Dust at Various Workplaces—Microbiological and Toxicological Threats
Abstract
1. Introduction
2. Materials and Methods
2.1. Working Environments
2.2. Airborne Dust Concentration Measurement
2.3. Settled Dust Sampling
2.4. Chemical Composition of Settled Dust
2.5. Microbial Contamination
2.5.1. Culture Methods
2.5.2. Metagenomics Survey of Microbial Populations
2.6. Cell Culture and Cytotoxicity Testing
2.7. Statistical Analysis
3. Results and Discussion
3.1. Airborne Dust Concentration at Workplaces
3.2. Chemical Composition of Settled Dust
3.3. Microbial Contamination of Settled Dust
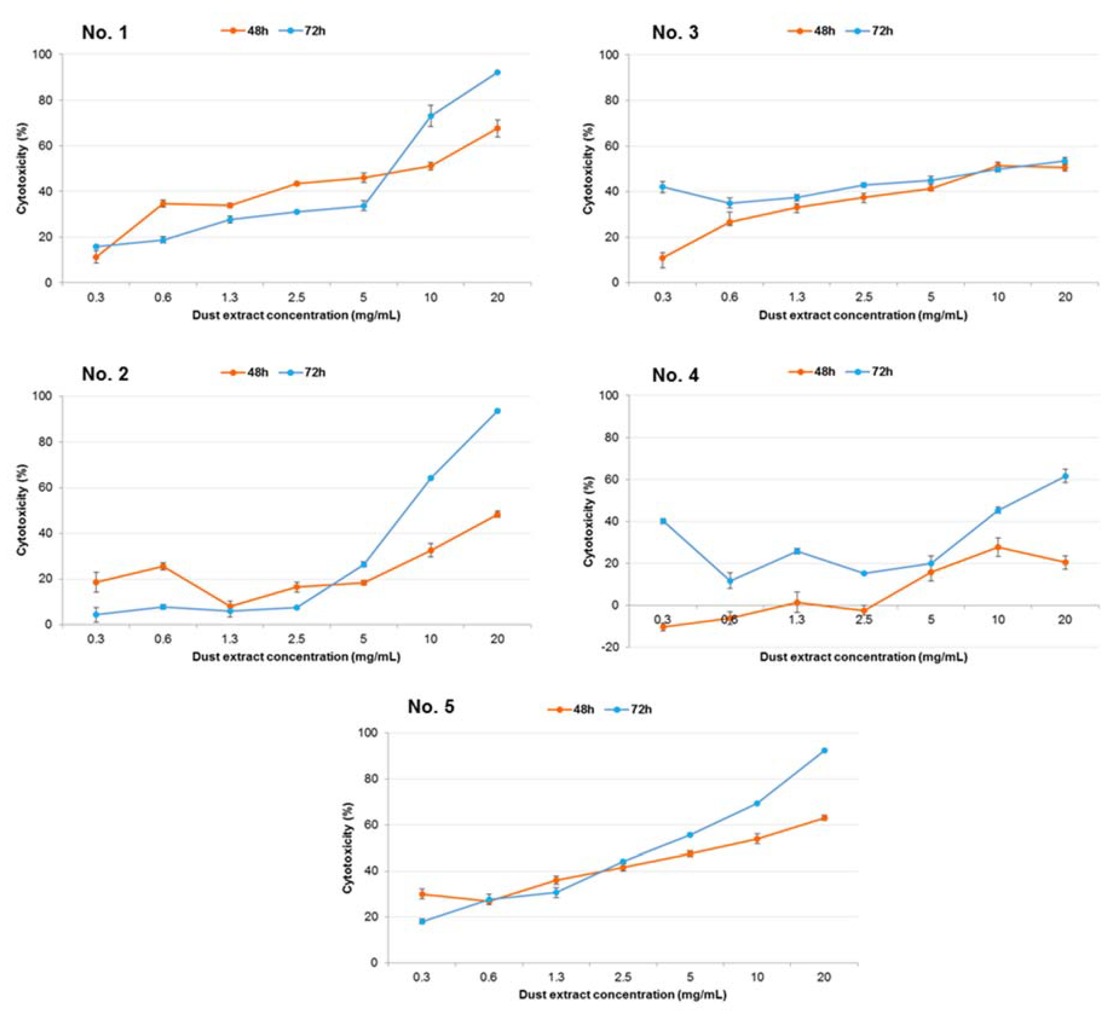
3.4. Cytotoxicity of Settled Dust
4. Conclusions
Supplementary Materials
Author Contributions
Acknowledgments
Conflicts of Interest
References
- WHO. Prevention and Control Exchange Pace Hazard Prevention and Control in the Workenvironment: Airborne Dust; Occupational and Environmental Health Department of Protection of the Human Environment World Health Organization: Geneva, Switzerland, 1999. [Google Scholar]
- Akhtar, U.S.; Rastogi, N.; McWhinney, R.D.; Urch, B.; Chow, C.-W.; Evans, G.J.; Scott, J.A. The combined effects of physicochemical properties of size-fractionated ambient particulate matter on in vitro toxicity in human A549 lung epithelial cells. Toxicol. Rep. 2014, 1, 145–156. [Google Scholar] [CrossRef] [PubMed]
- Gustafsson, A.; Krais, A.M.; Gorzsás, A.; Lundh, T.; Gerde, P. Isolation and characterization of a respirable particle fraction from residential house-dust. Environ. Res. 2018, 161, 284–290. [Google Scholar] [CrossRef] [PubMed]
- Viegas, S.; Caetano, L.A.; Korkalainen, M.; Faria, T.; Pacífico, C.; Carolino, E.; Gomes, A.Q.; Viegas, C. Cytotoxic and inflammatory potential of air samples from occupational settings with exposure to organic dust. Toxics 2017, 5, 8. [Google Scholar] [CrossRef] [PubMed]
- Lugauskas, A.; Krikstaponis, A.; Sveistyte, L. Airborne fungi in industrial environments: Potential agents of respiratory diseases. Ann. Agric. Environ. Med. 2004, 11, 19–25. [Google Scholar] [PubMed]
- Directive 2000/54/EC of the European Parliament and of the Council of 18 September 2000 on the Protection of Workers from Risks Related to Exposure to Biological Agents at Work. Available online: http://www.biosafety.be/PDF/2000_54.pdf (accessed on 4 January 2018).
- Krysinska-Traczyk, E.; Skorska, C.; Prazmo, Z.; Sitkowska, J.; Cholewa, G.; Dutkiewicz, J. Exposure to airborne microorganisms, dust and endotoxin during flax scutching on farms. Ann. Agric. Environ. Med. 2004, 11, 309–317. [Google Scholar] [PubMed]
- Szulc, J.; Otlewska, A.; Okrasa, M.; Majchrzycka, K.; Suylok, M.; Gutarowska, B. Microbiological contamination at workplaces in a combined heat and power (CHP) station processing plant biomass. Int. J. Environ. Res. Public Health 2017, 14, 99. [Google Scholar] [CrossRef] [PubMed]
- Viegas, S.; Almeida-Silva, M.; Sabino, R.; Viegas, C. Occupational exposure to particulate matter and fungi in a composting plant—Case study in Portugal. Occup. Saf. Hyg. 2014, 27, 235–239. [Google Scholar]
- Liu, S.; Noth, E.M.; Dixon-Ernst, C.; Eisen, E.A.; Cullen, M.R.; Hammond, S.K. Particle size distribution in aluminum manufacturing facilities. Environ. Pollut. 2014, 3, 79–88. [Google Scholar] [CrossRef] [PubMed][Green Version]
- Lugauskas, A.; Grigucevičienė, A.; Nivinskienė, O.; Selskienė, A. Dangerous microbical pollution in workplace settings. Ekologija 2009, 55, 58–66. [Google Scholar] [CrossRef]
- Dumax-Vorzet, A.F.; Tate, M.; Walmsley, R.; Elder, R.H.; Povey, A.C. Cytotoxicity and genotoxicity of urban particulate matter in mammalian cells. Mutagenesis 2015, 30, 621–633. [Google Scholar] [CrossRef] [PubMed]
- Perrone, M.G.; Gualtieri, M.; Ferrero, L.; Lo Porto, C.; Udisti, R.; Bolzacchini, E.; Camatini, M. Seasonal variations in chemical composition and in vitro biological effects of fine PM from Milan. Chemosphere 2010, 78, 1368–1377. [Google Scholar] [CrossRef] [PubMed]
- Schmidt, P.; Bálint, M.; Greshake, B.; Bandow, C.; Römbke, J.; Schmitt, I. Illumina metabarcoding of a soil fungal community. Soil Biol. Biochem. 2013, 65, 128–132. [Google Scholar] [CrossRef]
- White, T.; Bruns, T.; Lee, S.; Taylor, J. Amplification and direct sequencing of fungal ribosomal RNA genes for phylogenetics. In PCR Protocols: A Guide to Methods and Applications; Innis, M., Gelfand, D., Shinsky, J., White, T., Eds.; Academic Press: San Diego, CA, USA, 1990; pp. 315–322. [Google Scholar]
- Caporaso, J.G.; Kuczynski, J.; Stombaugh, J.; Bittinger, K.; Bushman, F.D.; Costello, E.K.; Fierer, N.; Gonzalez Peña, A.; Goodrich, J.K.; Gordon, J.I.; et al. QIIME allows analysis of high-throughput community sequencing data. Nat. Methods 2010, 7, 335–336. [Google Scholar] [CrossRef] [PubMed]
- Edgar, R.C. Search and clustering orders of magnitude faster than BLAST. Bioinformatics 2010, 26, 2460–2461. [Google Scholar] [CrossRef] [PubMed]
- Kõljalg, U.; Nilsson, R.H.; Abarenkov, K.; Tedersoo, L.; Taylor, A.F.S.; Bahram, M.; Bates, S.T.; Bruns, T.D.; Bengtsson-Palme, J.; Callaghan, T.M.; et al. Towards a unified paradigm for sequence-based identification of Fungi. Mol. Ecol. 2013, 22, 5271–5277. [Google Scholar] [CrossRef] [PubMed]
- Nowak, A.; Matusiak, K.; Borowski, S.; Bakuła, T.; Opaliński, S.; Kołacz, R.; Gutarowska, B. Cytotoxicity of odorous compounds from poultry manure. Int. J. Environ. Res. Public Health 2016, 13, 1046. [Google Scholar] [CrossRef] [PubMed]
- OECD Guidelines for the Testing of Chemicals, Section 4. Test No. 442D: In Vitro Skin Sensitisation Are-Nrf2 Luciferase Test Method. Available online: https://ntp.niehs.nih.gov/iccvam/suppdocs/feddocs/oecd/oecd-tg442d-508.pdf (accessed on 4 January 2018).
- GESTIS: International Occupational Exposure Limit Values for Chemical Agents. Available online: http://limitvalue.ifa.dguv.de/ (accessed on 6 February 2018).
- Zeleke, Z.K.; Moen, B.E.; Bråtveit, M. Cement dust exposure and acute lung function: A cross shift study. BMC Pulm. Med. 2010, 10, 19. [Google Scholar] [CrossRef] [PubMed]
- Ahmed, H.O.; Abdullah, A.A. Dust exposure and respiratory Symptoms among cement factory workers in the United Arab Emirates. Ind. Health 2012, 50, 214–222. [Google Scholar] [CrossRef] [PubMed]
- Viegas, S.; Almeida-Silva, M.; Viegas, C. Occupational exposure to particulate matter in 2 Portugese waste-sorting units. Int. J. Occup. Med. Environ. Health 2014, 27, 854–862. [Google Scholar] [CrossRef] [PubMed]
- Pearson, C.; Littlewood, E.; Douglas, P.; Robertson, S.; Gant, T.W.; Hansell, A.L. Exposures and health outcomes in relation to bioaerosol emission from composting facilities: A systematic review of occupational and community studies. J. Toxicol. Environ. Health Part B Crit. Rev. 2015, 18, 43–69. [Google Scholar] [CrossRef] [PubMed]
- Ellen, H.H.; Bottcher, R.W.; von Wachenfelt, E.; Takay, H. Dust levels and control methods in poultry houses. J. Agric. Saf. Health 2000, 6, 275–282. [Google Scholar] [CrossRef] [PubMed]
- Viegas, S.; Faísca, V.M.; Dias, H.; Clérigo, A.; Carolino, E.; Viegas, C. Occupational exposure to poultry dust and effects on the respiratory system in workers. J. Toxicol. Environ. Health A 2013, 76, 230–239. [Google Scholar] [CrossRef] [PubMed]
- Skóra, J.; Matusiak, K.; Wojewódzki, P.; Nowak, A.; Sulyok, M.; Ligocka, A.; Gutarowska, B. Evaluation of Microbiological and Chemical Contaminants in Poultry Farms. Int. J. Environ. Res. Public Health 2016, 13, 192. [Google Scholar] [CrossRef] [PubMed]
- Chen, W.; Tong, D.Q.; Zhang, S.; Zhang, X.; Zhao, H. Local PM10 and PM2.5 emissions inventories from agricultural tillage and harvest in northeastern China. J. Environ. Sci. 2017, 57, 15–23. [Google Scholar] [CrossRef] [PubMed]
- Herron, S.L.; Brye, K.R.; Sharpley, A.N.; Miller, D.M.; Daniels, M.B. Nutrient composition of dust emitted from poultry broiler houses in Northwest Arkansas. J. Environ. Prot. 2015, 6, 1257–1267. [Google Scholar] [CrossRef]
- Ramanathan, G.; Kumar, T.V.; Rama, R.; Vijayalalitha, R. Isolation of cement degrading bacteria and screening of their efficacy for biocementation. J. Pharm. Chem. Biol. Sci. 2016, 3, 518–527. [Google Scholar]
- Murray, T.S.; Cassese, T. 2—Bacteriology of the Head and Neck Regions. Head, Neck, and Orofacial Infections. A Multidiscip. Approach 2016, 27–37. [Google Scholar] [CrossRef]
- Renom, F.; Gomila, M.; Garau, M.; Gallegos, M.C.; Guerrero, D.; Lalucat, J.; Soriano, J.B. Respiratory infection by Corynebacterium striatum: Epidemiological and clinical determinants. New Microbes New Infect. 2014, 2, 106–114. [Google Scholar] [CrossRef] [PubMed]
- Wei1, S.; Jiang, Z.; Liu, H.; Zhou, D.; Sanchez-Silva, M. Microbiologically induced deterioration of concrete—A Review. Braz. J. Microbiol. 2013, 44, 1001–1007. [Google Scholar] [CrossRef] [PubMed]
- Partanen, P.; Hultman, J.; Paulin, L.; Auvinen, P.; Romantschuk, M. Bacterial diversity at different stages of the composting process. BMC Microbiol. 2010, 10, 94. [Google Scholar] [CrossRef] [PubMed]
- Pitt, J.I.; Hocking, A.D. Fungi and Food Spoilage; Springer: North Ryde, Australia, 2009. [Google Scholar] [CrossRef]
- Bru-Adan, V.; Wéry, N.; Moletta-Denat, M.; Boiron, P.; Delgènes, J.P.; Godon, J.J. Diversity of bacteria and fungi in aerosols during screening in a green waste composting plant. Curr. Microbiol. 2009, 59, 326–335. [Google Scholar] [CrossRef] [PubMed]
- Hultman, J.; Vasara, T.; Partanen, P.; Kurola, J.; Kontro, M.H.; Paulin, L.; Auvinen, P.; Romantschuk, M. Determination of fungal succession during municipal solid waste composting using a cloning-based analysis. J. Appl. Microbiol. 2010, 108, 472–487. [Google Scholar] [CrossRef] [PubMed]
- Fisher, G.; Müller, T.; Ostrowski, R.; Dott, W. Mycotoxins of Aspergillus fumigatus in pure culture and in native bioaerosols from compost facilities. Chemosphere 1999, 38, 1745–1755. [Google Scholar] [CrossRef]
- Lu, J.; Idris, U.; Harmon, B.; Hofacre, C.; Maurer, J.J.; Lee, M.D. Diversity and succession of the intestinal bacterial community of the maturing broiler chicken. Appl. Environ. Microbiol. 2003, 69, 6816–6824. [Google Scholar] [CrossRef] [PubMed]
- Mory, F.; Carlier, J.P.; Alauzet, C.; Thouvenin, M.; Schuhmacher, H.; Lozniewski, A. Bacteremia caused by a metronidazole-resistant Prevotella sp. Strain. J. Clin. Microbiol. 2005, 43, 5380–5383. [Google Scholar] [CrossRef] [PubMed]
- Public Health England. Identification of Clostridium Species. UK Standards for Microbiology Investigations. ID 8 Issue 4. 2015. Available online: https://www.gov.uk/uk-standards-formicrobiology-investigations-smi-quality-and-consistency-in-clinical-laboratories (accessed on 20 January 2018).
- Colombo, A.L.; Padovan, A.C.B.; Chaves, G.M. Current knowledge of Trichosporon spp. and Trichosporonosis. Clin. Microbiol. Rev. 2011, 24, 682–700. [Google Scholar] [CrossRef] [PubMed]
- Tamura, A.; Ohashi, N.; Urakami, H.; Miyamura, S. Classification of Rickettsia tsutsugamushi in a new genus, Orientia gen. nov., as Orientia tsutsugamushi comb. nov. Int. J. Syst. Bacteriol. 1995, 45, 589–591. [Google Scholar] [CrossRef] [PubMed]
- O’Hara, C.M.; Steigerwalt, A.G.; Hill, B.C.; Miller, J.M.; Brenner, D.J. First report of a human isolate of Erwinia persicinus. J. Clin. Microbiol. 1998, 36, 248–250. [Google Scholar] [PubMed]
- Teneva, I.; Dzhambazov, B.; Koleva, L.; Mladenov, R.; Schirmer, K. Toxic potential of five reshwater Phormidium species (Cyanoprokaryota). Toxicon 2005, 45, 711–725. [Google Scholar] [CrossRef] [PubMed]
- Dean, R.; Van Kan, J.A.; Pretorius, Z.A.; Hammond-Kosack, K.E.; Di Pietro, A.; Spanu, P.D.; Rudd, J.J.; Dickman, M.; Kahmann, R.; Ellis, J.; et al. The Top 10 fungal pathogens in molecular plant pathology. Mol. Plant Pathol. 2012, 13, 414–430. [Google Scholar] [CrossRef] [PubMed]
- International Union of Immunological Societies Allergen Nomenclature Subcommittee. Database of World Health Organization and International Union of Immunological Societies. 2013. Available online: http://www.allergen.org (accessed on 13 March 2018).
- Yang, J.Y.; Kim, J.Y.; Jang, J.Y.; Lee, G.W.; Shin, D.C.; Lim, Y.W. Exposure and toxicity assessment of ultrafine particles from nearby traffic in urban air in Seoul, Korea. Environ. Health Toxicol. 2013, 28, 1–9. [Google Scholar] [CrossRef] [PubMed]
- Happo, M.S.; Sippula, O.; Jalava, P.I.; Rintala, H.; Leskinen, A.; Komppula, M.; Kuuspalo, K.; Mikkonen, S.; Lehtinen, K.; Jokiniemi, J.; et al. Role of microbial and chemical composition in toxicological properties of indoor and outdoor air particulate matter. Part. Fibre Toxicol. 2014, 11, 60. [Google Scholar] [CrossRef] [PubMed]



| Sample No. (Workplace) | Dust Sample | Workplace (Location/Coordinates) | Workplace Description (No. of Workers/Establishment Year/Machinery) | Measurement Date (Season) |
|---|---|---|---|---|
| 1 (Cement plant) | Dust collected in the alternative fuel hall | Cement plant (Chełm, Lublin providence/51°21′01.2″ N 23°32′33.4″ E) | 1–4/1960/waste homogenizer/tractor with bucket | 11 July 2017 (early summer) |
| 2 (Cement plant) | Dust collected in the clinker transporting conveyor hall | 1–3/1960/clinker transporting conveyor | ||
| 3 (Composting plant) | Dust from a composting plant collected in the homogenisation hall of waste | Composting plant (Łódź, Łódź Province/51°43′39.5″ N 19°20′55.5″ E) | 1–5/2014/waste homogenizer/ tractor with bucket | 9 September 2017 (late spring) |
| 4 (Poultry farm) | Dust collected in a livestock room—laying hens | Poultry farm (Zgierz, Łódź Province/51°51′15.4″ N 19°20′33.9″ E) | 1–5/1980/manure transporting conveyor | 7 April 2017 (early spring) |
| 5 (Cultivated area) | Dust from grain collected from the blower elements transporting freshly harvested wheat from the field to the silo | Cultivated area (Budy, Łódź Province/51°51′15.4″ N 19°20′33.9″ E) | 1–3/1995/tractor, agricultural trailer, combine-harvester, blower, silo | 5 August 2017 (high summer) |
| Sample No. (Workplace) | Temperature (°C) | Relative Humidity (%) | Air Flow Velocity (m/s) |
|---|---|---|---|
| 1 (Cement plant) | M: 29.2 | M: 53.0 | M: 1.76 |
| SD: 0.1 | SD: 0.2 | SD: 0.26 | |
| Min: 29.1 | Min: 52.7 | Min: 1.48 | |
| Max: 29.4 | Max: 53.3 | Max: 2.05 | |
| 2 (Cement plant) | M: 32.5 | M: 43.8 | M: 0.97 |
| SD: 0.2 | SD: 0.7 | SD: 0.07 | |
| Min: 32.3 | Min: 43.1 | Min: 0.87 | |
| Max: 32.8 | Max: 44.8 | Max: 1.05 | |
| 3 (Composting plant) | M: 9.9 | M: 51.1 | M: 0.11 |
| SD: 0.6 | SD: 3.5 | SD: 0.08 | |
| Min: 9.0 | Min: 47.1 | Min: 0.01 | |
| Max: 10.7 | Max: 56.6 | Max: 0.21 | |
| 4 (Poultry farm) | M: 18.1 | M: 39.6 | M: 0.50 |
| SD: 0.5 | SD: 0.7 | SD: 0.24 | |
| Min: 17.5 | Min: 38.9 | Min: 0.09 | |
| Max: 18.6 | Max: 40.3 | Max: 0.72 | |
| 5 (Cultivated area) | M: 31.4 | M: 29.6 | M: 1.58 |
| SD: 1.0 | SD: 2.2 | SD: 0.09 | |
| Min: 30.3 | Min: 26.9 | Min: 1.45 | |
| Max: 32.9 | Max: 31.9 | Max: 1.70 |
| Sample No. (Workplace) | Airborne Dust Concentrations Corresponding to Particle Size Fractions (mg/m3) | ||||
|---|---|---|---|---|---|
| PM1 | PM2.5 | PM4 | PM10 | PMtotal | |
| 1 (Cement plant) | M: 0.246 | M: 0.248 | M: 0.251 | M: 0.269 | M: 0.282 |
| Med: 0.234 A | Med: 0.236 A | Med: 0.239 A | Med: 0.256 A | Med: 0.264 A | |
| SD: 0.050 | SD: 0.050 | SD: 0.051 | SD: 0.057 | SD: 0.070 | |
| Min: 0.220 | Min: 0.221 | Min: 0.222 | Min: 0.229 | Min: 0.231 | |
| Max: 0.807 | Max: 0.808 | Max: 0.811 | Max: 0.841 | Max: 0.842 | |
| 2 (Cement plant) | M: 0.639 | M: 0.657 | M: 0.755 | M: 1.771 | M: 2.076 |
| Med: 0.321 A | Med: 0.328 A | Med: 0.360 A | Med: 0.626 A | Med: 0.697 A | |
| SD: 0.618 | SD: 0.637 | SD: 0.748 | SD: 2.086 | SD: 2.531 | |
| Min: 0.232 | Min: 0.234 | Min: 0.238 | Min: 0.287 | Min: 0.309 | |
| Max: 5.110 | Max: 5.140 | Max: 5.260 | Max: 10.400 | Max: 12.900 | |
| 3 (Composting plant) | M: 0.269 | M: 0.278 | M: 0.290 | M: 0.323 | M: 0.334 |
| Med: 0.263 A | Med: 0.271 A | Med: 0.282 A | Med: 0.310 A | Med: 0.318 A | |
| SD: 0.032 | SD: 0.037 | SD: 0.044 | SD: 0.062 | SD: 0.070 | |
| Min: 0.229 | Min: 0.233 | Min: 0.236 | Min: 0.243 | Min: 0.243 | |
| Max: 0.511 | Max: 0.568 | Max: 0.632 | Max: 0.740 | Max: 0.805 | |
| 4 (Poultry farm) | M: 0.953 | M: 0.981 | M: 1.094 | M: 1.888 | M: 3.478 |
| Med: 0.897 A | Med: 0.925 A | Med: 1.040 A | Med: 1.820 A | Med: 3.305 A | |
| SD: 0.257 | SD: 0.257 | SD: 0.261 | SD: 0.356 | SD: 0.873 | |
| Min: 0.573 | Min: 0.600 | Min: 0.705 | Min: 1.210 | Min: 1.990 | |
| Max: 2.610 | Max: 2.630 | Max: 2.730 | Max: 3.690 | Max: 8.200 | |
| 5 (Cultivated area) | M: 27.572 | M: 27.718 | M: 28.401 | M: 38.035 | M: 46.019 |
| Med: 6.085 A | Med: 6.440 A | Med: 6.990 A | Med: 14.100 A | Med: 18.000 A | |
| SD: 37.107 | SD: 37.299 | SD: 38.206 | SD: 51.896 | SD: 62.426 | |
| Min: 1.170 | Min: 1.210 | Min: 1.250 | Min: 1.640 | Min: 1.640 | |
| Max: 114.000 | Max: 115.000 | Max: 116.000 | Max: 145.000 | Max: 150.000 | |
| Sample No. (Workplace) | Composition (%) | pH | |||||
|---|---|---|---|---|---|---|---|
| C | N | H | P | S | C:N | ||
| 1 (Cement plant) | 3.4 | 0.89 | 2.1 | 0.04 | 0.01 | 3.82 | 6.82 |
| 2 (Cement plant) | 1.5 | 0.14 | 1.4 | 0.01 | 0.01 | 10.71 | 11.2 |
| 3 (Composting plant) | 58.2 | 0.59 | 5.4 | 0.18 | 0.02 | 98.64 | 6.0 |
| 4 (Poultry farm) | 71.2 | 4.9 | 5.9 | 2.54 | 0.93 | 14.53 | 5.95 |
| 5 (Cultivated area) | 54.1 | 1.86 | 5.1 | 0.11 | 0.02 | 29.09 | 6.30 |
| Sample No. (Workplace) | Microorganism Number [CFU/g] | |||||||
|---|---|---|---|---|---|---|---|---|
| Bacteria | Actinomycetes | Mannitol-Positive and Mannitol-Negative Staphylococci spp. | Enterobacteriaceae | Pseudomonas fluorescens | Haemolytic Staphylococcus | Fungi | Xerophilic Fungi | |
| 1 (Cement plant) | M: 2.88 × 107 A | M: <1.00 × 102 A | M: 2.01 × 106 A | M: 3.81 × 104 B | M: 2.75 × 103 A | M: 2.88 × 106 A,B | M: 4.48 × 106 A | M: 2.30 × 105 A |
| SD: 1.13 × 107 | SD: 0 | SD: 9.43 × 104 | SD: 2.37 × 104 | SD: 3.84 × 103 | SD: 2.09 × 106 | SD: 1.20 × 106 | SD: 2.07 × 105 | |
| 2 (Cement plant) | M: 3.75 × 102 A | M: <1.00 × 102 A | M: 1.00 × 102 A | M: <1.00 × 102 A | M: <1.00 × 102 A | M: 1.00 × 103 A | M: 1.50 × 102 A | M: 1.50 × 102 A |
| SD: 1.89 × 102 | SD: 0 | SD: 0 | SD: 0 | SD: 0 | SD: 0 | SD: 5.77 × 101 | SD: 1.00 × 102 | |
| 3 (Composting plant) | M: 2.80 × 107 A | M: <1.00 × 102 A | M: 1.07 × 107 B | M: 1.07 × 104 A,C | M: 2.50 × 104 A,B | M: 4.85 × 106 B | M: 6.48 × 106 A | M: 3.45 × 106 B |
| SD: 8.02 × 106 | SD: 0 | SD: 4.39 × 106 | SD: 4.94 × 103 | SD: 3.33 × 104 | SD: 3.13 × 106 | SD: 1.73 × 106 | SD: 2.36 × 106 | |
| 4 (Poultry farm) | M: 3.33 × 107 A | M: <1.00 × 102 A | M: 3.49 × 104 A | M: <1.00 × 102 A | M: 1.00 × 105 A | M: 8.50 × 105 A | M: 7.48 × 104 A | M: 3.35 × 105 A |
| SD: 7.09 × 106 | SD: 0 | SD: 2.78 × 104 | SD: 0 | SD: 1.63 × 104 | SD: 2.08 × 105 | SD: 6.40 × 103 | SD: 2.54 × 104 | |
| 5 (Cultivated area) | M: 1.57 × 108 B | M: 2.05 × 103 B | M: 1.20 × 104 A | M: 2.30 × 104 B,C | M: 7.30 × 105 C | M: 2.98 × 103 A | M: 8.75 × 105 A | M: 4.35 × 105 A |
| SD: 9.07 × 107 | SD: 1.55 × 103 | SD: 2.16 × 103 | SD: 4.76 × 103 | SD: 1.16 × 105 | SD: 1.34 × 103 | SD: 1.50 × 105 | SD: 2.45 × 105 | |
| Sample No. (Workplace) | IC50 [mg/mL] | |
|---|---|---|
| 48 h | 72 h | |
| 1 (Cement plant) | 9.0 | 7.1 |
| 2 (Cement plant) | not detected | 8.1 |
| 3 (Composting plant) | 9.3 | 10.5 |
| 4 (Poultry farm) | not detected | 12.9 |
| 5 (Cultivated area) | 6.9 | 3.8 |
© 2018 by the authors. Licensee MDPI, Basel, Switzerland. This article is an open access article distributed under the terms and conditions of the Creative Commons Attribution (CC BY) license (http://creativecommons.org/licenses/by/4.0/).
Share and Cite
Gutarowska, B.; Szulc, J.; Nowak, A.; Otlewska, A.; Okrasa, M.; Jachowicz, A.; Majchrzycka, K. Dust at Various Workplaces—Microbiological and Toxicological Threats. Int. J. Environ. Res. Public Health 2018, 15, 877. https://doi.org/10.3390/ijerph15050877
Gutarowska B, Szulc J, Nowak A, Otlewska A, Okrasa M, Jachowicz A, Majchrzycka K. Dust at Various Workplaces—Microbiological and Toxicological Threats. International Journal of Environmental Research and Public Health. 2018; 15(5):877. https://doi.org/10.3390/ijerph15050877
Chicago/Turabian StyleGutarowska, Beata, Justyna Szulc, Adriana Nowak, Anna Otlewska, Małgorzata Okrasa, Anita Jachowicz, and Katarzyna Majchrzycka. 2018. "Dust at Various Workplaces—Microbiological and Toxicological Threats" International Journal of Environmental Research and Public Health 15, no. 5: 877. https://doi.org/10.3390/ijerph15050877
APA StyleGutarowska, B., Szulc, J., Nowak, A., Otlewska, A., Okrasa, M., Jachowicz, A., & Majchrzycka, K. (2018). Dust at Various Workplaces—Microbiological and Toxicological Threats. International Journal of Environmental Research and Public Health, 15(5), 877. https://doi.org/10.3390/ijerph15050877

