Warming and Nitrogen Addition Change the Soil and Soil Microbial Biomass C:N:P Stoichiometry of a Meadow Steppe
Abstract
1. Introduction
2. Materials and Methods
2.1. Study Site
2.2. Experimental Design
2.3. Soil Microclimate
2.4. Soil Sampling
2.5. SOC, and Soil N and P
2.6. Soil Microbial Biomass C, N, P
2.7. Statistical Analysis
3. Results
3.1. Soil Microclimate
3.2. SOC, Soil Total N, total P
3.3. Soil Microbial Biomass C, N, P
3.4. Correlation of Soil and Soil Microbial Biomass C, N, P With Soil Microclimate
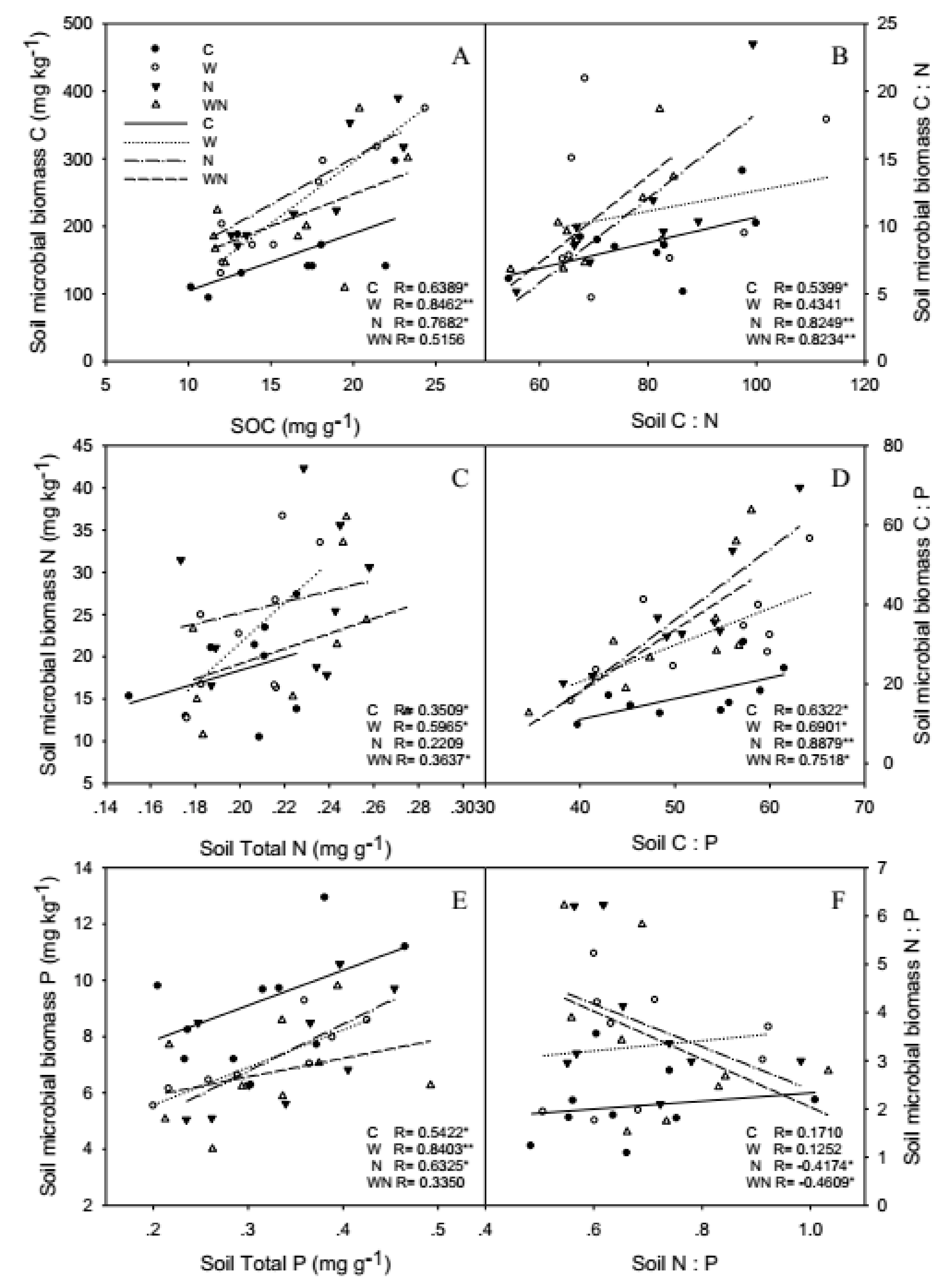
3.5. Correlation of SOC, Soil Total N, Total P With Soil Microbial Biomass C, N, P
4. Discussion
4.1. Responses of Soil C: N: P Stoichiometry to Warming and N Addition
4.2. Responses of Soil Microbial Biomass C: N: P Stoichiometry to Warming and N Addition
4.3. Responses of the Correlation of Soil and Soil Microbial Biomass C: N: P Stoichiometry to Warming and N Addition
5. Conclusions
Author Contributions
Funding
Conflicts of Interest
References
- IPCC. Climate change 2014: Synthesis report. In Contribution of Working Groups I, II, and III to the Fifth Assessment Report of the Intergovernmental Panel on Climate Change; Pachauri, R.K., Meyer, L.A., Eds.; IPCC: Geneva, Switzerland, 2014; pp. 1–151. [Google Scholar]
- Aerts, R. The freezer defrosting: Global warming and litter decomposition rates in cold biomes. J. Ecol. 2006, 94, 713–724. [Google Scholar] [CrossRef]
- Galloway, J.N.; Dentener, F.J.; Capone, D.G.; Boyer, E.W.; Howarth, R.W.; Seitzinger, S.P.; Asner, G.P.; Cleveland, C.C.; Green, P.A.; Holland, E.A.; et al. Nitrogen Cycles: Past, Present, and Future. Biogeochemistry 2004, 70, 153–226. [Google Scholar] [CrossRef]
- Tian, H.Q.; Chen, G.S.; Zhang, C.; Melillo, J.M.; Hall, C.A.S. Pattern and variation of C: N: P ratios in China’s soils: A synthesis of observational data. Biogeochemistry 2010, 98, 139–151. [Google Scholar] [CrossRef]
- Wang, Y.P.; Law, R.M.; Pak, B. A global model of carbon, nitrogen and phosphorus cycles for the terrestrial biosphere. Biogeosciences 2010, 7, 2261–2282. [Google Scholar] [CrossRef]
- Schindlbacher, A.; Rodler, A.; Kuffner, M.; Kitzler, B.; Sessitsch, A.; Zechmeister-Boltenstern, S. Experimental warming effects on the microbial community of a temperate mountain forest soil. Soil Biol. Biochem. 2011, 43, 1417–1425. [Google Scholar] [CrossRef] [PubMed]
- Haugwitz, M.S.; Bergmark, L.; Priemé, A.; Christensen, S.; Beier, C.; Michelsen, A. Soil microorganisms respond to five years of climate change manipulations and elevated atmospheric CO2 in a temperate heath ecosystem. Plant Soil 2014, 374, 211–222. [Google Scholar] [CrossRef]
- Castle, S.C.; Neff, J.C. Plant response to nutrient availability across variable bedrock geologies. Ecosystems 2009, 12, 101–113. [Google Scholar] [CrossRef]
- Ehlers, K.; Bakken, L.R.; Frostegård, Å.; Frossard, E.; Bünemann, E.K. Phosphorus limitation in a Ferralsol: Impact on microbial activity and cell internal P pools. Soil Biol. Biochem. 2010, 42, 558–566. [Google Scholar] [CrossRef]
- Bünemann, E.K.; Prusisz, B.; Ehlers, K. Characterization of Phosphorus Forms in Soil Microorganisms. In Phosphorus in Action Biological Processes in Soil Phosphorus Cycling; Bünemann, E.K., Oberson, A., Frossard, E., Eds.; Springer: Heidelberg, Germany, 2011; pp. 37–58. [Google Scholar] [CrossRef]
- LeCain, D.R.; Follett, R.F.; Williams, D.G.; Dijkstra, F.A.; Pendall, E.; Morgan, J.A.; Blumenthal, D.M.; Carrillo, Y. Climate change alters stoichiometry of phosphorus and nitrogen in a semiarid grassland. New Phytol. 2012, 196, 807–815. [Google Scholar] [CrossRef]
- Griffiths, B.S.; Spilles, A.; Bonkowski, M. C: N: P stoichiometry and nutrient limitation of the soil microbial biomass in a grazed grassland site under experimental P limitation or excess. Ecol. Process. 2012, 1, 6. [Google Scholar] [CrossRef]
- Bragazza, L.; Tahvanainen, T.; Kutnar, L.; Rydin, H.; Limpens, J.; Hajek, M.; Grosvernie, P.; Hajek, T.; Hajkova, P.; Hansen, I.; et al. Nutritional constraints in ombrotrophic Sphagnum plants under increasing atmospheric nitrogen deposition in Europe. New Phytol. 2004, 163, 609–616. [Google Scholar] [CrossRef]
- Pardo, L.H.; McNulty, S.G.; Boggs, J.L.; Duke, S. Regional patterns in foliar N-15 across a gradient of nitrogen deposition in the northeastern US. Environ. Pollut. 2007, 149, 293–302. [Google Scholar] [CrossRef] [PubMed]
- Elser, J.J.; Schampel, J.H.; Garcia-Pichel, F.; Wade, B.D.; Souza, V.; Eguiarte, L.; Escalante, A.; Farmer, J.D. Effects of phosphorus enrichment and grazing snails on modern stromatolitic microbial communities. Freshw. Biol. 2005, 50, 1808–1825. [Google Scholar] [CrossRef]
- Han, W.; Fang, J.Y.; Guo, D.; Zhang, Y. Leaf nitrogen and phosphorus stoichiometry across 753 terrestrial plant species in China. New Phytol. 2005, 168, 377–385. [Google Scholar] [CrossRef] [PubMed]
- Wang, Z.M.; Song, K.S.; Zhang, B.; Liu, D.W. Analyses of features of agroclimatic changes in Sonnen plain in the past 40 years. Chin. Agric. Sci. Bull. 2006, 22, 241–246. [Google Scholar]
- Bai, Y.; Wu, J.; Clark, C.M.; Naeem, S.; Pan, Q.; Huang, J.; Zhang, L.; Han, X. Tradeoffs and thresholds in the effects of nitrogen addition on biodiversity and ecosystem functioning: Evidence from inner Mongolia Grasslands. Glob. Chang. Boil. 2010, 16, 358–372. [Google Scholar] [CrossRef]
- Qu, G.; Guo, J. The relationship between different plant communities and soil characteristics in Sonnen grassland. Acta Prataculturae Sin. 2003, 12, 18–22. [Google Scholar]
- Nelson, D.W.; Sommers, L.E. Total carbon, organic carbon, and organic matter. In Methods of Soil Analysis; Page, A.L., Miller, R.H., Keeney, D.R., Eds.; American Society of Agronomy: Madison, WI, USA, 1982; pp. 539–579. [Google Scholar]
- Parkinson, J.A.; Allen, S.E. A wet oxidation procedure suitable for the determination of nitrogen and mineral nutrients in biological material. Commun. Soil Sci. Plant Anal. 1975, 6, 1–11. [Google Scholar] [CrossRef]
- Brookes, P.C.; Landman, A.; Pruden, G.; Jenkinson, D.S. Chloroform fumigation and the release of soil-nitrogen—A rapid direct extraction method to measure microbial biomass nitrogen in soil. Soil Biol. Biochem. 1985, 17, 837–842. [Google Scholar] [CrossRef]
- Vance, E.D.; Brookes, P.C.; Jenkinson, D.S. An extraction method for measuring soil microbial biomass-C. Soil Biol. Biochem. 1987, 19, 703–707. [Google Scholar] [CrossRef]
- Hedley, M.J.; Stewart, J.W.B. Method to measure microbial phosphate in soils. Soil Biol. Biochem. 1982, 14, 377–385. [Google Scholar] [CrossRef]
- Yue, K.; Fornara, D.A.; Yang, W.Q.; Peng, Y.; Li, Z.J.; Wu, F.Z.; Peng, C.H. Effects of three global change drivers on terrestrial C: N: P stoichiometry: A global synthesis. Glob. Chang. Biol. 2016, 23, 2450–2463. [Google Scholar] [CrossRef] [PubMed]
- Jiao, F.; Shi, X.R.; Han, F.P.; Yuan, Z.Y. Increasing aridity, temperature and soil pH induce soil C-N-P imbalance in grasslands. Sci. Rep. 2016, 6, 19601. [Google Scholar] [CrossRef] [PubMed]
- Burke, I.C.; Elliot, E.T.; Cole, C.V. Influence of macroclimate, landscape position, and management on soil organic matter in agroecosystems. Ecol. Appl. 1995, 5, 124–131. [Google Scholar] [CrossRef]
- Piatek, K.B.; Allen, H.L. Nitrogen mineralization in a pine plantation fifteen years after harvesting and site preparation. Soil Sci. Soc. Am. J. 1999, 63, 990–998. [Google Scholar] [CrossRef]
- An, Y.; Wan, S.; Zhou, X.; Subedar, A.A.; Wallace, L.L.; Luo, Y. Plant nitrogen concentration, use efficiency, and contents in a tallgrass prairie ecosystem under experimental warming. Glob. Chang. Biol. 2005, 11, 1733–1744. [Google Scholar] [CrossRef]
- Sardans, J.; Peñuelas, J.; Estiarte, M. Changes in soil enzymes related to C and N cycle and in soil C and N content under prolonged warming and drought in a Mediterranean shrubland. Appl. Soil Ecol. 2008, 39, 223–235. [Google Scholar] [CrossRef]
- Carrillo, Y.; Dijkstra, F.A.; Pendall, E.; Morgan, J.A.; Blumenthal, D.M. Controls over soil nitrogen pools in a semiarid grassland under elevated CO2 and warming. Ecosystems 2012, 15, 761–774. [Google Scholar] [CrossRef]
- Sardans, J.; Rivas-Ubach, A.; Penuelas, J. The C: N: P stoichiometry of organisms and ecosystems in a changing world: A review and perspectives. Perspect. Plant Ecol. Evol. Syst. 2012, 14, 33–47. [Google Scholar] [CrossRef]
- Zhong, X.L.; Li, J.T.; Li, X.J.; Ye, Y.C.; Liu, S.S.; Hallett, P.D.; Ogden, M.R.; Naveed, M. Physical protection by soil aggregates stabilizes soil organic carbon under simulated N deposition in a subtropical forest of China. Geoderma 2017, 285, 323–332. [Google Scholar] [CrossRef]
- Gong, S.W.; Zhang, T.; Guo, R.; Cao, H.B.; Shi, L.X.; Guo, J.X.; Sun, W. Response of soil enzyme activity to warming and nitrogen addition in a meadow steppe. Soil Res. 2015, 53, 241–252. [Google Scholar] [CrossRef]
- Robinson, C.H.; Saunders, P.W.; Madan, N.J.; Pryce-Miller, E.J.; Pentecost, A. Does nitrogen deposition affect soil microfungal diversity and soil N and P dynamics in a high Arctic ecosystem? Glob. Chang. Biol. 2004, 10, 1065–1079. [Google Scholar] [CrossRef]
- Throop, H.L.; Holland, E.A.; Parton, W.J.; Ojima, D.; Keough, C. Effects of nitrogen deposition and insect herbivory on patterns of ecosystem level carbon and nitrogen dynamics: Results from the century model. Glob. Chang. Biol. 2004, 10, 1092–1105. [Google Scholar] [CrossRef]
- Aber, J.D.; McDowell, W.; Nadelhoffer, K.J.; Magill, A.; Berntson, G.; Kamakea, M. Nitrogen saturation in temperate forest ecosystems. Biol. Sci. 1998, 48, 921–934. [Google Scholar] [CrossRef]
- Neff, J.C.; Townsend, A.R.; Gleixner, G.; Lehman, S.J.; Turnbull, J.; Bowman, W.D. Variable effects of nitrogen additions on the stability and turnover of soil carbon. Nature 2002, 419, 915–917. [Google Scholar] [CrossRef] [PubMed]
- Mack, M.C.; Schuur, E.A.G.; Bret-Harte, M.S.; Shaver, G.R.; Chapin, F.S. Ecosystem carbon storage in arctic tundra reduced by long-term nutrient fertilization. Nature 2004, 431, 440–443. [Google Scholar] [CrossRef] [PubMed]
- Li, Y.; Niu, S.; Yu, G. Aggravated phosphorus limitation on biomass production under increasing nitrogen loading: A meta-analysis. Glob. Chang. Biol. 2016, 22, 934–943. [Google Scholar] [CrossRef]
- Deng, M.; Liu, L.; Sun, Z.; Piao, S.; Ma, Y.; Chen, Y.; Wang, J.; Qiao, C.; Wang, X.; Li, P. Increased phosphate uptake but not resorption alleviates phosphorus deficiency induced by nitrogen deposition in temperateLarix principis-rupprechtiiplantations. New Phytol. 2016, 212, 1019–1029. [Google Scholar] [CrossRef]
- Gong, S.W.; Guo, R.; Zhang, T.; Guo, J.X. Warming and nitrogen addition increase litter decomposition in a temperate meadow ecosystem. PLoS ONE 2015, 10, 1–14. [Google Scholar] [CrossRef]
- Compton, J.E.; Watrud, L.S.; Porteous, L.A.; DeGrood, S. Response of soil microbial biomass and community composition to chronic nitrogen additions at Harvard forest. For. Ecol. Manag. 2004, 196, 143–158. [Google Scholar] [CrossRef]
- Paul, J.W.; Beauchamp, E.G. Soil microbial C.N mineralization and N uptake by corn in dairy cattle slurry and urea amended soils. Can. J. Soil Sci. 1996, 76, 469–472. [Google Scholar] [CrossRef]
- Wang, H.; Mo, J.M.; Lu, X.K.; Xue, J.H.; Li, J.; Fang, Y.T. Responses of soil microbial biomass carbon to nitrogen deposition on South Subtropical Forest. Acta Ecol. Sin. 2008, 2, 470–478. [Google Scholar]
- Yi, Z.G.; Yi, W.M.; Zhou, L.X.; Wang, X.M. Study on soil microbial biomass of main vegetation types in Dinghu Mountain. Ecol. Environ. Sci. 2005, 5, 727–729. [Google Scholar]
- Johnson, D.; Leake, J.R.; Lee, J.A. Changes in soil microbial biomass and microbial activities in response to 7 years simulated pollutant nitrogen deposition on a heathland and two grasslands. Environ. Pollut. 1998, 103, 239–250. [Google Scholar] [CrossRef]
- Yang, X.; Post, W.M. Phosphorus transformations as a function of pedogenesis: A synthesis of soil phosphorus data using Hedley fractionation method. Biogeosciences 2011, 8, 2907–2916. [Google Scholar] [CrossRef]
- Aponte, C.; Marañón, T.; García, L.V. Microbial C, N and P in soils of Mediterranean oak forests: Influence of season, canopy cover and soil depth. Biogeochemistry 2010, 101, 77–92. [Google Scholar] [CrossRef]
- Li, Y.; Wu, J.S.; Liu, S.L.; Shen, J.L.; Huang, D.Y.; Su, Y.R.; Wei, W.X.; Syers, J.K. Is the C: N: P stoichiometry in soil and soil microbial biomass related to the landscape and land use in southern subtropical China? Glob. Biogeochem. Cycles 2012, 26, GB4002. [Google Scholar] [CrossRef]
- Manzoni, S.; Trofymow, J.A.; Jackson, R.B.; Porporato, A. Stoichiometric controls on carbon, nitrogen and phosphorus dynamics in decomposing litter. Ecol. Monogr. 2010, 80, 89–106. [Google Scholar] [CrossRef]
- Kouno, K.; Wu, J.; Brookes, P.C. Turnover of biomass C and P in soil following incorporation of glucose or ryegrass. Soil Biol. Biochem. 2002, 34, 617–622. [Google Scholar] [CrossRef]
- Cleveland, C.C.; Liptzin, D. C: N: P stoichiometry in soil: Is there a “Redfield ratio” for the micro bial biomass? Biogeochemistry 2007, 85, 235–252. [Google Scholar] [CrossRef]





| Soil Temperature | Soil Water Content | |||||||
|---|---|---|---|---|---|---|---|---|
| C | W | N | WN | C | W | N | WN | |
| SOC | 0.429 * | 0.371 | 0.486 * | 0.483 * | 0.681 * | 0.141 | 0.733 ** | 0.174 |
| Soil total N | 0.467 * | 0.475 * | 0.332 | 0.483 * | 0.685 * | 0.429 * | 0.369 | 0.422 * |
| Soil total P | 0.569 * | 0.733 ** | 0.543 * | 0.781 ** | 0.867 ** | 0.371 | 0.876 ** | 0.365 |
| Soil C:N | 0.583 * | 0.316 | 0.251 | 0.429 * | 0.321 | 0.416 * | 0.522 * | 0.681 * |
| Soil C:P | 0.691 * | 0.439 * | 0.468 * | 0.367 | 0.677 * | 0.333 | 0.989 ** | 0.201 |
| Soil N:P | 0.451 * | 0.544 * | 0.395 | 0.338 | 0.785 * | 0.314 | 0.986 ** | 0.203 |
| MBC | 0.567 * | 0.815 ** | 0.727 * | 0.698 * | 0.593 * | 0.642 * | 0.802 * | 0.783 * |
| MBN | 0.929 ** | 0.961 ** | 0.831 ** | 0.929 ** | 0.713 * | 0.751 * | 0.839 ** | 0.852 ** |
| MBP | 0.891 * | 0.483 * | 0.799 * | 0.488 * | 0.922 ** | 0.771 * | 0.738 * | 0.709 * |
| MBC:MBN | 0.221 | 0.141 | 0.295 | 0.218 | 0.182 | 0.166 | 0.172 | 0.281 |
| MBC:MBP | 0.164 | 0.451 * | 0.549 * | 0.403 * | 0.193 | 0.154 | 0.663 * | 0.128 |
| MBN:MBP | 0.307 | 0.518 * | 0.643 * | 0.581 * | 0.143 | 0.167 | 0.671 * | 0.225 |
© 2019 by the authors. Licensee MDPI, Basel, Switzerland. This article is an open access article distributed under the terms and conditions of the Creative Commons Attribution (CC BY) license (http://creativecommons.org/licenses/by/4.0/).
Share and Cite
Gong, S.; Zhang, T.; Guo, J. Warming and Nitrogen Addition Change the Soil and Soil Microbial Biomass C:N:P Stoichiometry of a Meadow Steppe. Int. J. Environ. Res. Public Health 2019, 16, 2705. https://doi.org/10.3390/ijerph16152705
Gong S, Zhang T, Guo J. Warming and Nitrogen Addition Change the Soil and Soil Microbial Biomass C:N:P Stoichiometry of a Meadow Steppe. International Journal of Environmental Research and Public Health. 2019; 16(15):2705. https://doi.org/10.3390/ijerph16152705
Chicago/Turabian StyleGong, Shiwei, Tao Zhang, and Jixun Guo. 2019. "Warming and Nitrogen Addition Change the Soil and Soil Microbial Biomass C:N:P Stoichiometry of a Meadow Steppe" International Journal of Environmental Research and Public Health 16, no. 15: 2705. https://doi.org/10.3390/ijerph16152705
APA StyleGong, S., Zhang, T., & Guo, J. (2019). Warming and Nitrogen Addition Change the Soil and Soil Microbial Biomass C:N:P Stoichiometry of a Meadow Steppe. International Journal of Environmental Research and Public Health, 16(15), 2705. https://doi.org/10.3390/ijerph16152705
