Maximum Power Point Tracking Control of a Thermoelectric Generation System Using the Extremum Seeking Control Method
Abstract
:1. Introduction
2. Thermoelectric Generators
3. The dc-dc Converters and MPPT
3.1. Extremum Seeking Control MPPT Technique
3.2. Perturb & Observe MPPT Technique
4. Results and Discussion
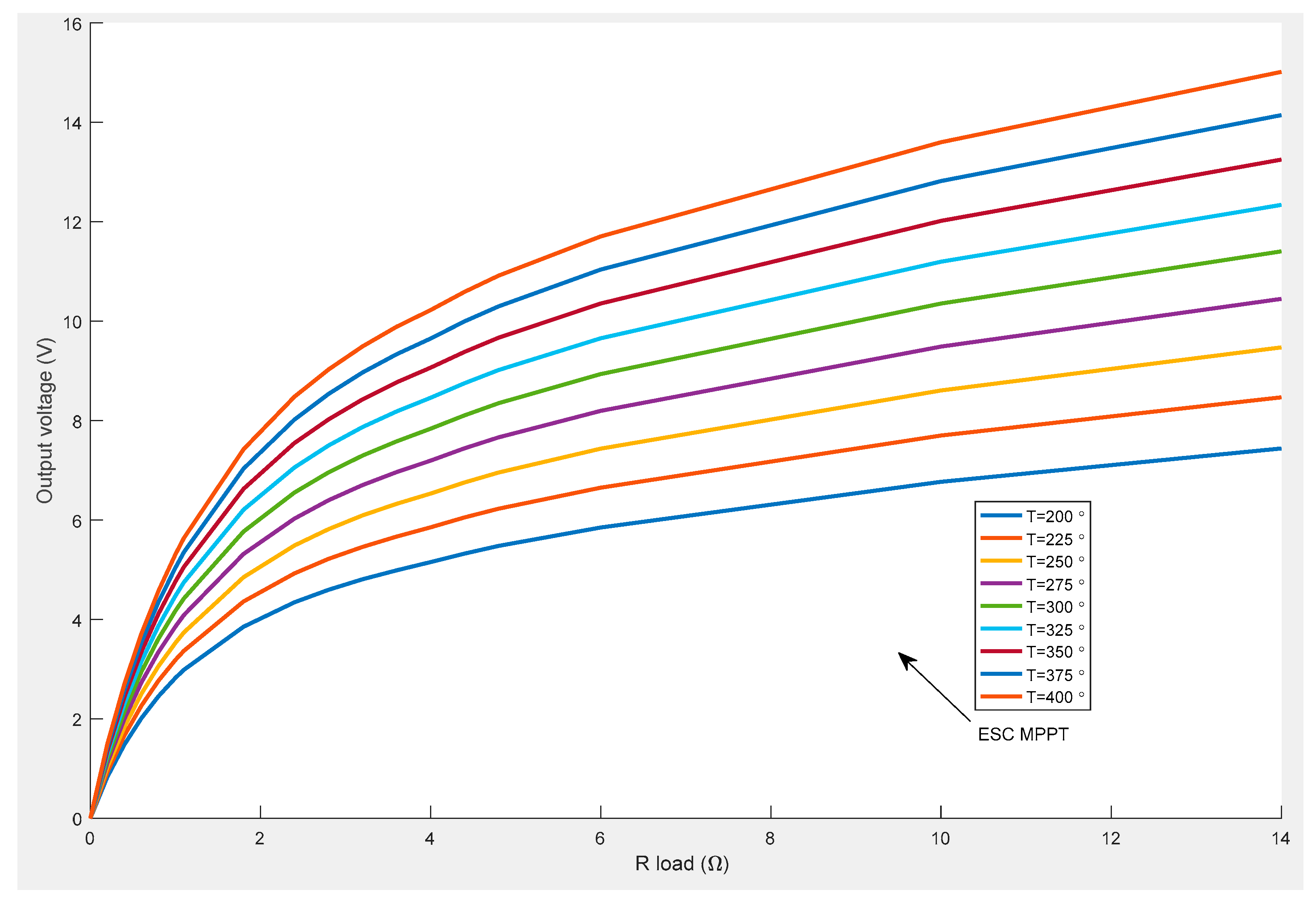
4.1. Results of ESC MPPT Method
4.2. Results of P&O MPPT Method
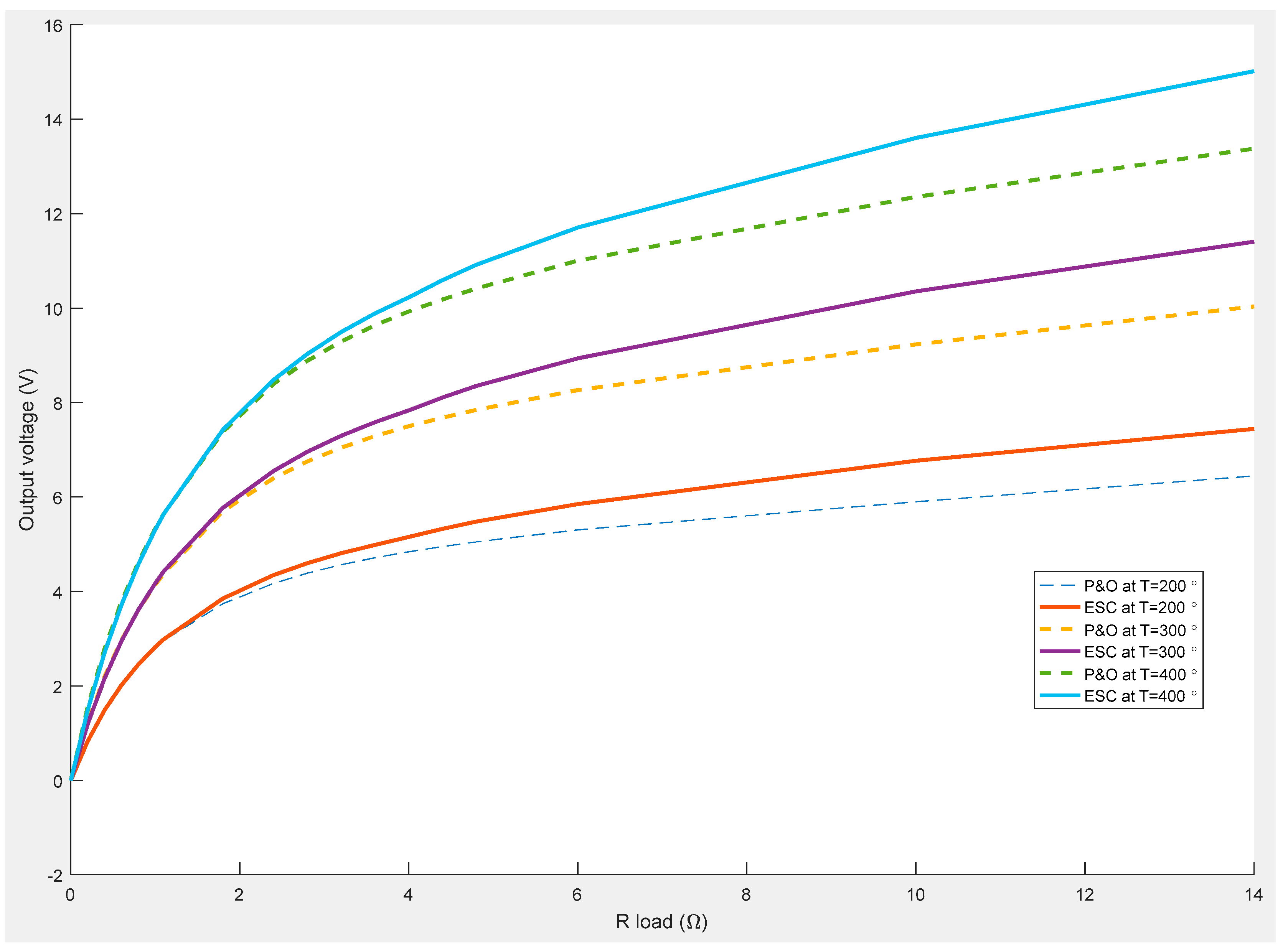
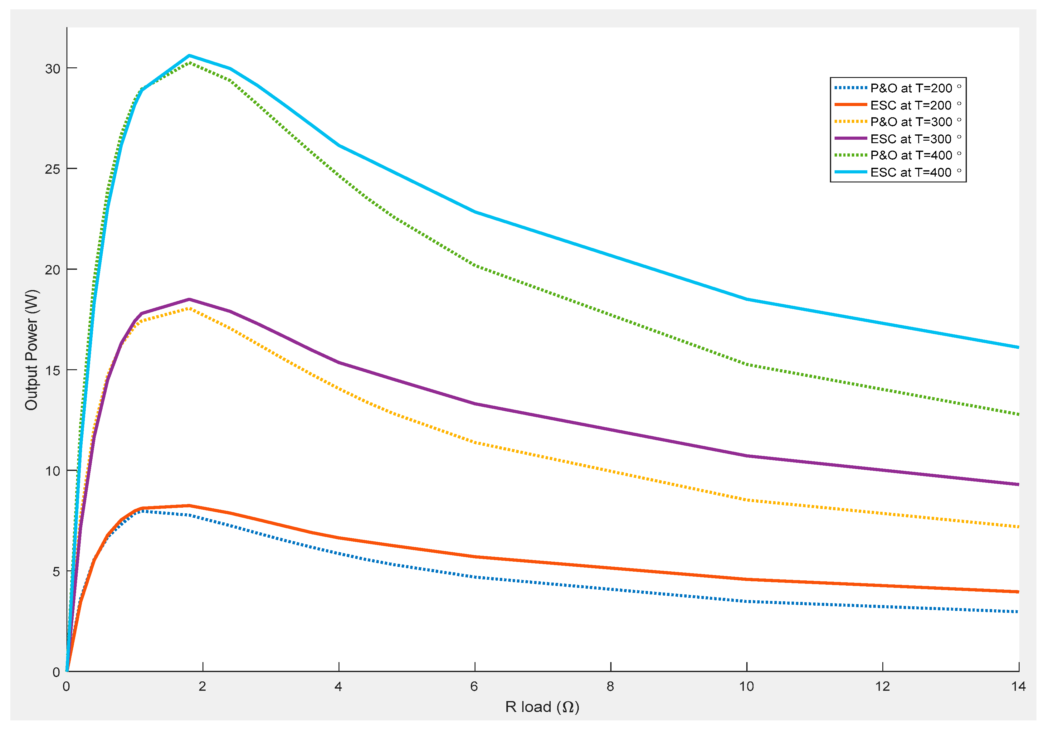
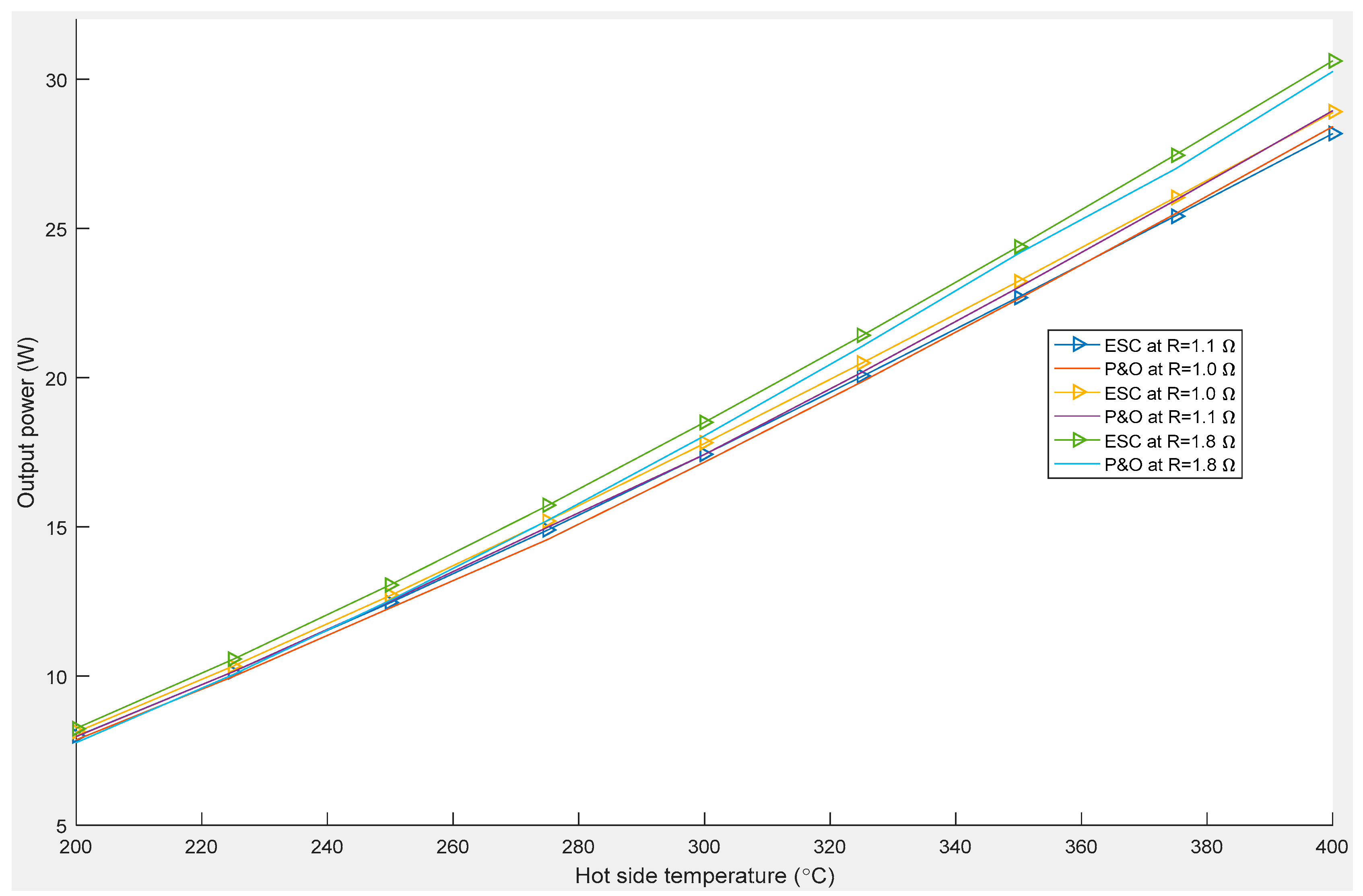
4.3. Comparison of Both MPPT Techniques
5. Conclusions
Acknowledgments
Author Contributions
Conflicts of Interest
References
- Savani, I.; Waage, M.H.; Børset, M.; Kjelstrup, S.; Wilhelmsen, Ø. Harnessing thermoelectric power from transient heat sources: Waste heat recovery from silicon production. Energy Convers. Manag. 2017, 138, 171–182. [Google Scholar] [CrossRef]
- Hajji, M.; Labrim, H.; Benaissa, M.; Laazizi, A.; Ez-Zahraouy, H.; Ntsoenzok, E.; Meot, J.; Benyoussef, A. Photovoltaic and thermoelectric indirect coupling for maximum solar energy exploitation. Energy Convers. Manag. 2017, 136, 184–191. [Google Scholar] [CrossRef]
- Suter, C.; Jovanovic, Z.R.; Steinfeld, A. A 1 kWe thermoelectric stack for geothermal power generation—Modeling and geometrical optimization. Appl. Energy 2012, 99, 379–385. [Google Scholar] [CrossRef]
- Hyland, M.; Hunter, H.; Liu, J.; Veety, E.; Vashaee, D. Wearable thermoelectric generators for human body heat harvesting. Appl. Energy 2016, 182, 518–524. [Google Scholar] [CrossRef]
- Montecucco, A.; Siviter, J.; Knox, A.R. Combined heat and power system for stoves with thermoelectric generators. Appl. Energy 2015, 185, 1336–1342. [Google Scholar] [CrossRef]
- Champier, D. Thermoelectric generators: A review of applications. Energy Convers. Manag. 2017, 140, 167–181. [Google Scholar] [CrossRef]
- Twaha, S.; Zhu, J.; Yan, Y.; Li, B. A comprehensive review of thermoelectric technology: Materials, applications, modelling and performance improvement. Renew. Sustain. Energy Rev. 2016, 65, 698–726. [Google Scholar] [CrossRef]
- Huang, K.; Li, B.; Twaha, S. Comprehensive Study on Novel Concentric Cylindrical Thermoelectric Power Generation System. Appl. Therm. Eng. 2016, 117, 501–510. [Google Scholar] [CrossRef]
- Flora, A.; Ngondi, N.; Lee, H.; Wee, D. Technical and economic analysis of thermoelectric modules with macroporous thermoelectric elements. Energy Convers. Manag. 2017, 135, 327–335. [Google Scholar]
- Huang, Y.X.; Wang, X.D.; Cheng, C.H.; Lin, D.T.W. Geometry optimization of thermoelectric coolers using simplified conjugate-gradient method. Energy 2013, 59, 689–697. [Google Scholar] [CrossRef]
- Lee, H.; Seshadri, R.C.; Han, S.J.; Sampath, S. TiO2−X based thermoelectric generators enabled by additive and layered manufacturing. Appl. Energy 2017, 192, 24–32. [Google Scholar] [CrossRef]
- Dunham, M.T.; Barako, M.T.; LeBlanc, S.; Asheghi, M.; Chen, B.; Goodson, K.E. Power density optimization for micro thermoelectric generators. Energy 2015, 93, 2006–2017. [Google Scholar] [CrossRef]
- Ramli, M.A.M.; Twaha, S.; Ishaque, K.; Al-Turki, Y.A. A review on maximum power point tracking for photovoltaic systems with and without shading conditions. Renew. Sustain. Energy Rev. 2017, 67, 144–159. [Google Scholar] [CrossRef]
- Yusop, A.M.; Mohamed, R.; Mohamed, A. Inverse dynamic analysis type of MPPT control strategy in a thermoelectric-solar hybrid energy harvesting system. Renew. Energy 2016, 86, 682–692. [Google Scholar] [CrossRef]
- Paraskevas, A.; Koutroulis, E. A simple maximum power point tracker for thermoelectric generators. Energy Convers. Manag. 2016, 108, 355–365. [Google Scholar] [CrossRef]
- Yu, C.; Chau, K.T. Thermoelectric automotive waste heat energy recovery using maximum power point tracking. Energy Convers. Manag. 2009, 50, 1506–1512. [Google Scholar] [CrossRef]
- Manikandan, S.; Kaushik, S.C. Thermodynamic studies and maximum power point tracking in thermoelectric generator-thermoelectric cooler combined system. Cryogenics 2015, 67, 52–62. [Google Scholar] [CrossRef]
- Twaha, S.; Zhu, J.; Yan, Y.; Li, B.; Huang, K. Performance analysis of thermoelectric generator using DC-DC converter with incremental conductance based maximum power point tracking. Energy Sustain. Dev. 2017, 37, 86–98. [Google Scholar] [CrossRef]
- Liu, Y.H.; Chiu, Y.H.; Huang, J.W.; Wang, S.C. A novel maximum power point tracker for thermoelectric generation system. Renew. Energy 2016, 97, 306–318. [Google Scholar] [CrossRef]
- Shi, Y.; Chen, X.; Deng, Y.; Gao, H.; Zhu, Z.; Ma, G.; Han, Y.; Hong, Y. Design and performance of compact thermoelectric generators based on the extended three-dimensional thermal contact interface. Energy Convers. Manag. 2015, 106, 110–117. [Google Scholar] [CrossRef]
- Bell, L.E. Cooling, heating, generating power, and recovering waste heat with thermoelectric systems. Science 2008, 321, 1457–1461. [Google Scholar] [CrossRef] [PubMed]
- Electropaedia, Battery and Energy Technologies. Available online: http://www.mpoweruk.com/thermoelectricity.htm (accessed on 13 March 2017).
- Al Maimani, M.; Black, J.J.; Aldous, L. Achieving pseudo-‘n-type p-type’ in-series and parallel liquid thermoelectrics using all-iron thermoelectrochemical cells with opposite Seebeck coefficients. Electrochem. Commun. 2016, 72, 181–185. [Google Scholar] [CrossRef]
- Yamashita, O. Resultant Seebeck coefficient formulated by combining the Thomson effect with the intrinsic Seebeck coefficient of a thermoelectric element. Energy Convers. Manag. 2009, 50, 2394–2399. [Google Scholar] [CrossRef]
- Oh, J.; Yoo, H.; Choi, J.; Kim, J.Y.; Lee, D.S.; Lee, J.; Kim, W.N.; Grossman, J.C.; Park, M.; Kim, J.K.; et al. Significantly reduced thermal conductivity and enhanced thermoelectric properties of single- and bi-layer graphene nanomeshes with sub-10 nm neck-width. Nano Energy 2016, 35, 26–35. [Google Scholar] [CrossRef]
- Li, W.; Paul, M.C.; Siviter, J.; Montecucco, A.; Knox, A.R.; Sweet, T.; Min, G.; Baig, H.; Mallick, T.K.; Han, G.; et al. Thermal performance of two heat exchangers for thermoelectric generators. Case Stud. Therm. Eng. 2016, 8, 164–175. [Google Scholar] [CrossRef]
- Meng, J.-H.; Wang, X.-D.; Chen, W.-H. Performance investigation and design optimization of a thermoelectric generator applied in automobile exhaust waste heat recovery. Energy Convers. Manag. 2016, 120, 71–80. [Google Scholar] [CrossRef]
- Lv, S.; He, W.; Wang, L.; Li, G.; Ji, J.; Chen, H.; Zhang, G. Design, fabrication and feasibility analysis of a thermo-electric wearable helmet. Appl. Therm. Eng. 2016, 109, 138–146. [Google Scholar] [CrossRef]
- Ishaque, K.; Salam, Z.; Lauss, G. The performance of perturb and observe and incremental conductance maximum power point tracking method under dynamic weather conditions. Appl. Energy 2014, 119, 228–236. [Google Scholar] [CrossRef]
- Lei, P.; Li, Y.; Seem, J.E. Sequential ESC-Based Global MPPT Control for Photovoltaic Array With Variable Shading. IEEE Trans. Sustain. Energy 2011, 2, 348–358. [Google Scholar]
- Heydari-doostabad, H.; Keypour, R.; Reza, M. A new approach in MPPT for photovoltaic array based on Extremum Seeking Control under uniform and non-uniform irradiances. Sol. Energy 2013, 94, 28–36. [Google Scholar] [CrossRef]
- Biagi, E.; Pasetti, G.; Tinfena, F.; Serventi, R.; Fanucci, L. A High Voltage High Power high frequency Boost/Flyback DC-DC converter for automotive applications. In Proceedings of the 2012 International Symposium on Power Electronics, Electrical Drives, Automation and Motion (SPEEDAM), Sorrento, Italy, 20–22 June 2012; pp. 1166–1171. [Google Scholar]
- Hunnekens, B.G.B.; Haring, M.A.M.; van de Wouw, N.; Nijmeijer, H. A dither-free extremum-seeking control approach using 1st-order least-squares fits for gradient estimation. In Proceedings of the IEEE 53rd Annual Conference on Decision and Control (CDC), Los Angeles, CA, USA, 15–17 December 2014; pp. 2679–2684. [Google Scholar]
- Malek, H. Extremum Seeking Control (ESC) for Maximum Power Point Tracking (MPPT) of Photo-Voltaic System. 2016. Available online: Https://uk.mathworks.com/matlabcentral/fileexchange/56545-extremum-seeking-control--esc--for-maximum-power-point-tracking--mppt--of-photo-voltaic-system (accessed on 22 January 2017).
- Malek, H.; Dadras, S.; Chen, Y. Performance analysis of fractional order extremum seeking control. ISA Trans. 2016, 63, 281–287. [Google Scholar] [CrossRef] [PubMed]
- Li, M. Thermoelectric-Generator-Based DC-DC Conversion Network for Automotive Applications. J. Electron. Mater. 2011, 40, 1136–1143. [Google Scholar] [CrossRef]
- Ishaque, K.; Salam, Z. A review of maximum power point tracking techniques of PV system for uniform insolation and partial shading condition. Renew. Sustain. Energy Rev. 2013, 19, 475–488. [Google Scholar] [CrossRef]
- Ahmed, J.; Salam, Z. An improved perturb and observe (P & O) maximum power point tracking (MPPT) algorithm for higher efficiency. Appl. Energy 2015, 150, 97–108. [Google Scholar]
- Twaha, S.; Zhu, J.; Li, B.; Yan, Y.; Huang, K. Parameter analysis of thermoelectric generator/DC-DC converter system with maximum power point tracking. Energy Sustain. Dev. 2017, 41, 49–60. [Google Scholar] [CrossRef]
















| Converter Component | Symbol | Value | 
|---|---|---|
| Inductor | L1 | 30 µH | 
| Diode Forward voltage On resistance | D1 | 0.38 V 0.2 Ω | 
| Input capacitor | Cin | 800 µF | 
| Series resistance | ESR | 0.05 Ω | 
| Output capacitor | Cout | 800 µF | 
| SwitchClosed resistance | R_closed | 0.0026 Ω | 
| Open conductance | G_open | 0.1n siemens | 
© 2017 by the authors. Licensee MDPI, Basel, Switzerland. This article is an open access article distributed under the terms and conditions of the Creative Commons Attribution (CC BY) license (http://creativecommons.org/licenses/by/4.0/).
Share and Cite
Twaha, S.; Zhu, J.; Maraaba, L.; Huang, K.; Li, B.; Yan, Y. Maximum Power Point Tracking Control of a Thermoelectric Generation System Using the Extremum Seeking Control Method. Energies 2017, 10, 2016. https://doi.org/10.3390/en10122016
Twaha S, Zhu J, Maraaba L, Huang K, Li B, Yan Y. Maximum Power Point Tracking Control of a Thermoelectric Generation System Using the Extremum Seeking Control Method. Energies. 2017; 10(12):2016. https://doi.org/10.3390/en10122016
Chicago/Turabian StyleTwaha, Ssennoga, Jie Zhu, Luqman Maraaba, Kuo Huang, Bo Li, and Yuying Yan. 2017. "Maximum Power Point Tracking Control of a Thermoelectric Generation System Using the Extremum Seeking Control Method" Energies 10, no. 12: 2016. https://doi.org/10.3390/en10122016
APA StyleTwaha, S., Zhu, J., Maraaba, L., Huang, K., Li, B., & Yan, Y. (2017). Maximum Power Point Tracking Control of a Thermoelectric Generation System Using the Extremum Seeking Control Method. Energies, 10(12), 2016. https://doi.org/10.3390/en10122016
 
        



 
       
       
       