Normal Behaviour Models for Wind Turbine Vibrations: Comparison of Neural Networks and a Stochastic Approach
Abstract
1. Introduction
2. Data Description
3. Methods and Results
3.1. Neural Networks: A Deterministic Approach
3.2. Stochastic Approach: The Langevin Model
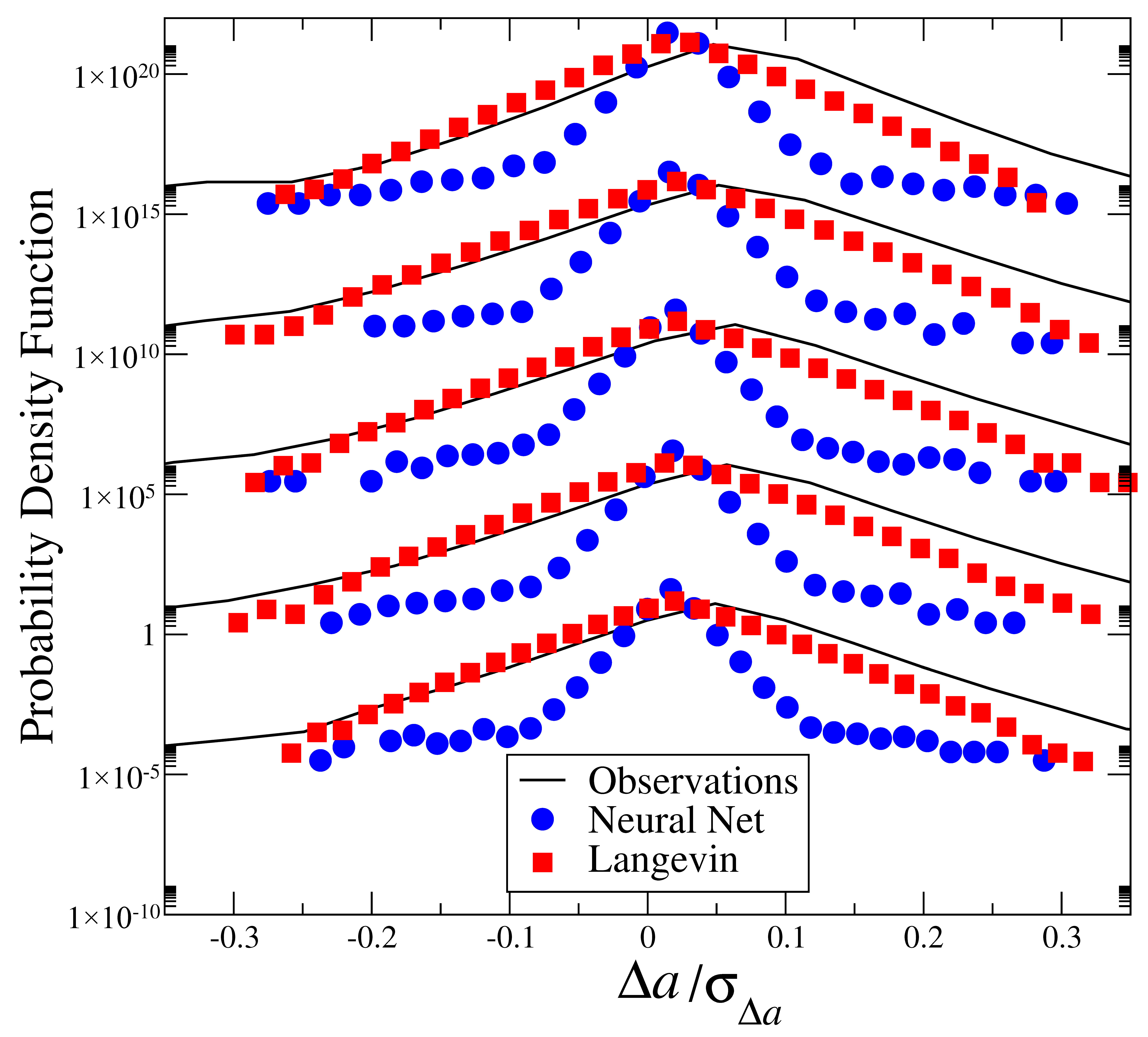
3.3. Performance Evaluation
4. Discussion
4.1. Comparing Both Approaches
4.2. Stochastic Modelling Applied to the Monitoring of Tower Vibrations
5. Conclusions
Acknowledgments
Author Contributions
Conflicts of Interest
References
- Yang, W.; Tavner, P.J.; Crabtree, C.J.; Feng, Y.; Qiu, Y. Wind turbine condition monitoring: Technical and commercial challenges. Wind Energy 2014, 17, 673–693. [Google Scholar] [CrossRef]
- Kusiak, A.; Zhang, Z.; Verma, A. Prediction, operations, and condition monitoring in wind energy. Energy 2013, 60, 1–12. [Google Scholar] [CrossRef]
- Wang, K.S.; Sharma, V.S.; Zhang, Z.Y. SCADA data based condition monitoring of wind turbines. Adv. Manuf. 2014, 2, 61–69. [Google Scholar] [CrossRef]
- Tchakoua, P.; Wamkeue, R.; Ouhrouche, M.; Slaoui-Hasnaoui, F.; Tameghe, T.; Ekemb, G. Wind Turbine Condition Monitoring: State-of-the-Art Review, New Trends, and Future Challenges. Energies 2014, 7, 2595–2630. [Google Scholar]
- Zaher, A.; McArthur, S.; Infield, D. Online wind turbine fault detection through automated SCADA data analysis. Wind Energy 2009, 12, 574–593. [Google Scholar] [CrossRef]
- Rahman, M.; Ong, Z.; Chong, T.; Julai, S.; Khoo, S. Performance enhancement of wind turbine systems with vibration control: A review. Renew. Sustain. Energy Rev. 2015, 51, 43–54. [Google Scholar] [CrossRef]
- Bogoevska, S.; Spiridonakos, M.; Chatzi, E.; Dumova-Jovanoska, E.; Höffer, R. A Data-Driven Diagnostic Framework for Wind Turbine Structures: A Holistic Approach. Sensors 2017, 17, 720. [Google Scholar] [CrossRef] [PubMed]
- Wang, J.; Heng, J.; Xiao, L.; Wang, C. Research and application of a combined model based on multi-objective optimization for multi-step ahead wind speed forecasting. Energy 2017, 125, 591–613. [Google Scholar] [CrossRef]
- Cruz Garcia, M.; Sanz-Bobi, M.A.; del Pico, J. SIMAP: Intelligent System for Predictive Maintenance. Application to the health condition monitoring of a windturbine gearbox. Comput. Ind. 2006, 57, 552–568. [Google Scholar] [CrossRef]
- Schlechtingen, M.; Ferreira Santos, I. Comparative analysis of neural network and regression based condition monitoring approaches for wind turbine fault detection. Mech. Syst. Signal Process. 2011, 25, 1849–1875. [Google Scholar] [CrossRef]
- Kusiak, A.; Verma, A. Analyzing bearing faults in wind turbines: A data-mining approach. Renew. Energy 2012, 48, 110–116. [Google Scholar] [CrossRef]
- Kusiak, A.; Zhang, Z. Analysis of Wind Turbine Vibrations Based on SCADA Data. J. Sol. Energy Eng. 2010, 132, 031008. [Google Scholar] [CrossRef]
- Zhang, Z.; Kusiak, A. Monitoring Wind Turbine Vibration Based on SCADA Data. J. Sol. Energy Eng. 2012, 134, 021004. [Google Scholar] [CrossRef]
- Bangalore, P.; Letzgus, S.; Karlsson, D.; Patriksson, M. An artificial neural network-based condition monitoring method for wind turbines, with application to the monitoring of the gearbox. Wind Energy 2017, 20, 1421–1438. [Google Scholar] [CrossRef]
- Lind, P.G.; Herráez, I.; Wächter, M.; Peinke, J. Fatigue Load Estimation through a Simple Stochastic Model. Energies 2014, 7, 8279–8293. [Google Scholar] [CrossRef]
- Russo, A.; Raischel, F.; Lind, P.G. Air quality prediction using optimal neural networks with stochastic variables. Atmos. Environ. 2013, 79, 822–830. [Google Scholar] [CrossRef]
- Müller, K.; Cheng, P.W. Validation of uncertainty in IEC damage calculations based on measurements from alpha ventus. Energy Procedia 2016, 94, 133–145. [Google Scholar] [CrossRef]
- Cheng, W.; Lutz, T.; Kühn, M.; Bartsch, J.; Kruse, J.; Schaumann, P.; Bange, J. Probabilistische Lastbeschreibung, Monitoring und Reduktion der Lasten zukünftiger Offshore-Windenergieanlagen (OWEA Loads); Technical Report; WindForS and ForWind and Adwen GmbH and Senvion: Oldenburg/Stuttgart, Germany, 2017. [Google Scholar]
- Mücke, T.; Wächter, M.; Milan, P.; Peinke, J. Langevin power curve analysis for numerical wind energy converter models with new insights on high frequency power performance. Wind Energy 2015, 18, 1953–1971. [Google Scholar] [CrossRef]
- Rinn, P.; Heißelmann, H.; Wächter, M.; Peinke, J. Stochastic method for in-situ damage analysis. Eur. Phys. J. B 2013, 86, 3. [Google Scholar] [CrossRef]
- Shmueli, G. To Explain or to Predict? Stat. Sci. 2010, 25, 289–310. [Google Scholar] [CrossRef]
- Borovicka, T.; Jirina, M.J.; Kordik, P.; Jirina, M. Selecting representative data sets. In Advances in Data Mining Knowledge Discovery and Applications; Karahoca, A., Ed.; InTech: Rijeka, Croatia, 2012; pp. 43–70. [Google Scholar]
- Hastie, T.; Tibshirani, R.; Friedman, J. The Elements of Statistical Learning: Data Mining, Inference, and Prediction, 2nd ed.; Springer: New York, NY, USA, 2013; p. 759. [Google Scholar]
- May, R.; Dandy, G.; Maier, H. Review of input variable selection methods for artificial neural networks. In Artificial Neural Networks—Methodological Advances and Biomedical Applications; Suzuki, K., Ed.; InTech Europe: Rijeka, Croatia, 2011; pp. 19–44. [Google Scholar]
- Friedrich, R.; Peinke, J. Description of a Turbulent Cascade by a Fokker-Planck Equation. Phys. Rev. Lett. 1997, 78, 863. [Google Scholar] [CrossRef]
- Siegert, S.; Friedrich, R.; Peinke, J. Analysis of Data of Stochastic Systems. Phys. Lett. A 1998, 243, 275–280. [Google Scholar] [CrossRef]
- Friedrich, R.; Peinke, J.; Sahimi, M.; Tabar, M. Approaching complexity by stochastic methods: From biological systems to turbulence. Phys. Rep. 2011, 506, 87–167. [Google Scholar] [CrossRef]
- Rinn, P.; Lind, P.; Wächter, M.; Peinke, J. The Langevin Approach: An R Package for Modeling Stochastic Processes. J. Open Res. Softw. 2016, 4, e34. [Google Scholar] [CrossRef]
- Rinn, P.; Lind, P.G.; Bastine, D. Langevin 1D and 2D. 2015. Available online: https://cran.r-project.org/web/packages/Langevin/ (accessed on 28 October 2017 ).
- Lehle, B. Analysis of stochastic time series in the presence of strong measurement noise. Phys. Rev. E 2011, 83, 021113. [Google Scholar] [CrossRef] [PubMed]
- Anvari, M.; Tabar, R.R.; Peinke, J.; Lehnertz, K. Disentangling the stochastic behaviour of complex time series. Nat. Sci. Rep. 2016, 6, 35435. [Google Scholar] [CrossRef] [PubMed]
- Zhang, Z.; Verma, A.; Member, S.; Kusiak, A. Fault Analysis and Condition Monitoring of the Wind Turbine Gearbox. IEEE Trans. Energy Convers. 2012, 27, 526–535. [Google Scholar] [CrossRef]
- Santos, P.; Maudes, J.; Bustillo, A. Identifying maximum imbalance in datasets for fault diagnosis of gearboxes. J. Intell. Manuf. 2015. [Google Scholar] [CrossRef]








| Signal | Mean | Std. Dev. | Skewness | Kurtosis |
|---|---|---|---|---|
| Measurements | −2.07 × 10−3 | 24.7 × 10−3 | 11.6 × 10−3 | 5.07 |
| NN | −2.15 × 10−3 | 7.39 × 10−3 | −30.1 × 10−3 | 6.31 |
| Langevin model | −1.71 × 10−3 | 25.6 × 10−3 | −3.59 × 10−3 | 2.37 |
| Signal | MAE | SDofAE | MSE | SDofSE |
|---|---|---|---|---|
| NN | 0.031 | 0.032 | 2.0 × 10−3 | 65.6 × 10−3 |
| Langevin model | 0.027 | 0.031 | 1.6 × 10−3 | 0.7 × 10−3 |
© 2017 by the authors. Licensee MDPI, Basel, Switzerland. This article is an open access article distributed under the terms and conditions of the Creative Commons Attribution (CC BY) license (http://creativecommons.org/licenses/by/4.0/).
Share and Cite
Lind, P.G.; Vera-Tudela, L.; Wächter, M.; Kühn, M.; Peinke, J. Normal Behaviour Models for Wind Turbine Vibrations: Comparison of Neural Networks and a Stochastic Approach. Energies 2017, 10, 1944. https://doi.org/10.3390/en10121944
Lind PG, Vera-Tudela L, Wächter M, Kühn M, Peinke J. Normal Behaviour Models for Wind Turbine Vibrations: Comparison of Neural Networks and a Stochastic Approach. Energies. 2017; 10(12):1944. https://doi.org/10.3390/en10121944
Chicago/Turabian StyleLind, Pedro G., Luis Vera-Tudela, Matthias Wächter, Martin Kühn, and Joachim Peinke. 2017. "Normal Behaviour Models for Wind Turbine Vibrations: Comparison of Neural Networks and a Stochastic Approach" Energies 10, no. 12: 1944. https://doi.org/10.3390/en10121944
APA StyleLind, P. G., Vera-Tudela, L., Wächter, M., Kühn, M., & Peinke, J. (2017). Normal Behaviour Models for Wind Turbine Vibrations: Comparison of Neural Networks and a Stochastic Approach. Energies, 10(12), 1944. https://doi.org/10.3390/en10121944

