P.U) | P_L (KW)/PLM (%) | Q_L (KVAR)/QLM (%) | PLC(M-$)/PLS (M-$) | PDG (%)/RSS (P + jQ) | ACI (M-$) |
|---|---|---|---|---|---|---|---|---|
| C4/S1 | (2730,61,1) DG_1@61 | 1.071@61/1.0004@61 | 1.018@61/1.0004@61 | 43.58/82.2% | 30.2/76.17% | 0.02291/0.09536 | 58.6%/1950 + j1569 | 0.4933 |
| DG_2 (Site) | 0.9530@21/0.9614@21 | 0.9880@21/0.9900@21 | ||||||
| C4/S2 | (2490,61,1) DG_1@61 | 1.0572@61/1.0023@61 | 1.014@61/1.00039@61 | 33.8/86.2% | 19.804/84.4% | 0.0178/0.10049 | 64.8%/1718 + j1413 | 0.5453 |
| (528,21,2) DG_2@21 | 1.0192@21/0.9979@21 | 1.005@21/0.9995@21 | ||||||
| DG_3 (Site) | 0.9670@12/0.9770@12 | 0.9915@12/0.9940@12 | ||||||
| C4/S3 or (C4/S3a) | (2444,61,1) DG_1@61 | 1.055@61/1.030@61 | 1.013@61/1.0006@61 | 12.26/95% | 6.492/94.5% | 0.006442/0.111839 | 72.88%/1413 + j1204 | 0.5853 |
| (440,21,2) DG_2@21 | 1.016@21/1.0003@21 | 1.005@21/1.000@21 | ||||||
| (512,12,3) DG_3@12 | 1.006@12/0.9953@12 | 1.004@12/0.999@12 |
| Performance Evaluation Indicators (PEIs) | [31] | [31] | C1/S1 | C1/S2 | C1/S3a | C1/S3b |
|---|---|---|---|---|---|---|
| DG Size (KVA)@ DG Site (Bus#) | 2706.7@6 | 2074.56@6 615.25@15 | 2013@15 | 971@15 1783@30 | 894.6@15 1386@30 822.6@25 | 832.6@15 1602@30 745.1@7 |
| VSAI_MA@Bus-Min | - | - | 0.9618@30 | 0.9110@33 | 0.9220@33 | 0.9170@33 |
| U_MA@Bus (P.U) | 0.98279 | 0.97567 | 0.9617@30 | 0.9770@33 | 0.9800@33 | 0.9782@33 |
| P_L (KW) | 117.88 | 65.8435 | 125 | 54.7 | 33.20 | 30.85 |
| PLM (%) | 44.14 | 68.8 | 47.2 | 77 | 86 | 87 |
| Q_L (KVAR) | 90.454 | 51.94 | 89 | 37.5 | 23.94 | 23.29 |
| QLM (%) | 36.75 | 63.7 | 46 | 77.25 | 85.5 | 85.9 |
| PLC (Million-$) | 0.062 | 0.03461 | 0.0657 | 0.02875 | 0.01746 | 0.0162 |
| PLS (Million-$) | 0.049 | 0.07629 | 0.0450 | 0.0822 | 0.09345 | 0.0947 |
| DG Capacity (KVA) | 2706.7 | 2689.81 | 2013 | 2754 | 3103.2 | 3179.7 |
| PDG (%) | 61.95% | 61.56 | 46.1 | 63 | 71 | 72.8 |
| RSS (KW + j KVAR) | 256.43 + j 321.01 | 1347.9 + j 836.34 | 2377 + j 1757 | 1680 + j 1498 | 1400 + j 1322 | 1308 + j 1321 |
| ACI (Million-$) | - | - | 0.3638 | 0.4976 | 0.5607 | 0.5750 |
| Performance Evaluation Indicators (PEIs) | [43] | [43] | C2/S1 | C2/S2 | C2/S3a | C2/S3b |
|---|---|---|---|---|---|---|
| DG Size (KVA)@ DG Site (Bus#) | 2118@6, 1059@30, | 1059@6 768@14 1059@30 | 1969.6@15 | 950@15 1633@30 | 877@15 1310@30 725@25 | 828.3@15 1644@30 727.8@7 |
| VSAI_MA@Bus-Min | - | - | 0.8580@30 | 0.9167@33 | 0.9121@33 | 0.9221@33 |
| U_MA@Bus (P.U) | - | - | 0.9620@30 | 0.9750@18 | 0.9777@33 | 0.9805@33 |
| P_L (KW) | 44.84 | 23.05 | 115.6 | 38.3 | 28.8 | 26.7 |
| PLM (%) | 78.75 | 89.1 | 51.13 | 84 | 87.9 | 88.7 |
| Q_L (KVAR) | - | - | 79.7 | 28.1 | 17.81 | 16.75 |
| QLM (%) | - | - | 51.6 | 83 | 89.2 | 89.8 |
| PLC (Million-$) | - | - | 0.0608 | 0.0201 | 0.01512 | 0.0140 |
| PLS (Million-$) | - | - | 0.0501 | 0.0908 | 0.09600 | 0.0969 |
| DG Capacity (KVA) | 3177 | 2886 | 1969.6 | 2583 | 2912 | 3200 |
| PDG (%) | 72.71 | 66.1 | 45.1 | 59 | 67 | 73.24 |
| RSS (KW + j KVAR) | - | - | 2505 + j 1604 | 1970 + j 1277 | 1703 + j 1117 | 1474 + j 975 |
| ACI (Million-$) | - | - | 0.356 | 0.467 | 0.526 | 0.5782 |
| Performance Evaluation Indicators (PEIs) | [18] | C3/S1 | C3/S2 | C3/S3 |
|---|---|---|---|---|
| DG Size (KVA)@ DG Site (Bus#) | 2220@61 | 2578@61 | 2326@61 557@21 | 2284@61 442.9@21 467.5@12 |
| VSAI_MA@Bus-Min | 0.86585@26 | 0.9604@21 | 0.9770@12 | 0.9900@46 |
| U_MA@Bus (P.U) | 0.97273@26 | 0.9899@21 | 0.9940@12 | 0.9973@46 |
| P_L (KW) | 27.9 | 59.1 | 40.4 | 22.35 |
| PLM (%) | 16.4245 | 75.84 | 83.5 | 90.9 |
| Q_L (KVAR) | 0.86585@26 | 33.4 | 27.51 | 13.30 |
| QLM (%) | 0.97273@26 | 73.7 | 78.2 | 89.53 |
| PLC (Million-$) | 0.01466412 | 0.0311 | 0.02122 | 0.0175 |
| PLS (Million-$) | 0.10362 | 0.0872 | 0.09804 | 0.1065 |
| DG Capacity (KVA) | 2220 | 2578 | 2883 | 3194.4 |
| PDG (%) | 47.64 | 55.35 | 61.9 | 68.6 |
| RSS (KW + j KVAR) | - | 1884 + j 2012 | 1616 + j 1873 | 1343 + j 1716 |
| ACI (Million-$) | - | 0.4659 | 0.521 | 0.55719 |
| Performance Evaluation Indicators (PEIs) | [18] | [29] | [38] | C4/S1 | C4/S2 | C4/S3 |
|---|---|---|---|---|---|---|
| DG Size (KVA)@ DG Site (Bus#) | 2240@61 | 2147@61 590@22 | 2328@61 400@22 | 2730@61 | 2490@61 528@21 | 2444@61 440@21 512@21 |
| VSAI_MA@ Bus-Min | 0.8083@57 | - | 0.9620@27 | 0.9614@21 | 0.9770@12 | 0.9922@46 |
| U_MA@ Bus (P.U) | 0.954425@26 | - | 0.9903@65 | 0.9900@21 | 0.9940@12 | 0.9980@46 |
| P_L (KW) | 23.124 | 23.4 | 25.367 | 43.58 | 33.8 | 12.26 |
| PLM (%) | 87.75 | 91 | 90.27 | 82.2 | 86.2 | 95 |
| Q_L (KVAR) | 14.363 | - | 17.2607 | 30.2 | 19.804 | 6.942 |
| QLM (%) | 85.95 | - | - | 76.17 | 84.4 | 94.5 |
| PLC (Million-$) | 0.012154 | 0.012299 | 0.013333 | 0.02291 | 0.0178 | 0.006442 |
| PLS (Million-$) | 0.106054 | - | 0.104875 | 0.09536 | 0.10049 | 0.111839 |
| DG Capacity (KVA) | 2240 | 2737 | 2728 | 2730 | 3018 | 3396 |
| PDG (%) | 48.07 | 58.73 | 58.55 | 58.6 | 64.8 | 72.88 |
| RSS (KW + j KVAR) | 2010.1 + j 1394.4 | - | 1527.389 + j 2738.723 | 1950 + j 1569 | 1718 + j 1413 | 1413 + j 1204 |
| ACI (Million-$) | - | - | 0.493 | 0.4933 | 0.5453 | 0.5853 |
© 2018 by the authors. Licensee MDPI, Basel, Switzerland. This article is an open access article distributed under the terms and conditions of the Creative Commons Attribution (CC BY) license (http://creativecommons.org/licenses/by/4.0/).
Share and Cite
Kazmi, S.A.A.; Janjua, A.K.; Shin, D.R. Enhanced Voltage Stability Assessment Index Based Planning Approach for Mesh Distribution Systems. Energies 2018, 11, 1213. https://doi.org/10.3390/en11051213
Kazmi SAA, Janjua AK, Shin DR. Enhanced Voltage Stability Assessment Index Based Planning Approach for Mesh Distribution Systems. Energies. 2018; 11(5):1213. https://doi.org/10.3390/en11051213
Chicago/Turabian StyleKazmi, Syed Ali Abbas, Abdul Kashif Janjua, and Dong Ryeol Shin. 2018. "Enhanced Voltage Stability Assessment Index Based Planning Approach for Mesh Distribution Systems" Energies 11, no. 5: 1213. https://doi.org/10.3390/en11051213
APA StyleKazmi, S. A. A., Janjua, A. K., & Shin, D. R. (2018). Enhanced Voltage Stability Assessment Index Based Planning Approach for Mesh Distribution Systems. Energies, 11(5), 1213. https://doi.org/10.3390/en11051213

